Evaluation of Serum and Salivary Iron and Ferritin Levels in Children with Dental Caries: A Meta-Analysis and Trial Sequential Analysis
Abstract
:1. Introduction
2. Materials and Methods
2.1. Design Protocol
2.2. Search Strategy
2.3. Criteria
2.4. Data Extraction
2.5. Quality of Assessment
2.6. Statistical Analysis
3. Results
3.1. Study Selection
3.2. Characteristics of the Studies
3.3. Quality Assessment
3.4. Pooled Analysis
3.5. Sensitivity Analysis
3.6. Publication Bias
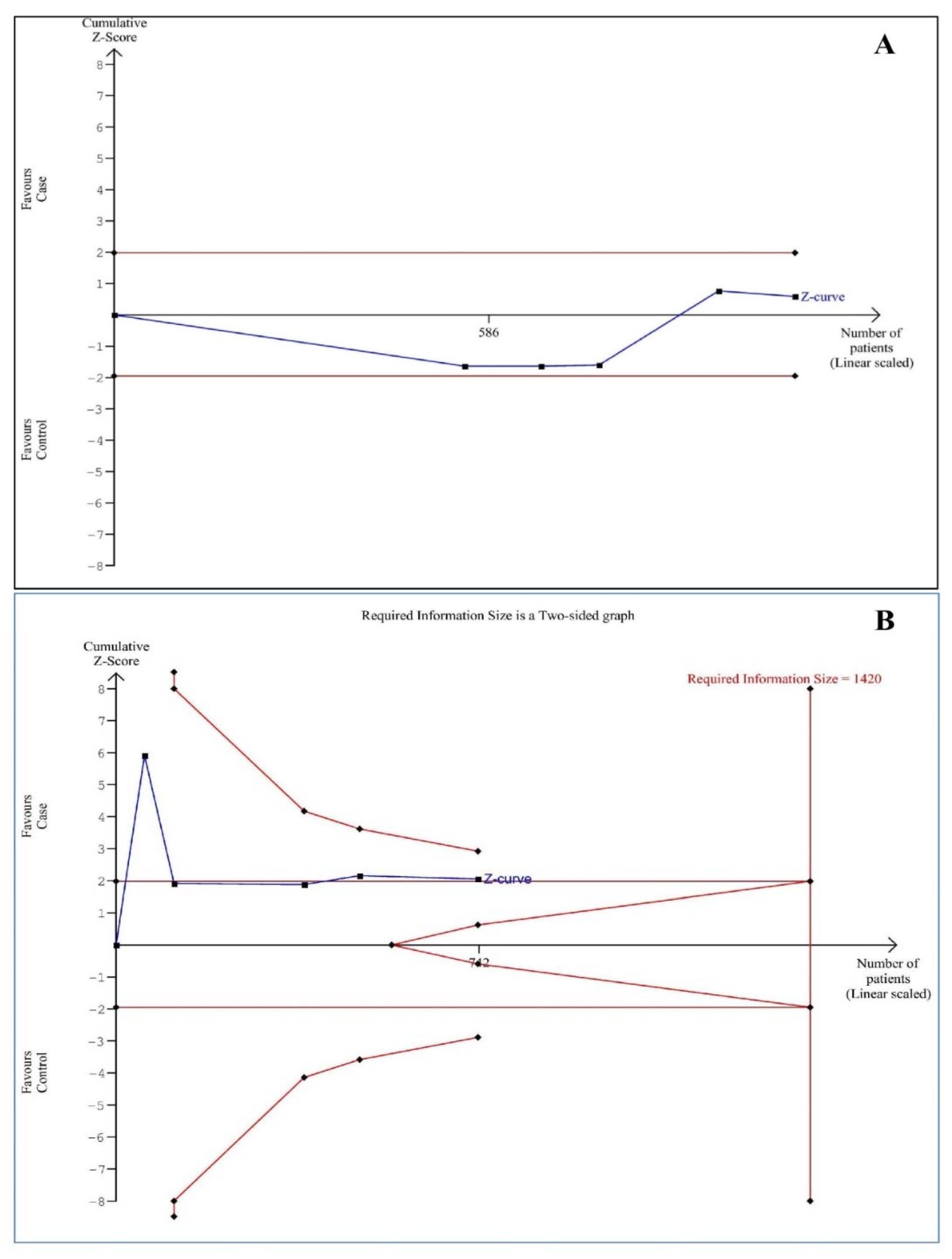
3.7. Trial Sequential Analysis (TSA)
4. Discussion
5. Conclusions
Author Contributions
Funding
Institutional Review Board Statement
Informed Consent Statement
Data Availability Statement
Acknowledgments
Conflicts of Interest
References
- Jepsen, S.; Blanco, J.; Buchalla, W.; Carvalho, J.C.; Dietrich, T.; Dörfer, C.; Eaton, K.A.; Figuero, E.; Frencken, J.E.; Graziani, F. Prevention and control of dental caries and periodontal diseases at individual and population level: Consensus report of group 3 of joint EFP/ORCA workshop on the boundaries between caries and periodontal diseases. J. Clin. Periodontol. 2017, 44, S85–S93. [Google Scholar] [CrossRef]
- Petersen, P.E. The World Oral Health Report 2003: Continuous improvement of oral health in the 21st century–the approach of the WHO Global Oral Health Programme. Community Dent. Oral Epidemiol. 2003, 31, 3–24. [Google Scholar] [CrossRef] [PubMed]
- Shamsaddin, H.; Jahanimoghadam, F.; Poureslami, H.; Haghdoost, A.A. The association between growth factors and blood factors with early childhood caries. J. Oral Health Oral Epidemiol. 2017, 6, 196–202. [Google Scholar]
- Feldens, C.A.; Giugliani, E.R.J.; Duncan, B.B.; Drachler, M.d.L.; Vítolo, M.R. Long-term effectiveness of a nutritional program in reducing early childhood caries: A randomized trial. Community Dent. Oral Epidemiol. 2010, 38, 324–332. [Google Scholar] [CrossRef] [PubMed]
- Peres, M.A.; Peres, K.G.; De Barros, A.J.D.; Victora, C.G. The relation between family socioeconomic trajectories from childhood to adolescence and dental caries and associated oral behaviours. J. Epidemiol. Community Health 2007, 61, 141–145. [Google Scholar] [CrossRef] [Green Version]
- Stookey, G.K. The effect of saliva on dental caries. J. Am. Dent. Assoc. 2008, 139, 11S–17S. [Google Scholar] [CrossRef] [Green Version]
- Marshall, T.A.; Eichenberger-Gilmore, J.M.; Larson, M.A.; Warren, J.J.; Levy, S.M. Comparison of the intakes of sugars by young children with and without dental caries experience. J. Am. Dent. Assoc. 2007, 138, 39–46. [Google Scholar] [CrossRef]
- Jagannathan, N.; Thiruvengadam, C.; Ramani, P.; Premkumar, P.; Natesan, A.; Sherlin, H. Salivary ferritin as a predictive marker of iron deficiency anemia in children. J. Clin. Pediatric Dent. 2012, 37, 25–30. [Google Scholar] [CrossRef]
- Schroth, R.J.; Harrison, R.L.; Moffatt, M.E. Oral health of indigenous children and the influence of early childhood caries on childhood health and well-being. Pediatric Clin. 2009, 56, 1481–1499. [Google Scholar] [CrossRef]
- Ramos-Gomez, F.; Weintraub, J.; Gansky, S.; Hoover, C.; Featherstone, J. Bacterial, behavioral and environmental factors associated with early childhood caries. J. Clin. Pediatric Dent. 2003, 26, 165–173. [Google Scholar] [CrossRef]
- Asgari, I.; Soltani, S.; Sadeghi, S.M. Effects of Iron Products on Decay, Tooth Microhardness, and Dental Discoloration: A Systematic Review. Arch. Pharm. Pract. 2020, 1, 60. [Google Scholar]
- Ribeiro, C.C.C.; Ccahuana-Vásquez, R.A.; Carmo, C.D.S.d.; Alves, C.M.C.; Leitão, T.J.; Vidotti, L.R.; Cury, J.A. The effect of iron on Streptococcus mutans biofilm and on enamel demineralization. Braz. Oral Res. 2012, 26, 300–305. [Google Scholar] [CrossRef] [PubMed] [Green Version]
- Seow, W.K. Biological mechanisms of early childhood caries. Community Dent. Oral Epidemiol. 1998, 26, 8–27. [Google Scholar] [CrossRef] [PubMed]
- World Health Organization; Centers for Disease Control and Prevention. Prevention. Assessing the Iron Status of Populations; World Health Organization: Geneva, Switzerland, 2007. [Google Scholar]
- Hemadi, A.S.; Huang, R.; Zhou, Y.; Zou, J. Salivary proteins and microbiota as biomarkers for early childhood caries risk assessment. Int. J. Oral Sci. 2017, 9, e1. [Google Scholar] [CrossRef] [PubMed] [Green Version]
- Koppal, P.I.; Sakri, M.R.; Akkareddy, B.; Hinduja, D.M.; Gangolli, R.A.; Patil, B.C. Iron deficiency in young children: A risk marker for early childhood caries. Int. J. Clin. Pediatric Dent. 2013, 6, 1. [Google Scholar]
- Moher, D.; Liberati, A.; Tetzlaff, J.; Altman, D.G. Preferred reporting items for systematic reviews and meta-analyses: The PRISMA statement. Int. J. Surg. 2010, 8, 336–341. [Google Scholar] [CrossRef] [Green Version]
- Peterson, J.; Welch, V.; Losos, M.; Tugwell, P. The Newcastle-Ottawa scale (NOS) for assessing the quality of nonrandomised studies in meta-analyses. Ott. Ott. Hosp. Res. Inst. 2011, 1–12. Available online: http://www.ohri.ca/programs/clinical_epidemiology/oxford.asp (accessed on 1 June 2018).
- DerSimonian, R.; Laird, N. Meta-analysis in clinical trials. Control. Clin. Trials 1986, 7, 177–188. [Google Scholar] [CrossRef]
- Mantel, N.; Haenszel, W. Statistical aspects of the analysis of data from retrospective studies of disease. J. Natl. Cancer Inst. 1959, 22, 719–748. [Google Scholar]
- Imberger, G.; Thorlund, K.; Gluud, C.; Wetterslev, J. False-positive findings in Cochrane meta-analyses with and without application of trial sequential analysis: An empirical review. BMJ Open 2016, 6, e011890. [Google Scholar] [CrossRef]
- Wetterslev, J.; Jakobsen, J.C.; Gluud, C. Trial sequential analysis in systematic reviews with meta-analysis. BMC Med. Res. Methodol. 2017, 17, 1–18. [Google Scholar] [CrossRef] [Green Version]
- de Oliveira Buche, B.; Gusso, B.; de Paiva Bertoli, F.M.; de SOUZA, J.F.; Guimarães, A.T.B.; Brancher, J.A. Estimation of the salivary iron in children with dental caries: A pilot study. Iran. J. Public Health 2016, 45, 1083–1084. [Google Scholar]
- de Oliveira Buche, B.; Gusso, B.; Torres, M.F.; Dalledone, M.; de Paiva Bertoli, F.M.; Feltrin de Souza, J.; Pizzatto, E.; Brancher, J.A. Association between decrease in salivary iron levels and caries experience in children. Rev. Odonto Cienc. 2017, 32, 94–98. [Google Scholar]
- Hussein, A.; Ghasheer, H.; Ramli, N.; Schroth, R.; Abu-Hassan, M. Salivary trace elements in relation to dental caries in a group of multi-ethnic schoolchildren in Shah Alam, Malaysia. Eur. J. Paediatr. Dent. 2013, 14, 113–118. [Google Scholar]
- Jayakumar, A.; Gurunathan, D. Estimation of ferritin levels in children with and without early childhood caries-A case–control study. J. Adv. Pharm. Educ. Res. Jan-Mar 2017, 7, 15–17. [Google Scholar]
- Kotian, N.; Gurunathan, D. Estimation of salivary ferritin in children with childhood caries–a cross sectional study. Braz. Dent. Sci. 2021, 24. [Google Scholar] [CrossRef]
- Poletto, A.C.; Singi, P.; Barri, R.M.; Casanova, A.A.; Garbelini, C.C.D.; da Silva, C.C.; Venancio, E.J. Relationship of levels of trace elements in saliva and dental caries in preschool children using total reflection X-ray fluorescence technique (TXRF). J. Trace Elem. Med. Biol. 2021, 63, 126663. [Google Scholar] [CrossRef]
- Rajkumaar, J.; Mathew, M.G. Association of severe early childhood caries with salivary ferritin. J. Fam. Med. Prim. Care 2020, 9, 3991. [Google Scholar]
- Schroth, R.J.; Levi, J.; Kliewer, E.; Friel, J.; Moffatt, M.E. Association between iron status, iron deficiency anaemia, and severe early childhood caries: A case–control study. BMC Pediatrics 2013, 13, 1–7. [Google Scholar] [CrossRef] [PubMed] [Green Version]
- Shaoul, R.; Gaitini, L.; Kharouba, J.; Darawshi, G.; Maor, I.; Somri, M. The association of childhood iron deficiency anaemia with severe dental caries. Acta Paediatr. 2012, 101, e76–e79. [Google Scholar] [CrossRef] [PubMed]
- Watanabe, K.; Tanaka, T.; Shigemi, T.; Saeki, K.; Fujita, Y.; Morikawa, K.; Nakashima, H.; Takahashi, S.; Watanabe, S.; Maki, K. Al and Fe levels in mixed saliva of children related to elution behavior from teeth and restorations. J. Trace Elem. Med. Biol. 2011, 25, 143–148. [Google Scholar] [CrossRef] [PubMed]
- Clarke, M.; Locker, D.; Berall, G.; Pencharz, P.; Kenny, D.J.; Judd, P. Malnourishment in a population of young children with severe early childhood caries. Pediatric Dent. 2006, 28, 254–259. [Google Scholar]
- Gerritsen, A.E.; Allen, P.F.; Witter, D.J.; Bronkhorst, E.M.; Creugers, N.H. Tooth loss and oral health-related quality of life: A systematic review and meta-analysis. Health Qual. Life Outcomes 2010, 8, 1–11. [Google Scholar] [CrossRef] [Green Version]
- Benzian, H.; Monse, B.; Heinrich-Weltzien, R.; Hobdell, M.; Mulder, J.; van Palenstein Helderman, W. Untreated severe dental decay: A neglected determinant of low Body Mass Index in 12-year-old Filipino children. BMC Public Health 2011, 11, 1–10. [Google Scholar] [CrossRef] [Green Version]
- Miguel, J.; Bowen, W.; Pearson, S. Effects of frequency of exposure to iron-sucrose on the incidence of dental caries in desalivated rats. Caries Res. 1997, 31, 238–243. [Google Scholar] [CrossRef] [PubMed]
- World Health Organization. Serum Ferritin Concentrations for the Assessment of Iron Status and Iron Deficiency in Populations; World Health Organization: Geneva, Switzerland, 2011. [Google Scholar]
- Eftekhari, M.; Mozaffari-Khosravi, H.; Shidfar, F. The relationship between BMI and iron status in iron-deficient adolescent Iranian girls. Public Health Nutr. 2009, 12, 2377–2381. [Google Scholar] [CrossRef] [PubMed] [Green Version]
- Norberg, C.; Hallström Stalin, U.; Matsson, L.; Thorngren-Jerneck, K.; Klingberg, G. Body mass index (BMI) and dental caries in 5-year-old children from southern Sweden. Community Dent. Oral Epidemiol. 2012, 40, 315–322. [Google Scholar] [CrossRef] [PubMed]





| First Author, Publication Year | Country | Number of Cases to Controls | Age Range of All Participants (Mean Age of Cases to Controls) | Male/Female of Cases to Controls | Outcome Evaluated | Measurement Method |
|---|---|---|---|---|---|---|
| Watanabe, 2011 [32] | Japan | 424 to 124 | 6–12 | NR | Salivary iron | AAS |
| Shaoul, 2012 [31] | Israel | 30 to 30 | 3–18 (5.7 to 5.8) | 17/13 to 16/14 | Serum iron and ferritin | NR |
| Hussein, 2013 [25] | Malaysia | 63 to 57 | 8–12 | NR | Salivary iron | AAS |
| Koppal, 2013 [16] | India | 30 to 30 | 2–6 | NR | Serum ferritin | NR |
| Schroth, 2013 [30] | Canada | 144 to 122 | <6 | NR | Serum ferritin | NR |
| de Oliveira Buche, 2016 [23] | Brazil | 65 to 27 | 11–14 (12 to 12) | NR | Salivary iron | Colorimetric test |
| de Oliveira Buche, 2017 [24] | Brazil | 131 to 55 | 11–14 | NR | Salivary iron | Colorimetric test |
| Jayakumar, 2017 [26] | India | 79 to 35 | <6 | NR | Serum ferritin | ECLIA |
| Shamsaddin, 2017 [3] | Iran | 159 to 83 | 2–6 | NR | Serum ferritin | NR |
| Rajkumaar, 2020 [29] | India | 60 to 60 | 4–4 (4.2–4.1) | 34/26 to 32/28 | Salivary ferritin | CMIA |
| Kotian, 2021 [27] | India | 30 to 30 | 3–6 | NR | Salivary ferritin | CMIA |
| Poletto, 2021 [28] | Brazil | 60 to 60 | 3 months—6 (4.5–5.0) | 34/26 to 32/28 | Salivary iron | TXRF |
| First Author, Publication Year | Selection | Comparability | Exposure | Total Score |
|---|---|---|---|---|
| Watanabe, 2011 [32] | **** | - | *** | 7 |
| Shaoul, 2012 [31] | **** | ** | *** | 9 |
| Hussein, 2013 [25] | **** | - | *** | 7 |
| Koppal, 2013 [16] | **** | - | *** | 7 |
| Schroth, 2013 [30] | **** | * | *** | 8 |
| de Oliveira Buche, 2016 [23] | **** | * | *** | 8 |
| de Oliveira Buche, 2017 [24] | **** | - | *** | 7 |
| Jayakumar, 2017 [26] | **** | - | *** | 7 |
| Shamsaddin, 2017 [3] | **** | - | *** | 7 |
| Rajkumaar, 2020 [29] | **** | ** | *** | 9 |
| Kotian, 2021 [27] | **** | - | *** | 7 |
| Poletto, 2021 [28] | **** | ** | *** | 9 |
Publisher’s Note: MDPI stays neutral with regard to jurisdictional claims in published maps and institutional affiliations. |
© 2021 by the authors. Licensee MDPI, Basel, Switzerland. This article is an open access article distributed under the terms and conditions of the Creative Commons Attribution (CC BY) license (https://creativecommons.org/licenses/by/4.0/).
Share and Cite
Sharifi, R.; Tabarzadi, M.F.; Choubsaz, P.; Sadeghi, M.; Tadakamadla, J.; Brand, S.; Sadeghi-Bahmani, D. Evaluation of Serum and Salivary Iron and Ferritin Levels in Children with Dental Caries: A Meta-Analysis and Trial Sequential Analysis. Children 2021, 8, 1034. https://doi.org/10.3390/children8111034
Sharifi R, Tabarzadi MF, Choubsaz P, Sadeghi M, Tadakamadla J, Brand S, Sadeghi-Bahmani D. Evaluation of Serum and Salivary Iron and Ferritin Levels in Children with Dental Caries: A Meta-Analysis and Trial Sequential Analysis. Children. 2021; 8(11):1034. https://doi.org/10.3390/children8111034
Chicago/Turabian StyleSharifi, Roohollah, Mohammad Farid Tabarzadi, Parsia Choubsaz, Masoud Sadeghi, Jyothi Tadakamadla, Serge Brand, and Dena Sadeghi-Bahmani. 2021. "Evaluation of Serum and Salivary Iron and Ferritin Levels in Children with Dental Caries: A Meta-Analysis and Trial Sequential Analysis" Children 8, no. 11: 1034. https://doi.org/10.3390/children8111034
APA StyleSharifi, R., Tabarzadi, M. F., Choubsaz, P., Sadeghi, M., Tadakamadla, J., Brand, S., & Sadeghi-Bahmani, D. (2021). Evaluation of Serum and Salivary Iron and Ferritin Levels in Children with Dental Caries: A Meta-Analysis and Trial Sequential Analysis. Children, 8(11), 1034. https://doi.org/10.3390/children8111034

