Feeding Neonates and Infants Prior to Surgery for Congenital Heart Defects: Systematic Review and Meta-Analysis
Abstract
1. Introduction
2. Materials and Methods
2.1. Search Strategy
2.2. Selection Criteria
2.3. Data Extraction
2.4. Statistical Analysis
3. Results
3.1. Selection and Characteristics of Included Studies
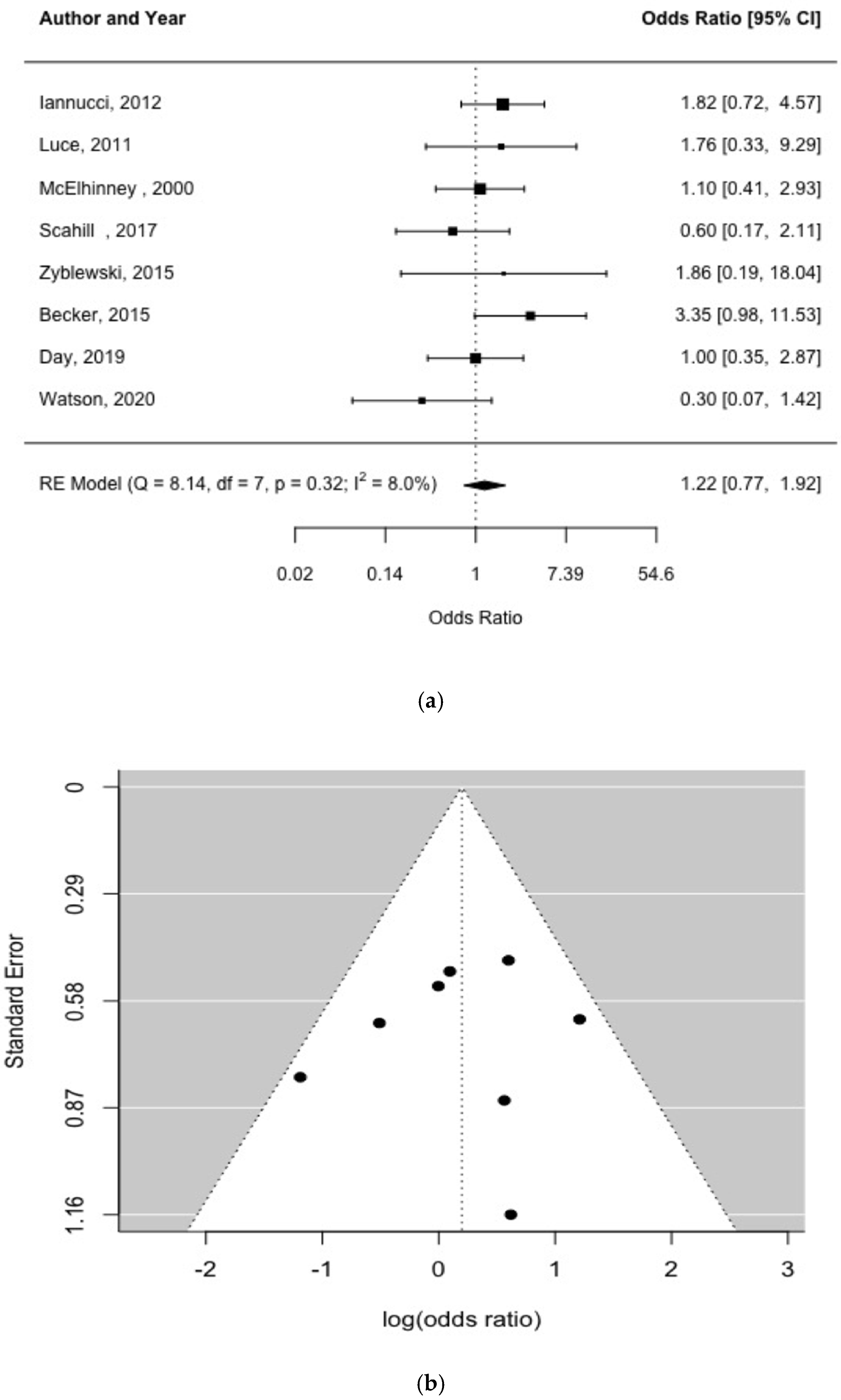
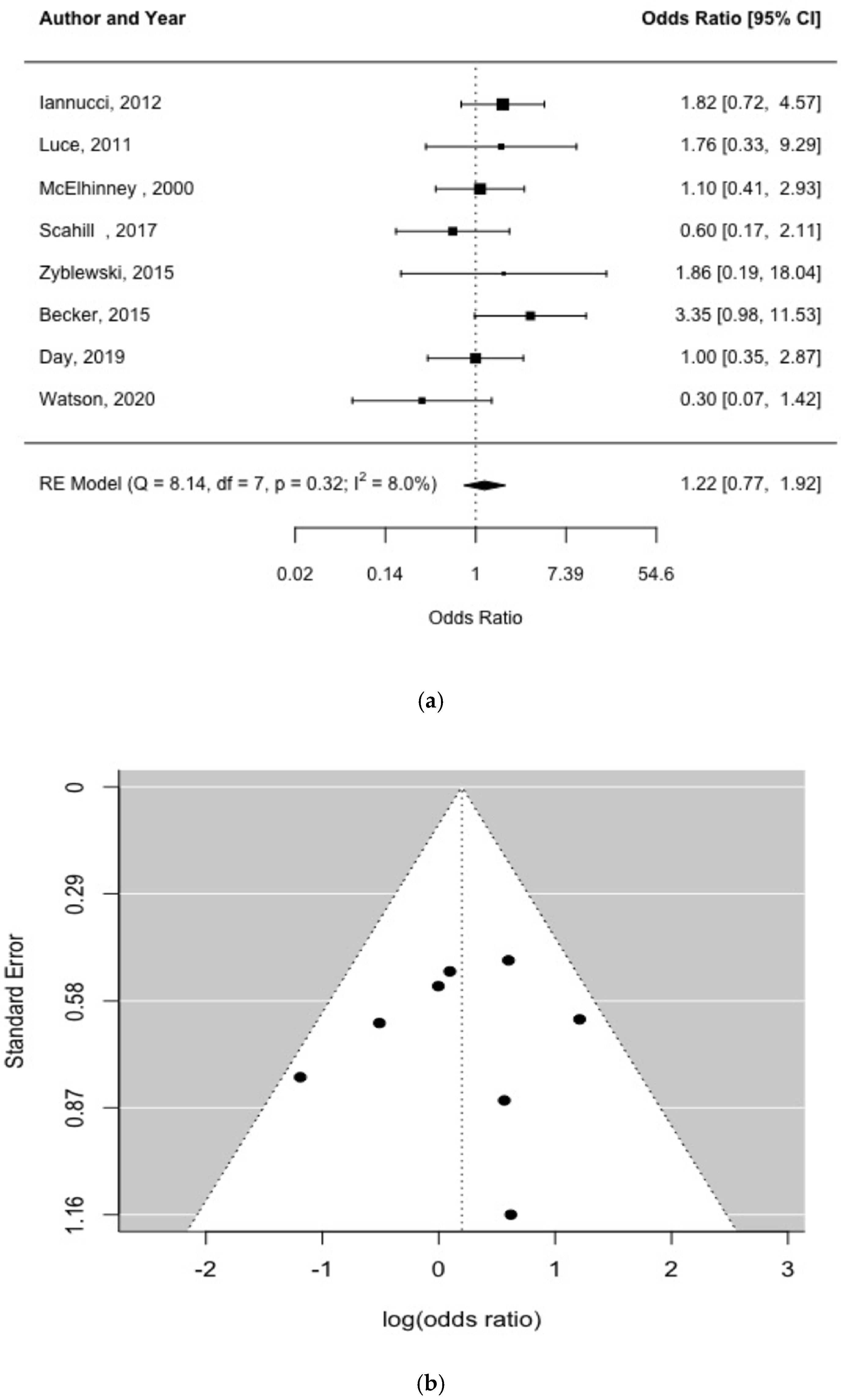
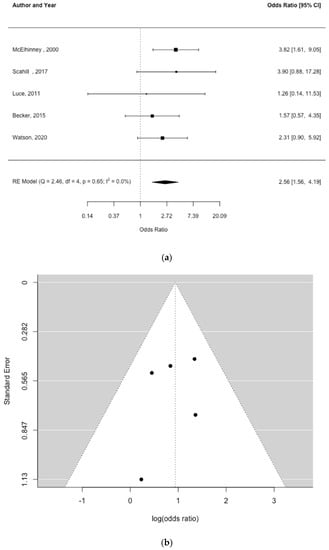
3.2. Pre-Operative Feeding and NEC
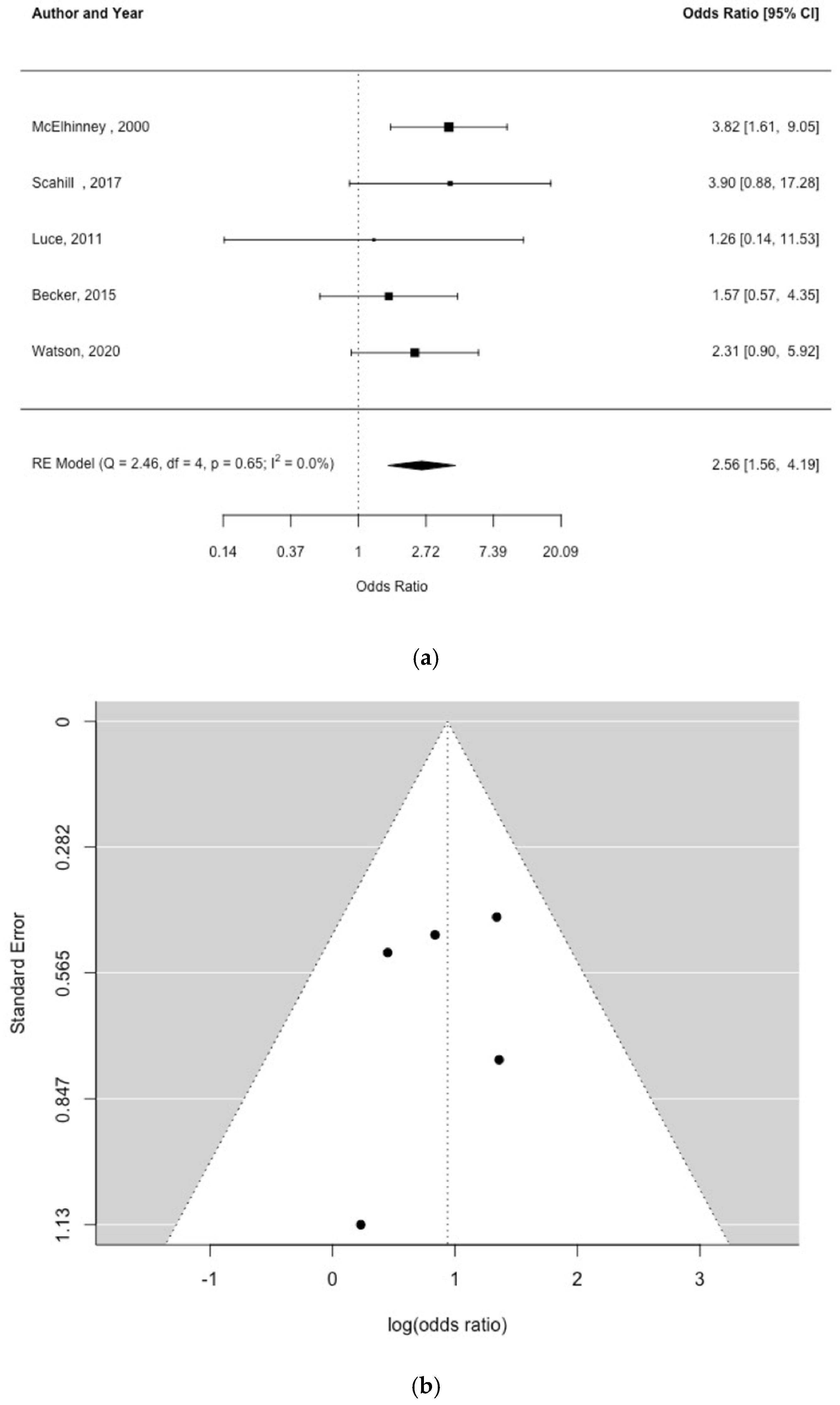
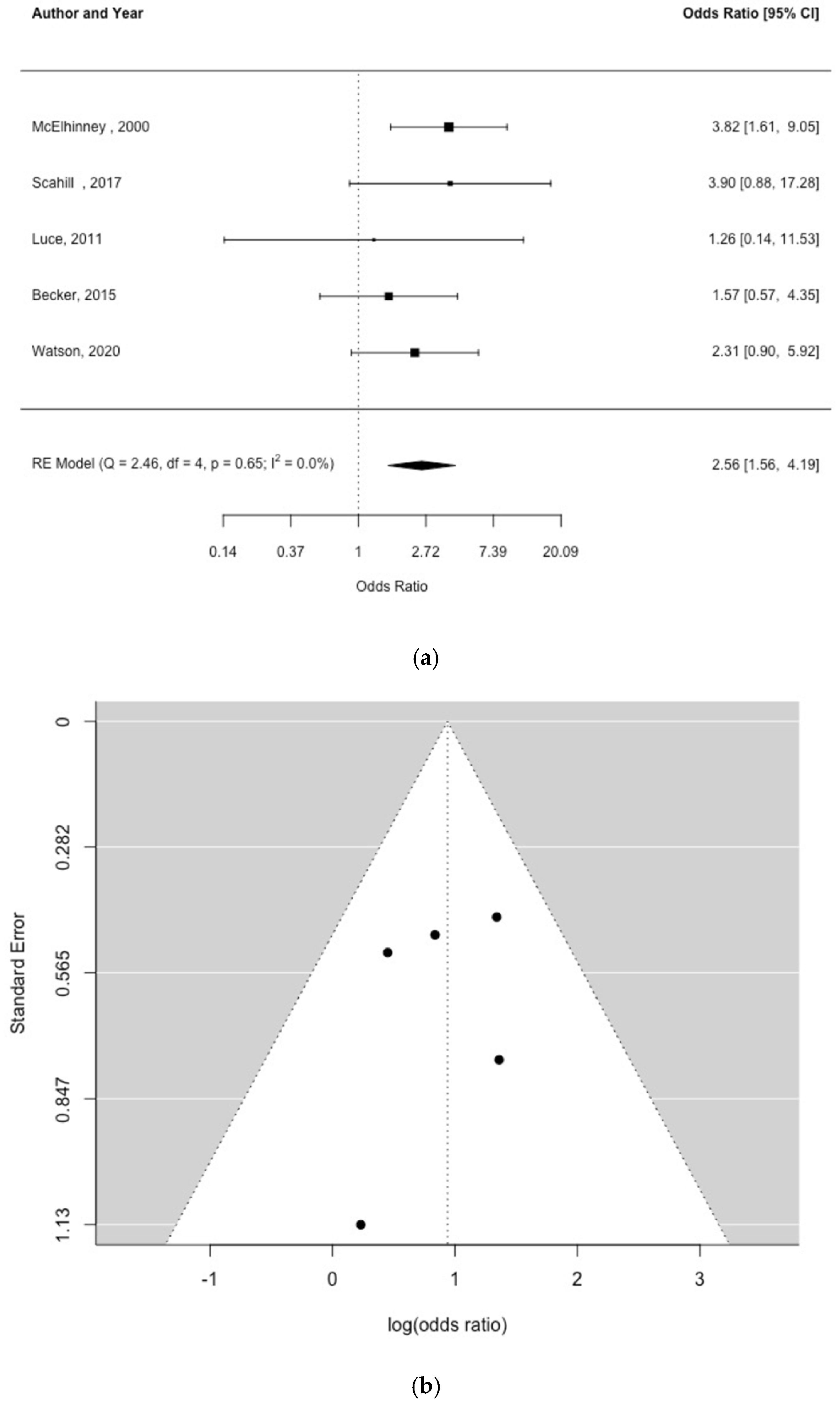
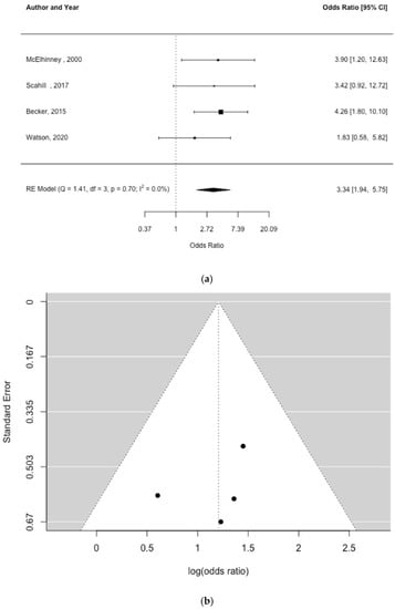
3.3. Association of Additional Risk Factors and NEC
3.4. Additional Outcomes Following Pre-Operative Feeding
4. Discussion
Limitations
5. Conclusions
Author Contributions
Funding
Institutional Review Board Statement
Informed Consent Statement
Data Availability Statement
Conflicts of Interest
References
- Giannone, P.J.; Luce, W.A.; Nankervis, C.A.; Hoffman, T.M.; Wold, L.E. Necrotizing enterocolitis in neonates with congenital heart disease. Life Sci. 2008, 82, 341–347. [Google Scholar] [CrossRef] [PubMed]
- del Castillo, S.L.; McCulley, M.E.; Khemani, R.G.; Jeffries, H.E.; Thomas, D.W.; Peregrine, J.; Wells, W.J.; Starnes, V.A.; Moromisato, D.Y. Reducing the incidence of necrotizing enterocolitis in neonates with hypoplastic left heart syndrome with the introduction of an enteral feed protocol. Pediatr. Crit. Care Med. 2009, 11, 373–377. [Google Scholar] [CrossRef] [PubMed]
- Shulhan, J.; Dicken, B.; Hartling, L.; Larsen, B.M. Current knowledge of necrotizing enterocolitis in preterm infants and the impact of different types of enteral nutrition products. Adv. Nutr. 2017, 8, 80–91. [Google Scholar] [CrossRef] [PubMed]
- Carlo, W.F.; Kimball, T.R.; Michelfelder, E.C.; Border, W.L. Persistent diastolic flow reversal in abdominal aortic Doppler-flow profiles is associated with an increased risk of necrotizing enterocolitis in term infants with congenital heart disease. Pediatrics 2007, 119, 330–335. [Google Scholar] [CrossRef] [PubMed]
- McElhinney, D.B.; Hedrick, H.L.; Bush, D.M.; Pereira, G.R.; Stafford, P.W.; Gaynor, J.W.; Spray, T.L.; Wernovsky, G. Necrotizing enterocolitis in neonates with congenital heart disease: Risk factors and outcomes. Pediatrics 2000, 106, 1080–1087. [Google Scholar] [CrossRef] [PubMed]
- Alten, J.A.; Rhodes, L.A.; Tabbutt, S.; Cooper, D.S.; Graham, E.M.; Ghanayem, N.; Marino, B.S.; Figueroa, M.I.; Chanani, N.K.; Jacobs, J.P.; et al. Perioperative feeding management of neonates with CHD: Analysis of the Pediatric Cardiac Critical Care Consortium (PC 4) registry. Cardiol. Young 2020, 25, 1593–1601. [Google Scholar] [CrossRef] [PubMed]
- Schwalbe-Terilli, C.R.; Hartman, D.H.; Nagle, M.L.; Gallagher, P.R.; Ittenbach, R.F.; Burnham, N.B.; Gaynor, J.W.; Ravishankar, C. Enteral feeding and caloric intake in neonates after cardiac surgery. Am. J. Crit. Care 2009, 18, 52–57. [Google Scholar] [CrossRef] [PubMed]
- Owens, J.L.; Musa, N. Nutrition Support After Neonatal Cardiac Surgery. Nutr. Clin. Pract. 2009, 24, 242–249. [Google Scholar] [CrossRef] [PubMed]
- Iliopoulos, I.; Burke, R.; Hannan, R.; Bolivar, J.; Cooper, D.S.; Zafar, F.; Rossi, A. Preoperative Intubation and Lack of Enteral Nutrition are Associated with Prolonged Stay After Arterial Switch Operation. Pediatr. Cardiol. 2016, 37, 1078–1084. [Google Scholar] [CrossRef]
- Neu, J. Gastrointestinal development and meeting the nutritional needs of premature infants. Am. J. Clin. Nutr. 2007, 85, 629S–634S. [Google Scholar] [CrossRef]
- McKean, E.B.; Kasparian, N.A.; Batra, S.; Sholler, G.F.; Winlaw, D.S.; Dalby-Payne, J. Feeding difficulties in neonates following cardiac surgery: Determinants of prolonged feeding-tube use. Cardiol. Young 2017, 27, 1203–1211. [Google Scholar] [CrossRef] [PubMed]
- Toms, R.; Jackson, K.W.; Dabal, R.J.; Reebals, C.H.; Alten, J.A. Preoperative Trophic Feeds in Neonates with Hypoplastic Left Heart Syndrome. Congenit. Heart Dis. 2015, 10, 36–42. [Google Scholar] [CrossRef] [PubMed]
- Moher, D.; Liberati, A.; Tetzlaff, J.; Altman, D.G.; Altman, D.; Antes, G.; Atkins, D.; Barbour, V.; Barrowman, N.; Berlin, J.A.; et al. Preferred reporting items for systematic reviews and meta-analyses: The PRISMA statement. PLoS Med. 2009, 6, e1000097. [Google Scholar] [CrossRef]
- Bell, M.J.; Ternberg, J.L.; Feigin, R.D.; Keating, J.P.; Marshall, R.; Barton, L.; Brotherton, T. Neonatal necrotizing enterocolitis. Therapeutic decisions based upon clinical staging. Ann. Surg. 1978, 187, 1–7. [Google Scholar] [CrossRef] [PubMed]
- Downs, S.H.; Black, N. The Feasibility of Creating a Checklist for the Assessment of the Methodological Quality Both of Randomised and Non-Randomised Studies of Health Care Interventions. J. Epidemiol. Community Health 1998, 52, 377–384. [Google Scholar] [CrossRef] [PubMed]
- Effect Size Calculator. Available online: https://www.campbellcollaboration.org/escalc/html/EffectSizeCalculator-Home.php (accessed on 25 February 2021).
- Lipsey, M.; Wilson, D. Practical Meta-Analysis|SAGE Publications Inc.; SAGE Publications: Thousand Oaks, CA, USA, 2001. [Google Scholar]
- DerSimonian, R.; Laird, N. Meta-analysis in clinical trials. Control. Clin. Trials 1986, 7, 177–188. [Google Scholar] [CrossRef]
- Doi, S.A.R.; Williams, G.M. (Eds.) Methods of Clinical Epidemiology; Springer Series on Epidemiology and Public Health; Springer: Berlin/Heidelberg, Germany, 2013; ISBN 978-3-642-37130-1. [Google Scholar]
- Sterne, J.; Newton, H.; Cox, N. Meta-Analysis in Stata: An updated Collection from the Stata Journal; Stata Press: College Stattion, TX, USA, 2009. [Google Scholar]
- Day, T.G.; Dionisio, D.; Zannino, D.; Brizard, C.; Cheung, M.M.H. Enteral feeding in duct-dependent congenital heart disease. J. Neonatal. Perinatal. Med. 2019, 12, 9–12. [Google Scholar] [CrossRef]
- Iannucci, G.J.; Oster, M.E.; Mahle, W.T. Necrotising enterocolitis in infants with congenital heart disease: The role of enteral feeds. Cardiol. Young 2012, 23, 553–559. [Google Scholar] [CrossRef]
- Luce, W.A.; Schwartz, R.M.; Beauseau, W.; Giannone, P.J.; Boettner, B.L.; Cheatham, J.P.; Galantowicz, M.E.; Cua, C.L. Necrotizing enterocolitis in neonates undergoing the hybrid approach to complex congenital heart disease. Pediatr. Crit. Care Med. 2011, 12, 46–51. [Google Scholar] [CrossRef]
- Scahill, C.J.; Graham, E.M.; Atz, A.M.; Bradley, S.M.; Kavarana, M.N.; Zyblewski, S.C. Preoperative Feeding Neonates With Cardiac Disease. World J. Pediatr. Congenit. Heart Surg. 2017, 8, 62–68. [Google Scholar] [CrossRef]
- Becker, K.C.; Hornik, C.P.; Cotten, C.M.; Clark, R.H.; Hill, K.D.; Smith, P.B.; Lenfestey, R.W. Necrotizing enterocolitis in infants with ductal-dependent congenital heart disease. Am. J. Perinatol. 2015, 32, 633–638. [Google Scholar] [CrossRef]
- Watson, J.D.; Urban, T.T.; Tong, S.S.; Zenge, J.; Khailova, L.; Wischmeyer, P.E.; Davidson, J.A. Immediate Post-operative Enterocyte Injury, as Determined by Increased Circulating Intestinal Fatty Acid Binding Protein, Is Associated With Subsequent Development of Necrotizing Enterocolitis After Infant Cardiothoracic Surgery. Front. Pediatr. 2020, 8, 267. [Google Scholar] [CrossRef] [PubMed]
- Zyblewski, S.C.; Nietert, P.J.; Graham, E.M.; Taylor, S.N.; Atz, A.M.; Wagner, C.L. Randomized clinical trial of preoperative feeding to evaluate intestinal barrier function in neonates requiring cardiac surgery. J. Pediatr. 2015, 167, 47–51. [Google Scholar] [CrossRef] [PubMed]
- Harrison, A.M.; Davis, S.; Reid, J.R.; Morrison, S.C.; Arrigain, S.; Connor, J.T.; Temple, M.E. Neonates with hypoplastic left heart syndrome have ultrasound evidence of abnormal superior mesenteric artery perfusion before and after modified Norwood procedure. Pediatr. Crit. Care Med. 2005, 6, 445–447. [Google Scholar] [CrossRef] [PubMed]





| Author | Year | Study Design | Cohort Size | Comparison | Bell Stage | Odds Ratio for NEC Without Pre-Operative Feeding | Mean Quality Score (Down and Black) |
|---|---|---|---|---|---|---|---|
| McElhinney et al. [5] | 2000 | Case control study | 643 in inception cohort 21 cases of NEC matched with 70 controls from the inception cohort | NEC vs. non NEC | II or above | 1.10 (0.41, 2.92) | 20 |
| Luce et al. [23] | 2011 | Retrospective chart review | 73 consecutive neonates | NEC vs. non NEC | II or above | 1.76 (0.33, 9.40) | 19 |
| Iannucci et al. [22] | 2012 | Retrospective case–control study. | 81 27 NEC matched to 54 controls | NEC to matched case–controls (NEC vs. non NEC) | II or above | 1.82 (0.71, 4.62) | 18 |
| Becker et al. [25] | 2015 | Retrospective cohort study | 6710 infants | NEC vs. non NEC | II or above | 1.08 (0.38, 11.7) | 18 |
| Zyblewski et al. [27] | 2015 | Randomized control trial | 27 term born neonates 13 randomized to NBM 14 randomised to oral trophic feeds (10 mL/kg/day) | Feeding vs. not feeding | II or above | NO NEC | 22 |
| Scahill et al. [24] | 2017 | Retrospective cohort study | 131 consecutive neonates undergoing surgery for congenital heart disease | NEC vs. non NEC | II or above | 0.6 (0.1, 2.1) | 17 |
| Day et al. [21] | 2019 | Case control study | 177 consecutive patients diagnosed with hypoplastic left heart syndrome, coarctation of the aorta, pulmonary atresia, or transposition of the great arteries | NEC vs. non NEC | II or III | 0.30 (0.02, 5.75) | 20 |
| Watson et al. [26] | 2020 | Prospective cohort study | 103 consecutive infants <120 days of age undergoing cardiothoracic surgery with cardiopulmonary bypass | Feeding vs. not feeding | I or II | 1.00 (0.35, 2.86) | 20 |
Publisher’s Note: MDPI stays neutral with regard to jurisdictional claims in published maps and institutional affiliations. |
© 2022 by the authors. Licensee MDPI, Basel, Switzerland. This article is an open access article distributed under the terms and conditions of the Creative Commons Attribution (CC BY) license (https://creativecommons.org/licenses/by/4.0/).
Share and Cite
Bell, D.; Suna, J.; Marathe, S.P.; Perumal, G.; Betts, K.S.; Venugopal, P.; Alphonso, N.; QPCR Group. Feeding Neonates and Infants Prior to Surgery for Congenital Heart Defects: Systematic Review and Meta-Analysis. Children 2022, 9, 1856. https://doi.org/10.3390/children9121856
Bell D, Suna J, Marathe SP, Perumal G, Betts KS, Venugopal P, Alphonso N, QPCR Group. Feeding Neonates and Infants Prior to Surgery for Congenital Heart Defects: Systematic Review and Meta-Analysis. Children. 2022; 9(12):1856. https://doi.org/10.3390/children9121856
Chicago/Turabian StyleBell, Douglas, Jessica Suna, Supreet P. Marathe, Gopinath Perumal, Kim S. Betts, Prem Venugopal, Nelson Alphonso, and QPCR Group. 2022. "Feeding Neonates and Infants Prior to Surgery for Congenital Heart Defects: Systematic Review and Meta-Analysis" Children 9, no. 12: 1856. https://doi.org/10.3390/children9121856
APA StyleBell, D., Suna, J., Marathe, S. P., Perumal, G., Betts, K. S., Venugopal, P., Alphonso, N., & QPCR Group. (2022). Feeding Neonates and Infants Prior to Surgery for Congenital Heart Defects: Systematic Review and Meta-Analysis. Children, 9(12), 1856. https://doi.org/10.3390/children9121856

