Intravenous Sodium Ferric Gluconate Complex for Hospitalized Pediatric Patients with Iron Deficiency Anemia
Abstract
1. Introduction
2. Materials and Methods
2.1. Study Site and Patient Population
2.2. Data Extraction and Quality Control
2.3. Data Variables and Hematological Timepoints
2.4. Statistical Analysis
3. Results
3.1. Study Population
3.2. Patient Descriptions
3.3. Frequency and Distribution of Dosing
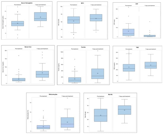
3.4. Description of Hematologic Value Changes
3.5. Hematologic Values and Cumulative Dose Correlations
3.6. Impact on RBC Transfusions
3.7. Safety
4. Discussion
5. Conclusions
Author Contributions
Funding
Institutional Review Board Statement
Informed Consent Statement
Data Availability Statement
Acknowledgments
Conflicts of Interest
Abbreviations
Appendix A
| Variable | Post Infusion | <3 Doses Change from Baseline (n = 19) [Mean ± SD, (n)] | 3 Doses Change from Baseline (n = 49) [mean ± SD, (n)] | >3 Doses Change from Baseline (n = 17) [Mean ± SD, (n)] | p-Value |
|---|---|---|---|---|---|
| Hemoglobin, g/dL | 7d | 1.81 ± 1.26 (9) | 1.81 ± 2.06 (25) | 1.51 ± 1.64 (10) | 0.9031 |
| 14d | 2.89 ± 2.59 (9) | 1.33 ± 1.58 (20) | 1.91 ± 1.34 (7) | 0.1226 | |
| Mean Corpuscular Volume, fL | 7d | 1.98 ± 4.71 (10) | 2.77 ± 4.70 (25) | 4.22 ± 3.01 (10) | 0.5117 |
| 14d | 0.81 ± 4.03 (9) | 2.33 ± 4.58 (20) | 0.99 ± 2.69 (7) | 0.5900 | |
| Ferritin, mcg/L | 7d | 293.2 ± 278.2 (5) | 127.2 ± 110.0 (23) | 80.85 ± 168.95 (7) | 0.0580 |
| 14d | 35.5 ± 108.19 (2) | 142.78 ± 194.18 (9) | 416.5 ± 460.3 (2) | NA | |
| Serum Iron, mcg/dL | 7d | 66.40 ± 70.83 (5) | 31.50 ± 42.22 (22) | 41.0 ± 37.8 (7) | 0.3220 |
| 14d | 23.00 ± 42.25 (4) | 23.86 ± 79.58 (7) | 33.0 ± 0 (2) | NA | |
| TIBC, mcg/dL | 7d | 96.00 ± 70.65 (5) | 49.13 ± 64.54 (23) | 73.29 ± 94.67 (7) | 0.3763 |
| 14d | 56.25 ± 73.45 (4) | 105.14 ± 79.20 (7) | 93.00 ± 80.61 (2) | NA | |
| CRP, mg/L | 7d | NA | −72.46 ± 70.51 (8) | −198.10± 101.40 (2) | NA |
| 14d | −10.70 ± 47.23 (2) | −58.94 ± 64.80 (9) | NA | NA | |
| Reticulocyte, % | 7d | 1.01 ± 2.82 (6) | 2.77 ± 3.78 (25) | 2.20 ± 3.41 (8) | 0.5583 |
| 14d | 0.84 ± 0.29 (3) | 0.34 ± 1.32 (8) | −0.46 ± 1.87 (2) | NA | |
| Reticulocyte Hgb, pg | 7d | 4.42 ± 4.54 (6) | 2.75 ± 6.66 (22) | 2.96 ± 3.54 (8) | 0.8252 |
| 14d | 0.30 ± 8.49 (3) | 2.14 ± 5.01 (8) | 3.95 ± 8.41 (2) | NA |
Appendix B
| Number of Doses of Sodium Ferric Gluconate Received (n) | Admission Diagnosis |
|---|---|
| 4 | Hematogenous Osteomyelitis of Left Femur |
| 4 | Status-Post Right Hemicolectomy |
| 4 | Ulcerative Colitis with Rectal Bleeding |
| 5 | Parapneumonic Effusion |
| 5 | Bronchiolitis, Failure to Thrive |
| 6 | Gastrointestinal Bleed |
| 6 | Partial Traumatic Amputation of Left Foot |
| 6 | Acute Respiratory Failure, Cardiac Arrest, Cranial Synostosis |
| 6 | Hydrocephalus: ETV/CPC Procedure Failure |
| 6 | Truncus Arteriosus |
| 6 | Grade IV Liver Laceration |
| 8 | Acute Respiratory Failure with Hypoxia, Toxic Shock Syndrome |
| 8 | Trauma, Traumatic Brain Injury, Motor Vehicle Collision |
| 8 | Acute Respiratory Failure with Hypoxia and Hypercapnia |
| 8 | Pericardial Effusion, Pulmonary Stenosis, Noonan Syndrome |
| 9 | Cerebritis Status Post Craniotomy |
| 12 | Shiga Toxic Hemolytic Uremic Syndrome |
References
- Bateman, S.T.; Lacroix, J.; Boven, K.; Forbes, P.; Barton, R.; Thomas, N.J.; Jacobs, B.; Markovitz, B.; Goldstein, B.; Hanson, J.H.; et al. Anemia, blood loss, and blood transfusion in North American children in the intensive care unit. Am. J. Respir. Crit. Care Med. 2008, 178, 26–33. [Google Scholar] [CrossRef]
- Lasocki, S.; Asfar, P.; Jaber, S.; Ferrandiere, M.; Kerforne, T.; Asehnoune, K.; Montravers, P.; Seguin, P.; Peoc’h, K.; Gergaud, S.; et al. Impact of treating iron deficiency, diagnosed according to hepcidin quantification, on outcomes after a prolonged ICU stay compared to standard care: A multicenter, randomized, single-blinded trial. Crit. Care. 2021, 25, 62. [Google Scholar] [CrossRef]
- Lasocki, S.; Chudeau, N.; Papet, T.; Tartiere, D.; Roquilly, A.; Carlier, L.; Mimoz, O.; Seguin, P.; Malledant, Y.; Asehnoune, K.; et al. Prevalence of iron deficiency on ICU discharge and its relation with fatigue: A multicenter prospective study. Crit. Care. 2014, 18, 542. [Google Scholar] [CrossRef] [PubMed]
- Kaneva, K.; Chow, E.; Rosenfield, C.G.; Kelly, M.J. Intravenous Iron Sucrose for Children with Iron Deficiency Anemia. J. Pediatr. Hematol. Oncol. 2017, 39, 259–262. [Google Scholar] [CrossRef]
- Lozoff, B.; Jimenez, E.; Wolf, A.W. Long-term developmental outcome of infants with iron deficiency. N. Engl. J. Med. 1991, 325, 687–694. [Google Scholar] [CrossRef]
- Mantadakis, E. Advances in Pediatric Intravenous Iron Therapy. Pediatr. Blood Cancer. 2016, 63, 11–16. [Google Scholar] [CrossRef]
- Valentine, S.L.; Bembea, M.M.; Muszynski, J.A.; Cholette, J.M.; Doctor, A.; Spinella, P.C.; Steiner, M.E.; Tucci, M.; Hassan, N.E.; Parker, R.I.; et al. Consensus recommendations for RBC transfusion practice in critically ill children from the pediatric critical care transfusion and anemia expertise initiative. Pediatr. Crit. Care Med. 2018, 19, 884–898. [Google Scholar] [CrossRef]
- Reesink, H.W.; Lee, J.; Keller, A.; Dennington, P.; Pink, J.; Holdsworth, R.; Schennach, H.; Goldman, M.; Petraszko, T.; Sun, J.; et al. Measures to prevent transfusion-related acute lung injury (TRALI). Vox Sang. 2012, 103, 231–259. [Google Scholar] [CrossRef]
- Silliman, C.C.; Fung, Y.L.; Ball, J.B.; Khan, S.Y. Transfusion-related acute lung injury (TRALI): Current concepts and misconceptions. Blood Rev. 2009, 23, 245–255. [Google Scholar] [CrossRef]
- Tung, J.P.; Fraser, J.F.; Nataatmadja, M.; Colebourne, K.I.; Barnett, A.G.; Glenister, K.M.; Zhou, A.Y.; Wood, P.; Silliman, C.C.; Fung, Y.L. Age of blood and recipient factors determine the severity of transfusion-related acute lung injury (TRALI). Crit. Care 2021, 16, R19. [Google Scholar] [CrossRef]
- Hendrickson, J.E.; Hillyer, C.D. Noninfectious serious hazards of transfusion. Anesth. Analg. 2009, 108, 759–769. [Google Scholar] [CrossRef]
- Benson, A.B.; Moss, M.; Silliman, C.C. Transfusion-related acute lung injury (TRALI): A clinical review with emphasis on the critically ill. Br. J. Haematol. 2009, 147, 431–443. [Google Scholar] [CrossRef] [PubMed]
- Mattiello, V.; Schmugge, M.; Hengartner, H.; von der Weid, N.; Renella, R. Diagnosis and management of iron deficiency in clinical with or without anemia: Consensus recommendations of the SPOG Pediatric Hematology Working Group. Eur. J. Pediatr. 2020, 179, 527–545. [Google Scholar] [CrossRef]
- Goyal, A.; Zheng, Y.; Albenberg, L.G.; Stoner, N.L.; Hart, L.; Alkhouri, R.; Hampson, K.; Ali, S.; Cho-Dorado, M.; Goyal, R.K.; et al. Anemia in children with inflammatory bowel disease: A position paper by the IBD Committee of the North American Society of Pediatric Gastroenterology, Hepatology, and Nutrition. J. Pediatr. Gastroenterol. Nutr. 2020, 71, 563–582. [Google Scholar] [CrossRef]
- Morgan He Gautam, M.; Geary, D.F. Maintenance intravenous iron therapy in pediatric hemodialysis patients. Pediatr. Neprhol. 2001, 16, 779–783. [Google Scholar] [CrossRef]
- Ambarsari, C.G.; Trihono, P.P.; Kadaristiana, A.; Rachmadi, D.; Andriastuti, M.; Puspitasari, H.A.; Tambunan, T.; PArdede, S.O.; Mangunatmadja, I.; Hidayati, E.L. Low-Dose Maintenance Intravenous Iron Therapy Can Prevent Anemia in Children with End-Stage Renal Disease Undergoing Chronic Hemodialysis. Int. J. Nephrol. 2020, 3067453. [Google Scholar] [CrossRef]
- Butragueno-Laiseca, L.; de la Mata Navazo, S.; Sanchez Galindo, A.C.; Santiago Lozano, M.J. Intravenous iron for critically ill children. Comparison of three dose regimens. Pediatr. Blood Cancer. 2024, 71, e30734. [Google Scholar] [CrossRef]
- Bircher, A.J.; Auerbach, M. Hypersensitivity from intravenous iron products. Immunol. Allergy Clin. N. Am. 2014, 34, 707–723. [Google Scholar] [CrossRef]
- Dave, C.V.; Brittenham, G.M.; Carson, J.L.; Setoguchi, S. Risks for Anaphylaxis with Intravenous Iron Formulations: A Retrospective Cohort Study. Ann. Intern. Med. 2022, 175, 656–664. [Google Scholar] [CrossRef]
- Hassan, N.; Reischman, D.; Lyon, J.; Jacobs, C.; Sterken, D.; Boville, B. Intravenous sodium ferric gluconate complex for pediatric inpatients with iron deficiency anemia or after acute blood loss. J. Pediatr. Neonatal Care 2022, 12, 5–10. [Google Scholar] [CrossRef]
- Hassan, N.; Boville, B.; Reischmann, D.; Ndika, A.; Sterken, D.; Kovey, K. Intravenous Ferumoxytol in Pediatric Patients with Iron Deficiency Anemia. Ann. Pharmacother. 2017, 51, 548–554. [Google Scholar] [CrossRef]
- Pollack, M.M.; Dean, J.M.; Butler, J.; Holubkov, R.; Doctor, A.; Meert, K.L.; Newth, C.J.; Berg, R.A.; Moler, F.; Dalton, H.; et al. The ideal time interval for critical care severity-of-illness assessment. Pediatr. Crit. Care Med. 2013, 14, 448–453. [Google Scholar] [CrossRef]
- Pollack, M.M.; Ruttimann, U.E.; Getson, P.R. Pediatric risk of mortality (PRISM) score. Crit. Care Med. 1988, 16, 1110–1116. [Google Scholar] [CrossRef]
- Pollack, M.M.; Patel, K.M.; Ruttimann, U.E. PRISM III: An updated Pediatric Risk of Mortality score. Crit. Care Med. 1996, 24, 743–752. [Google Scholar] [CrossRef]
- Baker, R.D.; Greer, F.R.; Committee on Nutrition American Academy of Pediatrics. Diagnosis and prevention of iron deficiency and iron-deficiency anemia in infants and young children (0–3 years of age). Pediatrics 2010, 126, 1040–1050. [Google Scholar] [CrossRef]
- Dignass, A.U.; Gasche, C.; Bettenworth, D.; Birgegård, G.; Danese, S.; Gisbert, J.P.; Gomollon, F.; Iqbal, T.; Katsanos, K.; Koutroubakis, I.; et al. European consensus on the diagnosis and management of iron deficiency and anaemia in inflammatory bowel diseases. J. Crohn′s Colitis 2015, 9, 211–222. [Google Scholar] [CrossRef]
- Plummer, E.S.; Crary, S.E.; McCavit, T.L.; Buchanan, G.R. Intravenous low molecular weight iron dextran in children with iron deficiency anemia unresponsive to oral iron. Pediatr. Blood Cancer 2013, 60, 1747–1752. [Google Scholar] [CrossRef]
- Boucher, A.A.; Pfeiffer, A.; Bedel, A.; Young, J.; McGann, P.T. Utilization trends and safety of intravenous iron replacement in pediatric specialty care: A large retrospective cohort study. Pediatr. Blood Cancer 2018, 65, e26995. [Google Scholar] [CrossRef]
- Pizzi, L.T.; Bunz, T.J.; Coyne, D.W.; Goldfarb, D.S.; Singh, A.K. Ferric gluconate treatment provides cost savings in patients with high ferritin and low transferrin saturation. Kidney Int. 2008, 74, 1588–1595. [Google Scholar] [CrossRef][Green Version]




| Characteristic/Outcome | Overall (N = 85) | <3 Doses (n = 19) | 3 Doses (n = 49) | >3 Doses (n = 17) | p-Values |
|---|---|---|---|---|---|
| Age, months | 49 [9, 158] | 108 [12, 185] | 46 [8, 147] | 47 [7, 123] | 0.2584 |
| Gender, male | 38 (44.7) | 4 (21.1) | 26 (53.1) | 8 (47.06) | 0.0572 |
| Weight, kg | 16.5 [7.2, 37.8] | 17.9 [8.3, 48.3] | 15.8 [7.0, 36.6] | 17.5 [7.1, 30.3] | 0.6246 |
| Ethnicity | 1.0000 | ||||
| Non-Hispanic/Unknown | 75 (88.2) | 17 (89.5) | 43 (87.8) | 15 (88.2) | |
| Hispanic | 10 (11.8) | 2 (10.5) | 6 (12.2) | 2 (11.8) | |
| Admission | 0.17931 | ||||
| General Pediatrics | 31 (36.4) | 10 (52.6) | 17 (34.7) | 4 (23.5) | |
| Pediatric Intensive Care Unit | 54 (63.5) | 9 (47.4) | 32 (65.3) | 13 (76.5) | |
| PRISM III Score * | 5.0 [1.0, 10.0] | 5.0 [5.0, 9.0] | 4.0 [0.0, 10.0] | 5.0 [1.0, 14.0] | 0.8317 |
| n = 9 | n = 31 | n = 13 | |||
| Indications for SFGC | 0.0817 | ||||
| Acute Blood Loss | 23 (27.1) | 3 (15.8) | 12 (24.5) | 9 (52.9) | |
| Chronic Blood Loss | 6 (7.1) | 0 (0) | 5 (10.2) | 0 (0) | |
| Malabsorption/Nutritional | 28 (32.9) | 6 (31.6) | 7 (14.3) | 1 (5.9) | |
| Bone Marrow Suppression | 28 (32.9) | 10 (62.6) | 25 (51.0) | 7 (41.2) | |
| Received Epoetin | 41 (48.2) | 7 (36.8) | 23 (46.9) | 11 (64.7) | 0.2384 |
| Length of Stay, days | 13.0 [5.3, 24.7] | 9.3 [3.0, 20.8] | 10.4 [5.2, 20.8] | 24.5 [20.0, 35.7] | 0.0006 |
| Time from Admission to first Dose, hours | 90.7 [36.0, 214.0] | 73.3 [25.0, 223.5] | 67.1 [32.7, 182.8] | 197.8 [91.8, 311.6] | 0.0711 |
| Total Blood Loss, mL | 25.6 [5.8, 112.6] | 27.5 [8.0, 100.5] | 25.0 [6.5, 78.8] | 30.0 [4.5, 144.0] | 0.8682 |
| N = 60 | n = 10 | n = 33 | n = 17 |
| Variable | Pre-Treatment (N = 85) [Mean ± SD, (n)] | 7 Days Post-Treatment (N = 85) [Mean ± SD, (n)] | 14 Days Post-Treatment (N = 85) [Mean ± SD, (n)] |
|---|---|---|---|
| Serum Hemoglobin, g/dL | 8.73 ± 1.33 (81) | 10.41 ± 1.43 (47) | 10.76 ± 1.59 (40) |
| MCV, fL | 81.16 ± 7.56 (81) | 84.32 ± 7.08 (47) | 83.65 ± 7.58 (40) |
| Ferritin, mcg/L | 140.47 ± 144.62 (76) | 319.84 ± 242.04 (39) | 356.19 ± 349.66 (16) |
| Serum Iron, mcg/dL | 23.94 ± 22.23 (78) | 62.35 ± 42.86 (37) | 70.35 ± 36.04 (17) |
| TIBC, mcg/dL | 245.32 ± 111.02 (78) | 280.16 ± 84.26 (38) | 292.65 ± 75.67 (17) |
| CRP, mg/L | 61.66 ± 69.40 (34) | 24.09 ± 43.62 (15) | 11.13 ± 16.74 (20) |
| Reticulocytes, % | 2.43 ± 1.87 (77) | 4.77 ± 3.59 (39) | 1.95 ± 1.13 (13) |
| Reticulocyte Hgb, pg | 23.05 ± 5.63 (76) | 26.75 ± 4.37 (36) | 28.32 ± 5.81 (13) |
| Variable | Pearsons Correlation Coefficient | p-Value |
|---|---|---|
| Serum Hemoglobin, g/dL | −0.17781 | 0.2482 |
| MCV, fL | 0.33262 | 0.0256 |
| Ferritin, mcg/L | 0.08861 | 0.6127 |
| Serum Iron, mcg/dL | −0.04321 | 0.8083 |
| TIBC, mcg/dL | −0.19297 | 0.2667 |
| CRP, mg/L | −0.00158 | 0.9963 |
| Reticulocytes, % | 0.07438 | 0.6527 |
| Reticulocyte Hemoglobin, pg | 0.25553 | 0.1325 |
| Characteristic | Overall (N = 85) | <3 Doses (n = 19) | 3 Doses (n = 49) | >3 Doses (n = 17) | p-Values |
|---|---|---|---|---|---|
| Patients who received RBC, number (%) | 44 (51.8) | 6 (31.6) | 28 (57.1) | 10 (58.8) | 0.1348 |
| Total RBC transfused, mL, Median [IQR] | 231 [76, 403] | 325 [236, 494] | 159 [62, 305] | 372 [173, 530] | 0.1221 |
| Variable | Pearsons Correlation Coefficient | p-Value |
|---|---|---|
| RBC Transfusion Received, mL × Cumulative dose SFGC | 0.17511 | 0.2556 |
Disclaimer/Publisher’s Note: The statements, opinions and data contained in all publications are solely those of the individual author(s) and contributor(s) and not of MDPI and/or the editor(s). MDPI and/or the editor(s) disclaim responsibility for any injury to people or property resulting from any ideas, methods, instructions or products referred to in the content. |
© 2025 by the authors. Licensee MDPI, Basel, Switzerland. This article is an open access article distributed under the terms and conditions of the Creative Commons Attribution (CC BY) license (https://creativecommons.org/licenses/by/4.0/).
Share and Cite
White, F.; Polakowski, N.; Merlington, E.; Leimanis, M.; Dudick, B.; Parker, J.; Jousma, A.; Loji, A.; Hanson, J.; Arney, M.; et al. Intravenous Sodium Ferric Gluconate Complex for Hospitalized Pediatric Patients with Iron Deficiency Anemia. Children 2025, 12, 189. https://doi.org/10.3390/children12020189
White F, Polakowski N, Merlington E, Leimanis M, Dudick B, Parker J, Jousma A, Loji A, Hanson J, Arney M, et al. Intravenous Sodium Ferric Gluconate Complex for Hospitalized Pediatric Patients with Iron Deficiency Anemia. Children. 2025; 12(2):189. https://doi.org/10.3390/children12020189
Chicago/Turabian StyleWhite, Felicia, Noelle Polakowski, Elena Merlington, Mara Leimanis, Brooke Dudick, Jessica Parker, Ashley Jousma, Alexander Loji, Jeffrey Hanson, Monica Arney, and et al. 2025. "Intravenous Sodium Ferric Gluconate Complex for Hospitalized Pediatric Patients with Iron Deficiency Anemia" Children 12, no. 2: 189. https://doi.org/10.3390/children12020189
APA StyleWhite, F., Polakowski, N., Merlington, E., Leimanis, M., Dudick, B., Parker, J., Jousma, A., Loji, A., Hanson, J., Arney, M., & Boville, B. (2025). Intravenous Sodium Ferric Gluconate Complex for Hospitalized Pediatric Patients with Iron Deficiency Anemia. Children, 12(2), 189. https://doi.org/10.3390/children12020189

