Effectiveness of Intraosseous Local Anesthesia (QuickSleeper 5) During Pulpotomy and Stainless Steel Crown Placement on Mandibular Primary Molars: A Crossover Randomized Controlled Clinical Trial
Abstract
1. Introduction
2. Materials and Methods
2.1. Ethical Approval
2.2. Study Design
2.3. Sample Size Calculation
2.4. Sample Selection
2.5. Randomization
2.6. Inclusion and Exclusion Criteria
2.7. Clinical Procedure
2.7.1. Screening Visit
2.7.2. Treatment Visits
2.7.3. Local Anesthesia (LA) Techniques
2.7.4. Effectiveness of the LA
2.8. Blinding
2.9. Postoperative Complications
2.10. Data Analysis
3. Results
4. Discussion
5. Conclusions
Author Contributions
Funding
Institutional Review Board Statement
Informed Consent Statement
Data Availability Statement
Acknowledgments
Conflicts of Interest
References
- Alinejhad, D.; Bahrololoomi, Z.; Navabazam, A.; Asayesh, M.A. Comparison of visual analog scale scores in pain assessment during pulpotomy using different injection materials in children aged 6 to 8 and 8 to 10 years. J. Contemp. Dent. Pract. 2018, 19, 313–317. [Google Scholar] [CrossRef]
- American Academy of Pediatric Dentistry. Use of Local Anesthesia for Pediatric Dental Patients. In The Reference Manual of Pediatric Dentistry; American Academy of Pediatric Dentistry: Chicago, IL, USA, 2024; pp. 318–323. [Google Scholar]
- American Academy of Pediatric Dentistry. Pain Management in Infants, Children, Adolescents, and Individuals with Special Health Care Needs. In The Reference Manual of Pediatric Dentistry; American Academy of Pediatric Dentistry: Chicago, IL, USA, 2024; pp. 435–443. [Google Scholar]
- Jorgenson, K.; Burbridge, L.; Cole, B. Comparison of the efficacy of a standard inferior alveolar nerve block versus articaine infiltration for invasive dental treatment in permanent mandibular molars in children: A pilot study. Eur. Arch. Paediatr. Dent. 2020, 21, 171–177. [Google Scholar] [CrossRef] [PubMed]
- Leith, R.; Lynch, K.; O’Connell, A.C. Articaine use in children: A review. Eur. Arch. Paediatr. Dent. 2012, 13, 293–296. [Google Scholar] [CrossRef] [PubMed]
- Aghababaie, S.T.; Monteiro, J.; Stratigaki, E.; Ashley, P.F. Techniques for effective local anaesthetic administration for the paediatric patient. Br. Dent. J. 2020, 229, 779–785. [Google Scholar] [CrossRef]
- Peedikayil, F.C.; Vijayan, A. An update on local anesthesia for pediatric dental patients. Anesth. Essays Res. 2013, 7, 4–9. [Google Scholar] [CrossRef] [PubMed]
- Malamed, S.F. Handbook of Local Anesthesia; Elsevier: St. Louis, MO, USA, 2013; pp. 225–252. [Google Scholar]
- Renton, T. Oral surgery: Part 4. Minimising and managing nerve injuries and other complications. Br. Dent. J. 2013, 215, 393–399. [Google Scholar] [CrossRef]
- Erfanparast, L.; Rahbar, M.; Pourkazemi, M.; Vatandoust, M.; Balar, S.; Vafaei, A. Comparison of effects exerted by 4% articaine buccal infiltration and 2% lidocaine inferior alveolar nerve block on pain perception and behavioral feedback of children during pulp treatment of mandibular second primary molars. Maedica 2020, 15, 477–483. [Google Scholar] [CrossRef]
- Tudeshchoie, D.G.; Rozbahany, N.A.; Hajiahmadi, M.; Jabarifar, E. Comparison of the efficacy of two anesthetic techniques of mandibular primary first molar: A randomized clinical trial. Dent. Res. J. 2013, 10, 620–623. [Google Scholar]
- Martin, E.; Nimmo, A.; Lee, A.; Jennings, E. Articaine in dentistry: An overview of the evidence and meta-analysis of the latest randomised controlled trials on articaine safety and efficacy compared to lidocaine for routine dental treatment. BDJ Open 2021, 7, 27. [Google Scholar] [CrossRef] [PubMed]
- Tom, K.; Aps, J. Intraosseous anesthesia as a primary technique for local anesthesia in dentistry. Clin. Res. Infect. Dis. 2015, 2, 1012. [Google Scholar] [CrossRef]
- Sixou, J.L.; Marie-Cousin, A.; Huet, A.; Hingant, B.; Robert, J.C. Pain assessment by children and adolescents during intraosseous anaesthesia using a computerized system (QuickSleeper). Int. J. Paediatr. Dent. 2009, 19, 360–366. [Google Scholar] [CrossRef] [PubMed]
- Sixou, J.L.; Barbosa-Rogier, M.E. Efficacy of intraosseous injections of anesthetic in children and adolescents. Oral Surg. Oral Med. Oral Pathol. Oral Radiol. 2008, 106, 173–178. [Google Scholar] [CrossRef]
- Biocanin, V.; Brkovic, B.; Milicic, B.; Stojic, D. Efficacy and safety of intraseptal and periodontal ligament anesthesia achieved by computer-controlled articaine + epinephrine delivery: A dose-finding study. Clin. Oral Investig. 2013, 17, 525–533. [Google Scholar] [CrossRef] [PubMed]
- Simeonova, E.; Canova, S.; Zagorchev, P.I.; Dimitrova, S. Temperature changes in cortical bone during intraosseous anesthesia with anesto and quicksleeper. IOSR J. Dent. Med. Sci. 2017, 16, 84–87. [Google Scholar] [CrossRef]
- AlRaddadi, Z.A.; AlHowaish, L.A.; Sulimany, A.M. Pain-Related Behavior and Pain Perception Associated with Intraosseous Local Anesthesia (QuickSleeper 5®) in Pediatric Patients: A Randomized Controlled Clinical Trial. Children 2025, 12, 65. [Google Scholar] [CrossRef] [PubMed]
- Schulz, K.F.; Altman, D.G.; Moher, D. CONSORT 2010 statement: Updated guidelines for reporting parallel group randomised trials. BMJ 2010, 340, c332. [Google Scholar] [CrossRef]
- Frankl, S. Should the parent remain with the child in the dental operatory? J. Dent. Child. 1962, 29, 150–163. [Google Scholar]
- Bushra, R.; Aslam, N. An overview of clinical pharmacology of Ibuprofen. Oman Med. J. 2010, 25, 155–1661. [Google Scholar] [CrossRef] [PubMed]
- Forrest, J.A.; Clements, J.A.; Prescott, L.F. Clinical pharmacokinetics of paracetamol. Clin. Pharmacokinet. 1982, 7, 93–107. [Google Scholar] [CrossRef] [PubMed]
- Wright, G.Z.; Weinberger, S.J.; Marti, R.; Plotzke, O. The effectiveness of infiltration anesthesia in the mandibular primary molar region. Pediatr. Dent. 1991, 13, 278–283. [Google Scholar] [PubMed]
- Elbay, Ü.Ş.; Elbay, M.; Kaya, E.; Cilasun, Ü. Intraligamentary and supraperiosteal anesthesia efficacy using a computer controlled delivery system in mandibular molars. J. Clin. Pediatr. Dent. 2016, 40, 193–199. [Google Scholar] [CrossRef] [PubMed]
- Castelo, A.P.; Mato, E.G.; Aneiros, I.V.; López, L.S.; Rial, M.O.; Pazos, M.T.A.; Mundiña, B.R.; Posse, J.L. Evaluation of intraligamentous and intraosseous computer-controlled anesthetic delivery systems in pediatric dentistry: A randomized controlled trial. Children 2023, 10, 79. [Google Scholar] [CrossRef]
- Alkhouli, M.; Al-Nerabieah, Z.; Dashash, M. Can computerized intraosseous anaesthesia replaces the inferior alveolar nerve block in children? A randomized controlled clinical trial. Oral Surg. 2024. [Google Scholar] [CrossRef]




| Characteristics | n (%) |
|---|---|
| Age (years) | |
| 4–6 | 20 (60.6) |
| 7–9 | 13 (39.4) |
| Gender | |
| Male | 13 (39.4) |
| Female | 20 (60.6) |
| Tooth type | |
| Lower D | 13 (39.4) |
| Lower E | 20 (60.6) |
| No. of injections | |
| Buccal infiltration | |
| 1 | 27 (81.8) |
| >1 | 6 (18.2) |
| Intraosseous anesthesia technique | |
| 1 | 24 (72.7) |
| >1 | 9 (27.3) |
| Number of Injections | Type of Anesthesia Technique | p-Value | |
|---|---|---|---|
| BIT | IOT | ||
| 1 | 27 | 24 | 0.378 |
| >1 | 6 | 9 | |
| Stage of Procedure | Anesthesia Technique | Mean Difference | p-Value | |
|---|---|---|---|---|
| Buccal Infiltration | Intraosseous Anesthesia Technique | |||
| Pulpotomy | ||||
| Rubber dam placement | 3.76 (1.7) | 4.00 (2.1) | −0.242 | 0.604 |
| Drilling | 3.82 (2.0) | 3.82 (2.0) | 0 | 0 |
| Opening the pulp | 4.0 (2.2) | 4.0 (2.2) | 0 | 0 |
| Removal of pulpal tissue | 3.76 (2.0) | 3.76 (2.0) | 0 | 0 |
| Removal of rubber dam | 3.15 (0.9) | 3.33 (1.6) | −0.182 | 0.553 |
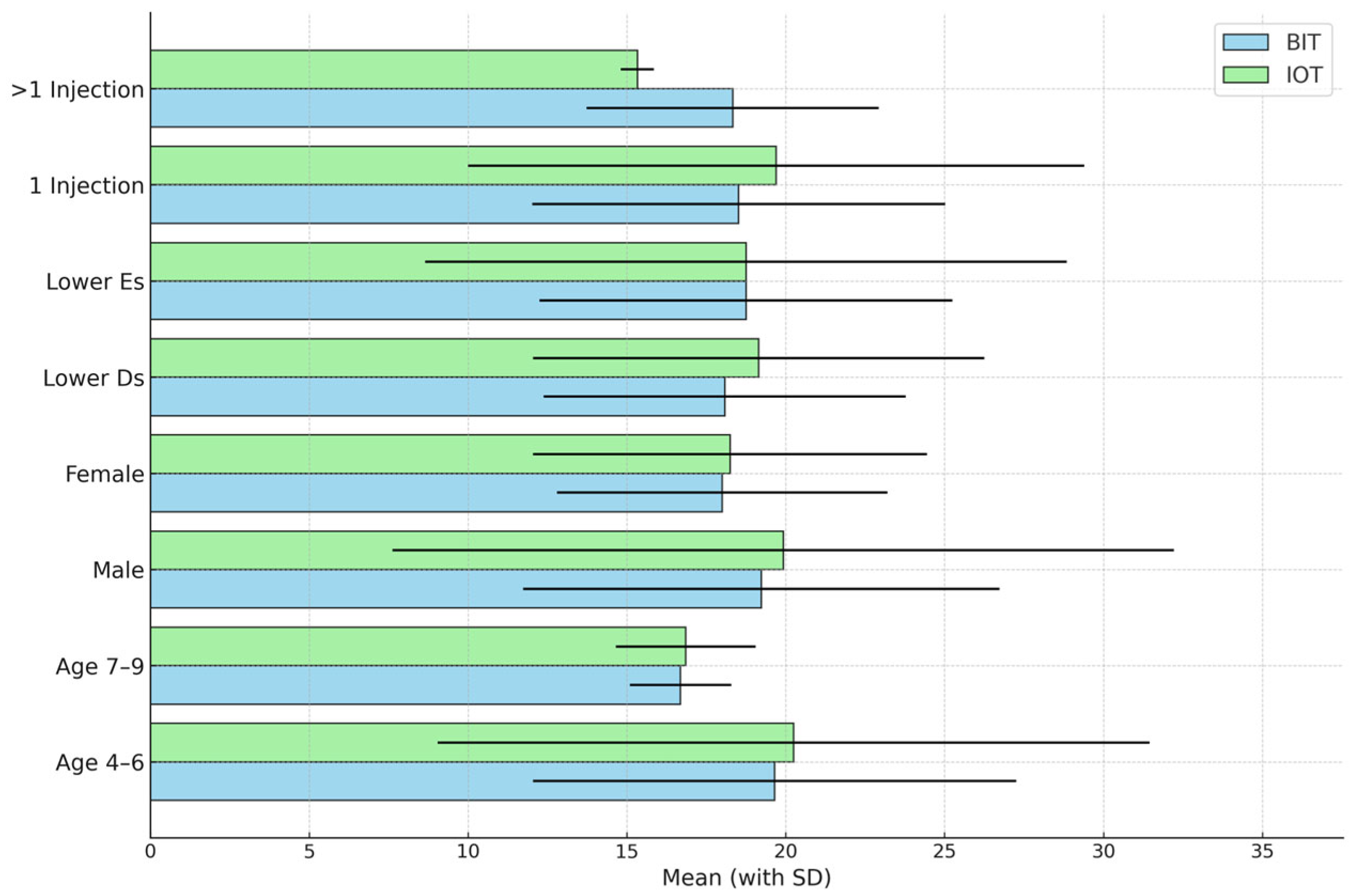
| Total | 18.48 (6.1) | 18.91 (8.9) | −0.424 | 0.556 |
| Stainless steel crown procedure | ||||
| Preparing the tooth | 4.33 (1.9) | 4.39 (2.3) | −0.061 | 0.888 |
| Placement of the crown | 3.97 (1.7) | 4.03 (2.2) | −0.061 | 0.885 |
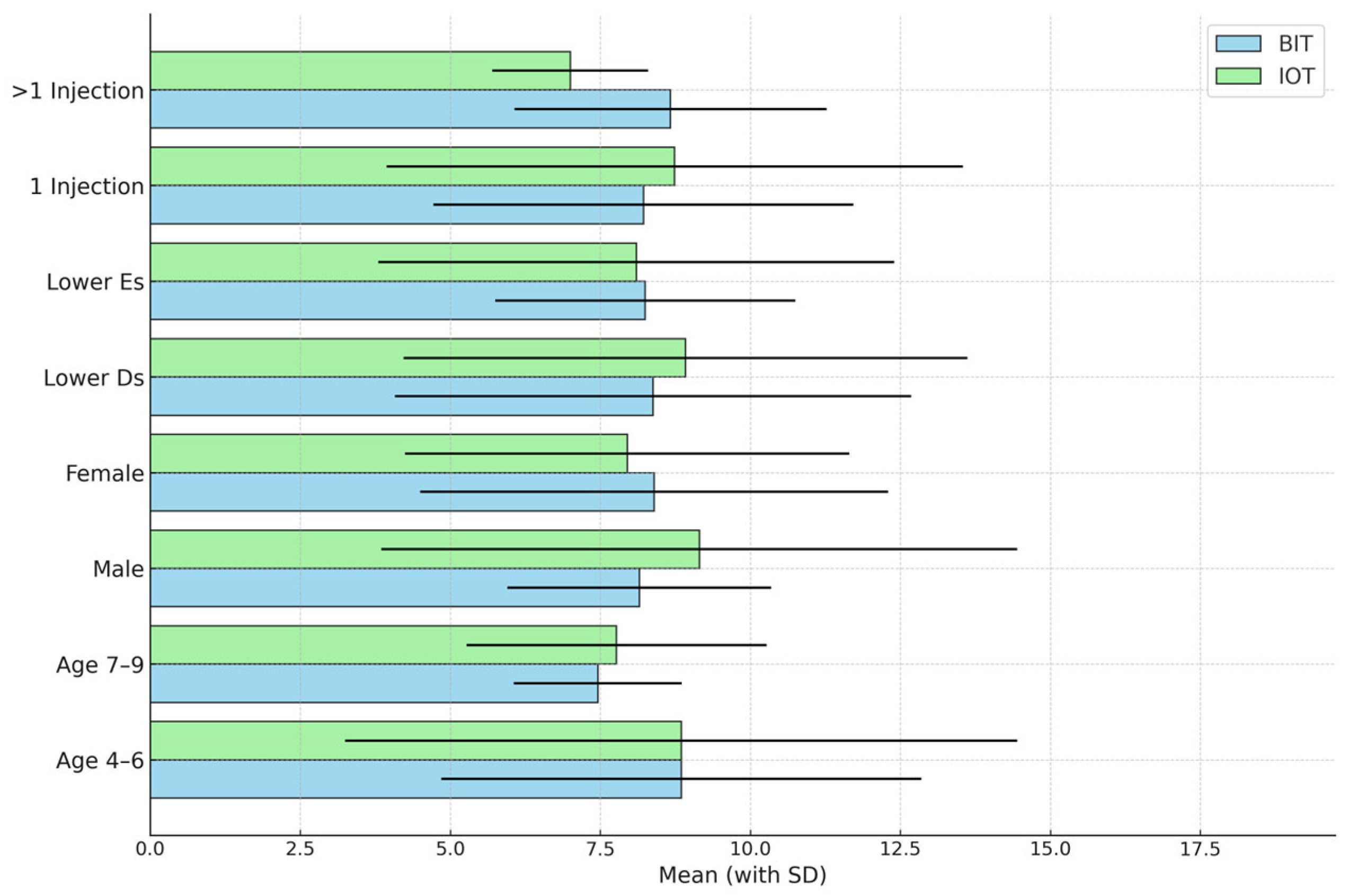
| Total | 8.30 (3.3) | 8.42 (4.4) | −0.121 | 0.875 |
Disclaimer/Publisher’s Note: The statements, opinions and data contained in all publications are solely those of the individual author(s) and contributor(s) and not of MDPI and/or the editor(s). MDPI and/or the editor(s) disclaim responsibility for any injury to people or property resulting from any ideas, methods, instructions or products referred to in the content. |
© 2025 by the authors. Licensee MDPI, Basel, Switzerland. This article is an open access article distributed under the terms and conditions of the Creative Commons Attribution (CC BY) license (https://creativecommons.org/licenses/by/4.0/).
Share and Cite
AlRaddadi, Z.A.; AlHowaish, L.A.; Sulimany, A.M. Effectiveness of Intraosseous Local Anesthesia (QuickSleeper 5) During Pulpotomy and Stainless Steel Crown Placement on Mandibular Primary Molars: A Crossover Randomized Controlled Clinical Trial. Children 2025, 12, 294. https://doi.org/10.3390/children12030294
AlRaddadi ZA, AlHowaish LA, Sulimany AM. Effectiveness of Intraosseous Local Anesthesia (QuickSleeper 5) During Pulpotomy and Stainless Steel Crown Placement on Mandibular Primary Molars: A Crossover Randomized Controlled Clinical Trial. Children. 2025; 12(3):294. https://doi.org/10.3390/children12030294
Chicago/Turabian StyleAlRaddadi, Zeyad A., Latifa A. AlHowaish, and Ayman M. Sulimany. 2025. "Effectiveness of Intraosseous Local Anesthesia (QuickSleeper 5) During Pulpotomy and Stainless Steel Crown Placement on Mandibular Primary Molars: A Crossover Randomized Controlled Clinical Trial" Children 12, no. 3: 294. https://doi.org/10.3390/children12030294
APA StyleAlRaddadi, Z. A., AlHowaish, L. A., & Sulimany, A. M. (2025). Effectiveness of Intraosseous Local Anesthesia (QuickSleeper 5) During Pulpotomy and Stainless Steel Crown Placement on Mandibular Primary Molars: A Crossover Randomized Controlled Clinical Trial. Children, 12(3), 294. https://doi.org/10.3390/children12030294

