Children’s Physical Activity Levels Following Participation in a Classroom-Based Physical Activity Curriculum
Abstract
1. Introduction
2. Materials and Methods
2.1. Participants and Settings
2.2. Measures
2.3. Data Collection and Study Procedures
2.4. Data Analysis
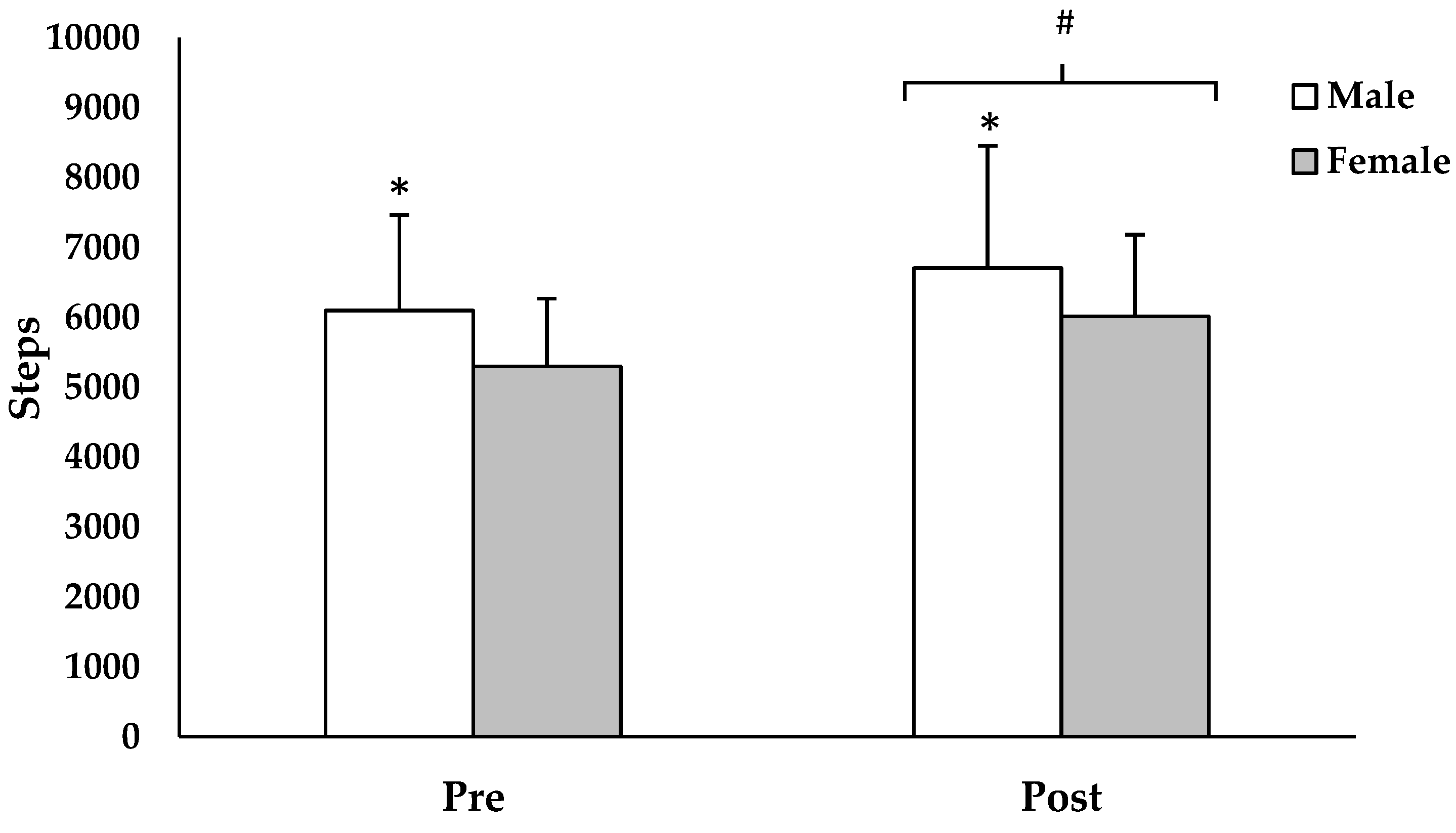
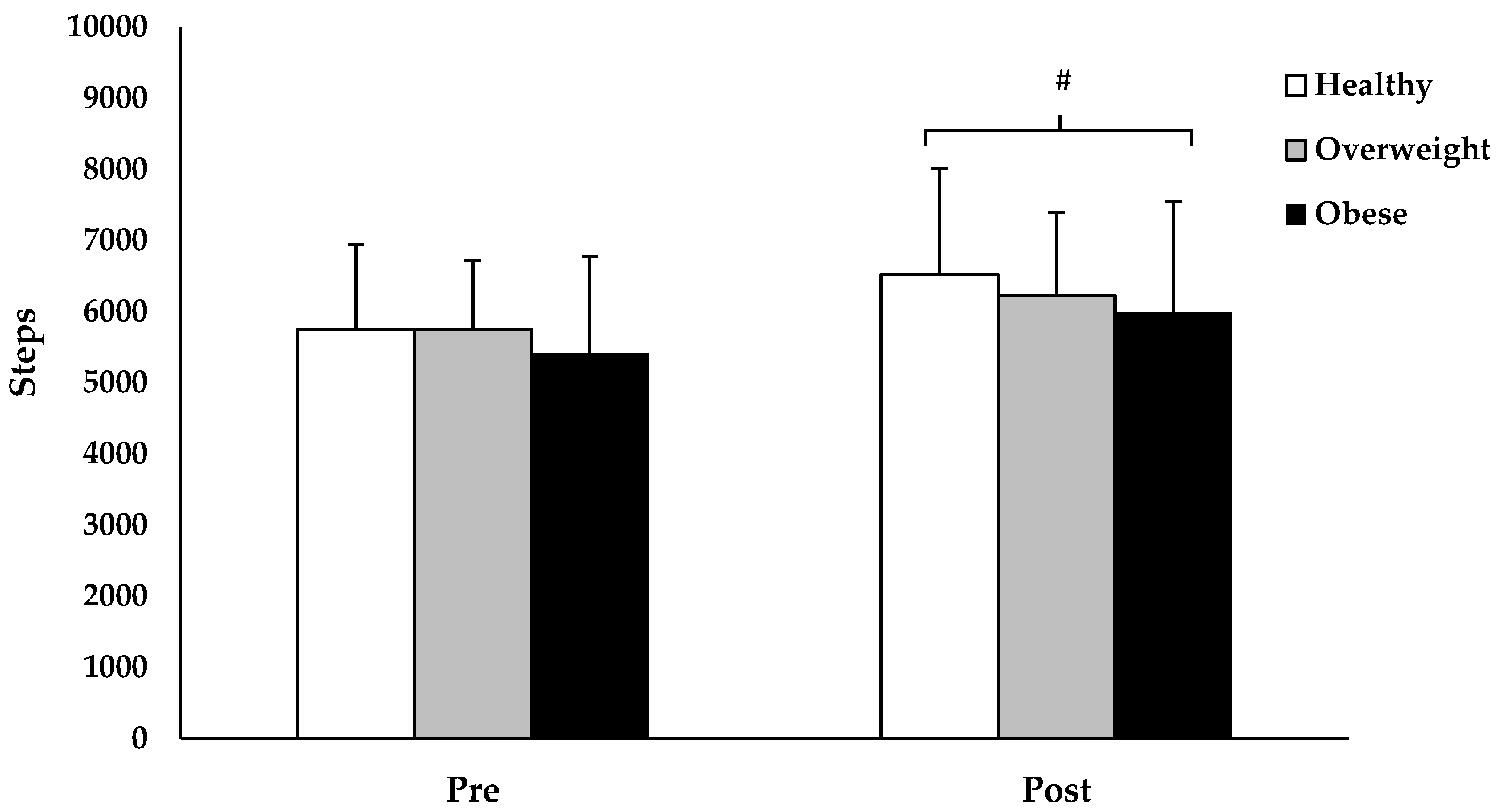
3. Results
4. Discussion
5. Conclusions
Author Contributions
Conflicts of Interest
References
- 2018 Physical Activity Guidelines Advisory Committee. 2018 Physical Activity Guidelines Advisory Committee Scientific Report; Department of Health and Human Services: Washington, DC, USA, 2018.
- National Center for Health Statistics. Health, United States, 2010: With Special Feature on Death and Dying; Government Printing Office: Washington, DC, USA, 2011.
- Dumith, S.C.; Ramires, V.V.; Souza, M.A.; Moraes, D.S.; Petry, F.G.; Oliveira, E.S.; Ramires, S.V.; Hallal, P.C. Overweight/obesity and physical fitness among children and adolescents. J. Phys. Act. Health 2010, 7, 641–648. [Google Scholar] [CrossRef] [PubMed]
- Decelis, A.; Jago, R.; Fox, K.R. Physical activity, screen time and obesity status in a nationally representative sample of Maltese youth with international comparisons. BMC Public Health 2014, 14, 664. [Google Scholar] [CrossRef] [PubMed]
- Dumith, S.C.; Gigante, D.P.; Domingues, M.R.; Kohl, H.W. Physical activity change during adolescence: A systematic review and a pooled analysis. Int. J. Epidemiol. 2011, 40, 685–698. [Google Scholar] [CrossRef] [PubMed]
- Centers for Disease Control and Prevention (CDC). Comprehensive School Physical Activity Programs: A Guide for Schools; US Department of Health and Human Services: Atlanta, GA, USA, 2013.
- Burns, R.D.; Brusseau, T.A.; Fu, Y. Moderators of School-Based Physical Activity Interventions on Cardiorespiratory Endurance in Primary School-Aged Children: A Meta-Regression. Int. J. Environ. Res. Public Health 2018, 15, 1764. [Google Scholar] [CrossRef] [PubMed]
- Webster, C.A.; Russ, L.; Vazou, S.; Goh, T.L.; Erwin, H. Integrating movement in academic classrooms: Understanding, applying and advancing the knowledge base. Obesity Rev. 2015, 16, 691–701. [Google Scholar] [CrossRef] [PubMed]
- Goh, T.L.; Hannon, J.C.; Webster, C.A.; Podlog, L.; Newton, M. Effects of a TAKE 10!® classroom-based physical activity intervention on 3rd to 5th grades children’s on-task behavior. J. Phys. Act. Health 2016, 13, 712–718. [Google Scholar] [CrossRef] [PubMed]
- Mullender-Wijnsma, M.J.; Hartman, E.; de Greeff, J.W.; Bosker, R.J.; Doolaard, S.; Visscher, C. Improving academic performance of school-age children by physical activity in the classroom: 1-year program evaluation. J. Sch. Health 2015, 85, 365–371. [Google Scholar] [CrossRef] [PubMed]
- Khan, N.A.; Hillman, C.H. The relation of childhood physical activity and aerobic fitness to brain function and cognition: A review. Ped. Ex. Sci. 2014, 26, 138–146. [Google Scholar] [CrossRef] [PubMed]
- Goh, T.L.; Hannon, J.; Webster, C.; Podlog, L.; Brusseau, B.; Newton, M. Effects of a classroom-based physical activity program on children’s physical activity levels. J. Teach. Phys. Educ. 2014, 33, 558–572. [Google Scholar] [CrossRef]
- CONSORT Transparent Reporting of Trials. Available online: http://www.consort-statement.org/ (accessed on 26 April 2019).
- Schneider, P.L.; Crouter, S.E.; Bassett, D.R. Pedometer measures of free-living physical activity: Comparison of 13 models. Med. Sci. Sports Exe. 2004, 36, 331–335. [Google Scholar] [CrossRef] [PubMed]
- Children’s BMI Tool for Schools. Available online: https://www.cdc.gov/healthyweight/assessing/bmi/childrens_bmi/tool_for_schools.html (accessed on 24 April 2019).
- Craig, C.L.; Tudor-Locke, C.; Cragg, S.; Cameron, C. Process and treatment of pedometer data collection for youth: The Canadian Physical Activity Levels among Youth study. Med. Sci Sports Exe. 2010, 42, 430–435. [Google Scholar] [CrossRef] [PubMed]
- Field, A. Discovering Statistics Using SPSS; SAGE: Los Angeles, CA, USA, 2009. [Google Scholar]
- Erwin, H.; Beighle, A.; Morgan, C.; Noland, M. Effect of a low-cost, teacherdirected classroom intervention on elementary students’ physical activity. J. Sch. Health. 2011, 81, 455–461. [Google Scholar] [CrossRef] [PubMed]
- Mahar, M.T.; Murphy, S.K.; Rowe, D.A.; Golden, J.; Shields, A.T.; Raedeke, T.D. Effects of a classroom-based program on physical activity and on-task behavior. Med. Sci. Sports Exe. 2006, 38, 2086–2094. [Google Scholar] [CrossRef] [PubMed]
- Stewart, J.A.; Dennison, D.A.; Kohl, H.W.; Doyle, J.A. Exercise level and energy expenditure in the TAKE 10! in-class physical activity program. J. Sch. Health. 2004, 74, 397–400. [Google Scholar] [CrossRef] [PubMed]
- Goh, T.L.; Hannon, J.C.; Webster, C.A.; Podlog, L. Classroom teachers’ experiences implementing a movement integration program: Barriers, facilitators, and continuance. Teach. Teach. Educ. 2017, 66, 88–95. [Google Scholar] [CrossRef]
- Hayes, R.; Thompson, L.; Gress, T.; Cottrell, L.; Pino, I.; Gilkerson, C.; Flesher, S. Effects of a Brief Physical Activity Program on Young Students’ Physical Fitness. Clin. Pediat. 2015, 54, 1145–1152. [Google Scholar] [CrossRef] [PubMed]
- Donnelly, J.E.; Greene, J.L.; Gibson, C.A.; Smith, B.K.; Washburn, R.A.; Sullivan, D.B.; DuBose, K.; Mayo, M.S.; Schmelzle, K.H.; Ryan, J.J.; et al. Physical Activity Across the Curriculum (PAAC): A randomized controlled trial to promote physical activity and diminish overweight and obesity in elementary school children. Prev. Med. 2009, 49, 336–341. [Google Scholar] [CrossRef] [PubMed]
- Donnelly, J.E.; Lambourne, K. Classroom-based physical activity, cognition, and academic achievement. Prev. Med. 2011, 52, 36–42. [Google Scholar] [CrossRef] [PubMed]
- Verjans-Janssen, S.R.B.; van de Kolk, I.; Van Kann, D.H.H.; Kremers, S.P.J.; Gerards, S.M.P.L. Effectiveness of school-based physical activity and nutrition interventions with direct parental involvement on children’s BMI and energy balance-related behaviors—A systematic review. PLoS ONE 2018, 13, e0204560. [Google Scholar] [CrossRef] [PubMed]



| Measure | Male (n = 92) | Female (n = 118) | p-Value |
|---|---|---|---|
| Age (years) | 9.09 ± 0.10 | 9.02 ± 0.08 | 0.568 |
| Height (m) | 1.40 ± 0.09 | 1.38 ± 0.09 | 0.140 |
| Mass (kg) | 39 ± 12 | 36 ± 10 | 0.034 |
| BMI (kg/m2) | 19.5 ± 4.2 | 18.4 ± 3.6 | 0.044 |
© 2019 by the authors. Licensee MDPI, Basel, Switzerland. This article is an open access article distributed under the terms and conditions of the Creative Commons Attribution (CC BY) license (http://creativecommons.org/licenses/by/4.0/).
Share and Cite
Goh, T.L.; Leong, C.H.; Brusseau, T.A.; Hannon, J. Children’s Physical Activity Levels Following Participation in a Classroom-Based Physical Activity Curriculum. Children 2019, 6, 76. https://doi.org/10.3390/children6060076
Goh TL, Leong CH, Brusseau TA, Hannon J. Children’s Physical Activity Levels Following Participation in a Classroom-Based Physical Activity Curriculum. Children. 2019; 6(6):76. https://doi.org/10.3390/children6060076
Chicago/Turabian StyleGoh, Tan Leng, Chee Hoi Leong, Timothy A Brusseau, and James Hannon. 2019. "Children’s Physical Activity Levels Following Participation in a Classroom-Based Physical Activity Curriculum" Children 6, no. 6: 76. https://doi.org/10.3390/children6060076
APA StyleGoh, T. L., Leong, C. H., Brusseau, T. A., & Hannon, J. (2019). Children’s Physical Activity Levels Following Participation in a Classroom-Based Physical Activity Curriculum. Children, 6(6), 76. https://doi.org/10.3390/children6060076

