Sex-Specific Associations Between 2D:4D Digit Ratio and Physical Fitness in Prepubertal Children: Evidence from Standardized Agility, Strength, and Endurance Assessments
Abstract
Highlights
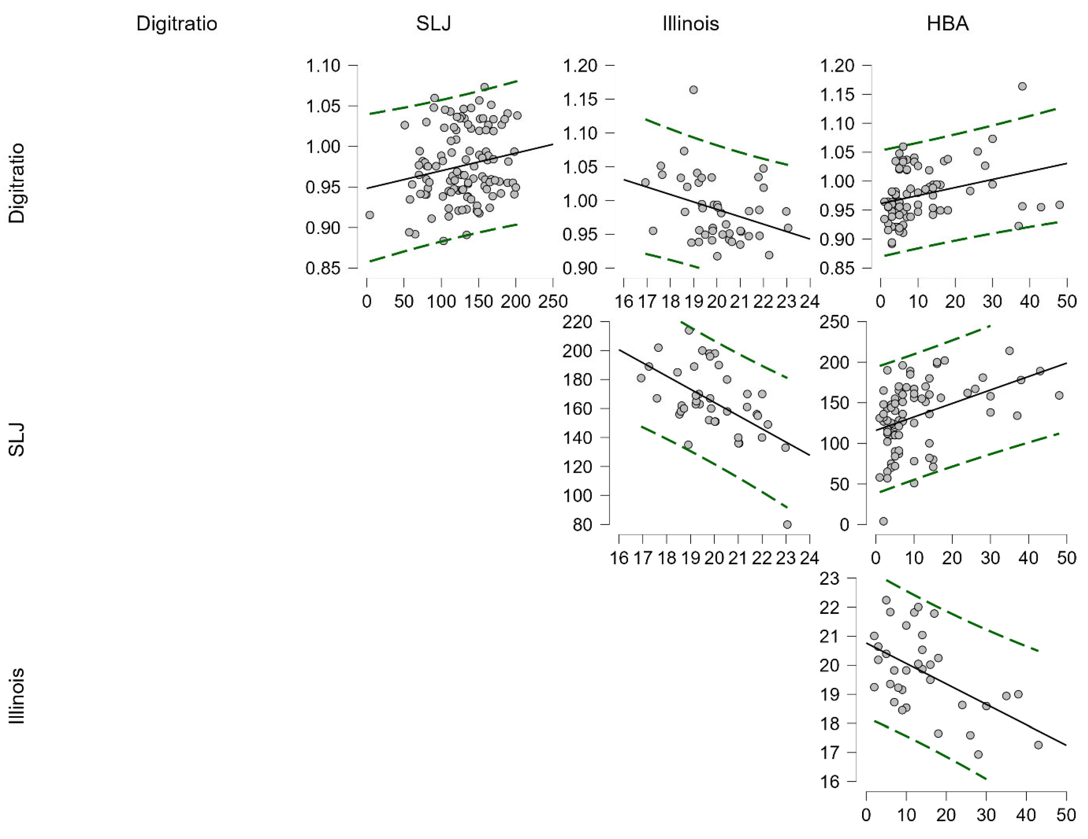
- In boys, higher 2D:4D ratios were modestly linked to better bent-arm hang performance and faster agility times.
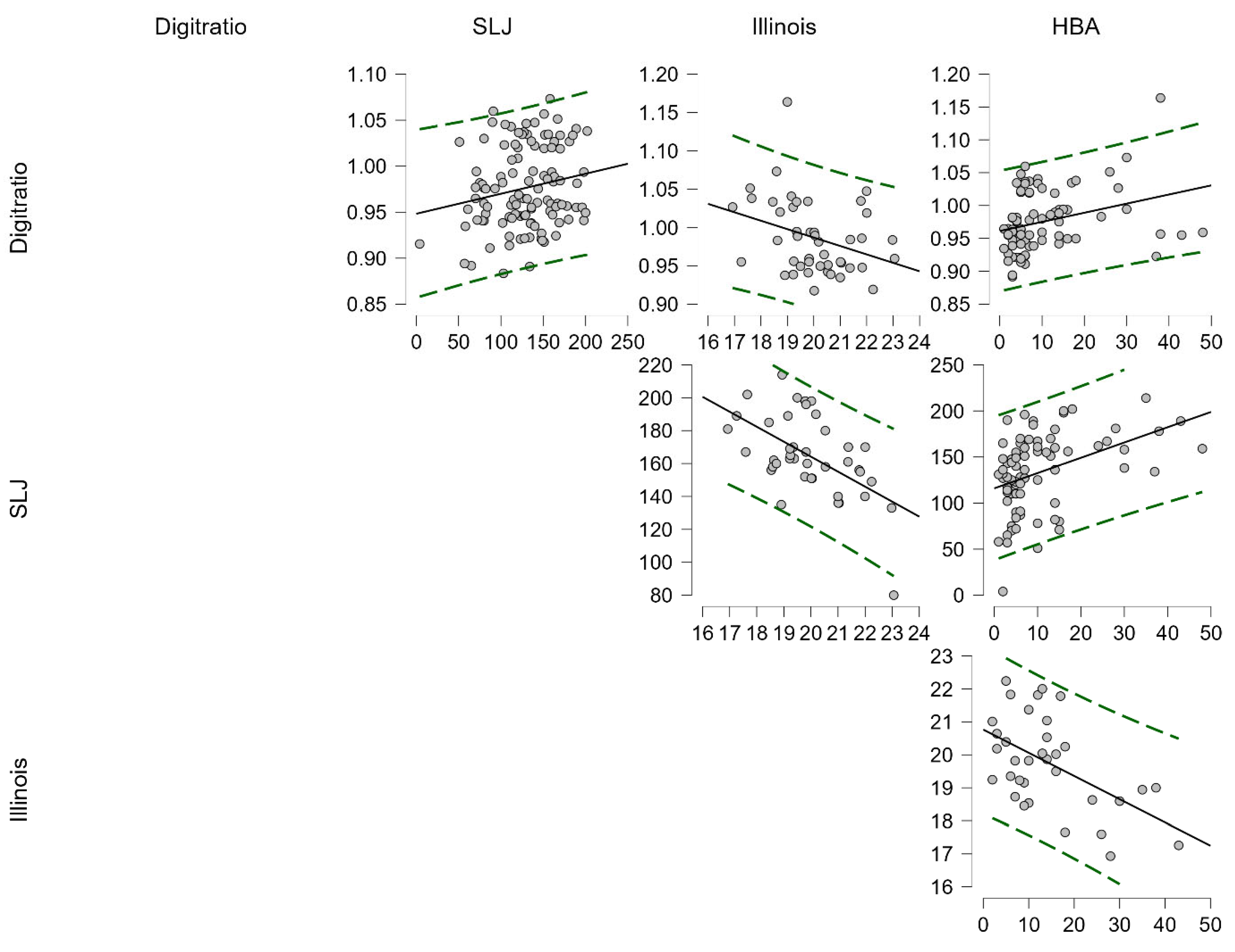
- No significant associations were found in girls, highlighting the subtle sex-specific influences of prenatal hormones on childhood fitness.
- Prenatal hormonal environment may contribute subtly to physical performance traits in early childhood.
- These associations are not strong enough for talent identification but may guide future longitudinal and developmental research.
Abstract
1. Introduction
2. Materials and Methods
2.1. Research Design & Participants
2.2. Procedure
2.3. Data Collections
2.4. Statistical Analysis
3. Results
4. Discussion
5. Conclusions
Author Contributions
Funding
Institutional Review Board Statement
Informed Consent Statement
Data Availability Statement
Acknowledgments
Conflicts of Interest
References
- Manning, J.; Kilduff, L.; Cook, C.; Crewther, B.; Fink, B. Digit Ratio (2D:4D): A Biomarker for Prenatal Sex Steroids and Adult Sex Steroids in Challenge Situations. Front. Endocrinol. 2014, 5, 9. [Google Scholar] [CrossRef] [PubMed]
- Lutchmaya, S.; Baron-Cohen, S.; Raggatt, P.; Knickmeyer, R.; Manning, J.T. 2nd to 4th Digit Ratios, Fetal Testosterone and Estradiol. Early Hum. Dev. 2004, 77, 23–28. [Google Scholar] [CrossRef]
- Manning, J.T.; Henzi, P.; Bundred, P.E. The Ratio of 2nd to 4th Digit Length: A Proxy for Testosterone, and Susceptibility to HIV and AIDS? Med. Hypotheses 2001, 57, 761–763. [Google Scholar] [CrossRef] [PubMed]
- Kurtoğlu, A.; Çiftçi, R. Relationship between 2d:4d Ratio, Handgrip Strength, and Hamstring Muscle Length in Different Sports: A Study of Volleyball, Football and Basketball Branches. Phys. Educ. Stud. 2023, 27, 17–23. [Google Scholar] [CrossRef]
- Hönekopp, J.; Schuster, M. A Meta-Analysis on 2D:4D and Athletic Prowess: Substantial Relationships but Neither Hand out-Predicts the Other. Pers. Individ. Dif. 2010, 48, 4–10. [Google Scholar] [CrossRef]
- Eklund, E.; Ekström, L.; Thörngren, J.-O.; Ericsson, M.; Berglund, B.; Hirschberg, A.L. Digit Ratio (2D:4D) and Physical Performance in Female Olympic Athletes. Front. Endocrinol. 2020, 11, 292. [Google Scholar] [CrossRef]
- Gower, B.; Russell, M.; Tomkinson, J.M.; Peterson, S.J.; Klug, M.G.; Tomkinson, G.R. The Relationship Between Digit Ratio (2D<: 4D) and Aspects of Cardiorespiratory Fitness: A Systematic Review and Meta-Analysis. Am. J. Hum. Biol. 2025, 37, e70040. [Google Scholar] [CrossRef]
- Pasanen, B.E.; Tomkinson, J.M.; Dufner, T.J.; Park, C.W.; Fitzgerald, J.S.; Tomkinson, G.R. The Relationship between Digit Ratio (2D:4D) and Muscular Fitness: A Systematic Review and Meta-analysis. Am. J. Hum. Biol. 2022, 34, e23657. [Google Scholar] [CrossRef]
- Sorokowski, P.; Kowal, M. Relationship between the 2D: 4D and Prenatal Testosterone, Adult Level Testosterone, and Testosterone Change: Meta-analysis of 54 Studies. Am. J. Biol. Anthropol. 2024, 183, 20–38. [Google Scholar] [CrossRef]
- Ranson, R.; Stratton, G.; Taylor, S.R. Digit Ratio (2D:4D) and Physical Fitness (Eurofit Test Battery) in School Children. Early Hum. Dev. 2015, 91, 327–331. [Google Scholar] [CrossRef]
- Tomkinson, G.R.; Lang, J.J.; Tremblay, M.S. Temporal Trends in the Cardiorespiratory Fitness of Children and Adolescents Representing 19 High-Income and Upper Middle-Income Countries between 1981 and 2014. Br. J. Sports Med. 2019, 53, 478–486. [Google Scholar] [CrossRef] [PubMed]
- Crewther, B.T.; Pastuszak, A.; Sadowska, D.; Górski, M.; Cook, C.J. The Digit Ratio (2D:4D) and Testosterone Co-Predict Vertical Jump Performance in Athletic Boys: Evidence of Organizational and Activational Effects of Testosterone on Physical Fitness. Physiol. Behav. 2022, 251, 113816. [Google Scholar] [CrossRef]
- Nobari, H.; Eken, Ö.; Prieto-González, P.; Oliveira, R.; Brito, J.P. Association between 2D:4D Ratios and Sprinting, Change of Direction Ability, Aerobic Fitness, and Cumulative Workloads in Elite Youth Soccer Players. BMC Sports Sci. Med. Rehabil. 2023, 15, 45. [Google Scholar] [CrossRef]
- Azam, Z.; Zainuddin, Z.A.; Zulkiflee, F.N.B.; Sanuddin, N.D.B.; Kosni, N.A.B.; Razak, F.A.B. Relationship Between Digit Ratio (2D:4D) and Anaerobic-Based Physical Fitness Tests in Children. In International Conference on Movement, Health and Exercise; Springer Nature: Singapore, 2023; pp. 211–222. [Google Scholar]
- Richards, G.; Klimek, M.; Jasienska, G.; Marcinkowska, U.M. Digit Ratio (2D:4D) and Circulating Testosterone, Oestradiol, and Progesterone Levels across the Menstrual Cycle. Early Hum. Dev. 2018, 117, 68–73. [Google Scholar] [CrossRef]
- Klimek, M.; Galbarczyk, A.; Nenko, I.; Alvarado, L.C.; Jasienska, G. Digit Ratio (2D:4D) as an Indicator of Body Size, Testosterone Concentration and Number of Children in Human Males. Ann. Hum. Biol. 2014, 41, 518–523. [Google Scholar] [CrossRef]
- Uzun, G.B.; Tok, Y. Investigating the Correlation between 2D:4D Finger Digit Ratios and Attention Gathering Skills of 60–72 Month-Old Children. Early Hum. Dev. 2023, 176, 105712. [Google Scholar] [CrossRef]
- Alimoradi, M.; Sahebozamani, M.; Hosseini, E.; Konrad, A.; Noorian, S. The Effect on Flexibility and a Variety of Performance Tests of the Addition of 4 Weeks of Soleus Stretching to a Regular Dynamic Stretching Routine in Amateur Female Soccer Players. Sports 2023, 11, 138. [Google Scholar] [CrossRef] [PubMed]
- Rozenek, R.; Byrne, J.J.; Crussemeyer, J.; Garhammer, J. Male-Female Differences in Push-up Test Performance at Various Cadences. J. Strength. Cond. Res. 2022, 36, 3324–3329. [Google Scholar] [CrossRef]
- Bianco, A.; Lupo, C.; Alesi, M.; Spina, S.; Raccuglia, M.; Thomas, E.; Paoli, A.; Palma, A. The Sit up Test to Exhaustion as a Test for Muscular Endurance Evaluation. Springerplus 2015, 4, 309. [Google Scholar] [CrossRef] [PubMed]
- Gupta, S.; Baron, J.; Bieniec, A.; Swinarew, A.; Stanula, A. Relationship between Vertical Jump Tests and Ice-Skating Performance in Junior Polish Ice Hockey Players. Biol. Sport 2023, 40, 225–232. [Google Scholar] [CrossRef]
- Zhou, H.; Yu, P.; Thirupathi, A.; Liang, M. How to Improve the Standing Long Jump Performance? A Mininarrative Review. Appl. Bionics Biomech. 2020, 2020, 1–5. [Google Scholar] [CrossRef] [PubMed]
- Grgic, J. Test–Retest Reliability of the EUROFIT Test Battery: A Review. Sport. Sci. Health 2023, 19, 381–388. [Google Scholar] [CrossRef]
- Zieliński, G. Effect Size Guidelines for Individual and Group Differences in Physiotherapy. Arch. Phys. Med. Rehabil. 2025. [Google Scholar] [CrossRef]
- Kobus, M.; Sitek, A.; Rosset, I.; Pruszkowska–Przybylska, P.; Żądzińska, E. Association of Prenatal Sex Steroid Exposure Estimated by the Digit Ratio (2D:4D) with Birth Weight, BMI and Muscle Strength in 6- to 13-Year-Old Polish Children. PLoS ONE 2021, 16, e0258179. [Google Scholar] [CrossRef]
- Payne, V.G.; Isaacs, L.D. Human Motor Development; Routledge: New York, NY, USA, 2024; ISBN 9781032697147. [Google Scholar]
- Živković, M.; Stojiljković, N.; Trajković, N.; Stojanović, N.; Đošić, A.; Antić, V.; Stanković, N. Speed, Change of Direction Speed, and Lower Body Power in Young Athletes and Nonathletes According to Maturity Stage. Children 2022, 9, 242. [Google Scholar] [CrossRef]
- Morral-Yepes, M.; Gonzalo-Skok, O.; Dos´Santos, T.; Moras Feliu, G. Are Change of Direction Speed and Agility Different Abilities from Time and Coordinative Perspectives? PLoS ONE 2023, 18, e0295405. [Google Scholar] [CrossRef]
- Jürimäe, T.; Voracek, M.; Jürimäe, J.; Lätt, E.; Haljaste, K.; Saar, M.; Purge, P. Relationships between Finger-Length Ratios, Ghrelin, Leptin, IGF Axis, and Sex Steroids in Young Male and Female Swimmers. Eur. J. Appl. Physiol. 2008, 104, 523–529. [Google Scholar] [CrossRef]
- Rædergård, H.G.; Falch, H.N.; Tillaar, R.v.d. Effects of Strength vs. Plyometric Training on Change of Direction Performance in Experienced Soccer Players. Sports 2020, 8, 144. [Google Scholar] [CrossRef]
- Chaabene, H.; Prieske, O.; Moran, J.; Negra, Y.; Attia, A.; Granacher, U. Effects of Resistance Training on Change-of-Direction Speed in Youth and Young Physically Active and Athletic Adults: A Systematic Review with Meta-Analysis. Sports Med. 2020, 50, 1483–1499. [Google Scholar] [CrossRef]
- Behringer, M.; Vom Heede, A.; Yue, Z.; Mester, J. Effects of Resistance Training in Children and Adolescents: A Meta-Analysis. Pediatrics 2010, 126, e1199–e1210. [Google Scholar] [CrossRef] [PubMed]
- Lesinski, M.; Prieske, O.; Granacher, U. Effects and Dose-Response Relationships of Resistance Training on Physical Performance in Youth Athletes: A Systematic Review and Meta-Analysis. Br. J. Sports Med. 2016, 50, 781–795. [Google Scholar] [CrossRef] [PubMed]
- Vestberg, T.; Reinebo, G.; Maurex, L.; Ingvar, M.; Petrovic, P. Core Executive Functions Are Associated with Success in Young Elite Soccer Players. PLoS ONE 2017, 12, e0170845. [Google Scholar] [CrossRef] [PubMed]
- Barnett, L.M.; Lai, S.K.; Veldman, S.L.C.; Hardy, L.L.; Cliff, D.P.; Morgan, P.J.; Zask, A.; Lubans, D.R.; Shultz, S.P.; Ridgers, N.D.; et al. Correlates of Gross Motor Competence in Children and Adolescents: A Systematic Review and Meta-Analysis. Sports Med. 2016, 46, 1663–1688. [Google Scholar] [CrossRef] [PubMed]

| Parameters | Boys n = 157 | Girls n = 181 | p-Value | ES | %95 CI | |
|---|---|---|---|---|---|---|
| Lower | Upper | |||||
| Age (year) | 6.52 ± 4.40 | 6.38 ± 4.17 | 0.766 | 0.033 (small) | −0.78 | 1.06 |
| Weight (kg) | 31.40 ± 13.75 | 33.71 ± 40.03 | 0.505 | −0.075 (small) | −9.10 | 4.48 |
| Height (cm) | 131.35 ± 18.90 | 129.37 ± 15.51 | 0.309 | 0.116 (small) | −1.78 | 5.75 |
| BMI (kg/m2) | 17.32 ± 2.92 | 17.13 ± 2.97 | 0.576 | 0.06 (small) | −0.46 | 0.83 |
| 2D (cm) | 5.36 ± 0.81 | 5.30 ± 0.74 | 0.512 | 0.074 (small) | −0.11 | 0.23 |
| 4D (cm) | 5.50 ± 0.83 | 5.40 ± 0.77 | 0.303 | 0.115 (small) | −0.08 | 0.26 |
| 2D:4D | 0.97 ± 0.05 | 0.98 ± 0.05 | 0.272 | −0.123 (small) | −0.01 | 0.005 |
| 20 m Sprint (s) | 4.40 ± 0.73 | 4.81 ± 0.96 | <0.001 | −0.471 (medium) | −0.63 | −0.18 |
| SR (cm) | 18.55 ± 6.44 | 23.45 ± 6.41 | <0.001 | −0.762 (large) | −6.49 | −3.31 |
| Push-up (rep) | 7.68 ± 7.92 | 5.35 ± 5.90 | 0.031 | 0.334 (medium) | 0.21 | 4.44 |
| Sit-up (rep) | 27.04 ± 27.05 | 19.33 ± 14.30 | 0.009 | 0.368 (medium) | 2.34 | 13.07 |
| SLJ (cm) | 129.30 ± 39.05 | 121.84 ± 30.76 | 0.095 | 0.214 (medium) | −1.14 | 16.06 |
| VJ (cm) | 21.62 ± 10.14 | 20.46 ± 7.11 | 0.283 | 0.135 (small) | −0.96 | 3.29 |
| Illinois (s) | 19.98 ± 1.42 | 22.10 ± 7.11 | <0.001 | −1.116 (large) | −2.89 | −1.35 |
| HBA (s) | 10.64 ± 10.43 | 9.12 ± 9.08 | 0.290 | 0.157 (small) | −1.31 | 4.36 |
| Parameters | Digit Ratio | 20 m Sprint | SR | Push Up | Sit Up | SLJ | VJ | Illinois | HBA |
|---|---|---|---|---|---|---|---|---|---|
| Digit Ratio | 1 | ||||||||
| 20 m Sprint | r = −0.028 p = 0.784 | 1 | |||||||
| SR | r = −0.093 p = 0.333 | r = 0.078 p = 0.501 | 1 | ||||||
| Push Up | r = −0.034 p = 0.771 | r = −0.333 p = 0.006 | r = 0.239 p = 0.034 | 1 | |||||
| Sit Up | r = 0.086 p = 0.393 | r = −0.435 p =< 0.001 | r = 0.016 p = 0.875 | r = 0.469 p =< 0.001 | 1 | ||||
| SLJ | r = 0.191 p = 0.044 | r = −0.725 p =< 0.001 | r = −0.032 p = 0.736 | r = 0.277 p = 0.012 | r = 0.454 p =< 0.001 | 1 | |||
| VJ | r = 0.106 p = 0.268 | r = −0.649 p =< 0.001 | r = −0.244 p = 0.009 | r = 0.138 p = 0.221 | r = 0.320 p = 0.001 | r = 0.788 p =< 0.001 | 1 | ||
| Illinois | r = −0.326 p = 0.029 | r = 0.718 p =< 0.001 | r = −0.205 p = 0.210 | r = −0.362 p = 0.033 | r = −0.216 p = 0.174 | r = −0.553 p =< 0.001 | r = −0.353 p = 0.023 | 1 | |
| HBA | r = 0.304 p = 0.007 | r = −0.483 p =< 0.001 | r = 0.081 p = 0.479 | r = 0.565 p =< 0.001 | r = 0.385 p = 0.001 | r = 0.408 p =< 0.001 | r = 0.387 p = 0.001 | r = −0.529 p = 0.001 | 1 |
| Parameters | Digit Ratio | 20 m Sprint | SR | Push Up | Sit Up | SLJ | VJ | Illinois | HBA |
|---|---|---|---|---|---|---|---|---|---|
| Digit Ratio | 1 | ||||||||
| 20m Sprint | r = 0.053 p = 0.572 | 1 | |||||||
| SR | r = −0.040 p = 0.648 | r = −0.278 p = 0.007 | 1 | ||||||
| Push Up | r = −0.072 p = 0.521 | r = −0.281 p = 0.020 | r = 0.163 p = 0.133 | 1 | |||||
| Sit Up | r = 0.080 p = 0.375 | r = −0.504 p =< 0.001 | r = 0.207 p = 0.017 | r = 0.438 p =< 0.001 | 1 | ||||
| SLJ | r = 0.115 p = 0.192 | r = −0.665 p =< 0.001 | r = 0.271 p = 0.001 | r = 0.259 p = 0.017 | r = 0.604 p =< 0.001 | 1 | |||
| VJ | r = 0.047 p = 0.592 | r = −0.651 p =< 0.001 | r = 0.211 p = 0.013 | r = 0.129 p = 0.235 | r = 0.437 p =< 0.001 | r = 0.710 p =< 0.001 | 1 | ||
| Illinois | r = 0.189 p = 0.219 | r = 0.699 p =< 0.001 | r = −0.401 p = 0.007 | r = −0.358 p = 0.044 | r = −0.405 p = 0.006 | r = −0.585 p =< 0.001 | r = −0.542 p =< 0.001 | 1 | |
| HBA | r = 0.077 p = 0.463 | r = −0.296 p = 0.013 | r = 0.340 p = 0.001 | r = 0.675 p =< 0.001 | r = 0.445 p =< 0.001 | r = 0.371 p =< 0.001 | r = 0.297 p = 0.003 | r = −0.330 p = 0.086 | 1 |
Disclaimer/Publisher’s Note: The statements, opinions and data contained in all publications are solely those of the individual author(s) and contributor(s) and not of MDPI and/or the editor(s). MDPI and/or the editor(s) disclaim responsibility for any injury to people or property resulting from any ideas, methods, instructions or products referred to in the content. |
© 2025 by the authors. Licensee MDPI, Basel, Switzerland. This article is an open access article distributed under the terms and conditions of the Creative Commons Attribution (CC BY) license (https://creativecommons.org/licenses/by/4.0/).
Share and Cite
Akgül, F.; Kurtoğlu, A.; Çiftçi, R.; Eken, Ö.; Çar, B.; Şanal, A.; Aldhahi, M.I. Sex-Specific Associations Between 2D:4D Digit Ratio and Physical Fitness in Prepubertal Children: Evidence from Standardized Agility, Strength, and Endurance Assessments. Children 2025, 12, 1391. https://doi.org/10.3390/children12101391
Akgül F, Kurtoğlu A, Çiftçi R, Eken Ö, Çar B, Şanal A, Aldhahi MI. Sex-Specific Associations Between 2D:4D Digit Ratio and Physical Fitness in Prepubertal Children: Evidence from Standardized Agility, Strength, and Endurance Assessments. Children. 2025; 12(10):1391. https://doi.org/10.3390/children12101391
Chicago/Turabian StyleAkgül, Fatih, Ahmet Kurtoğlu, Rukiye Çiftçi, Özgür Eken, Bekir Çar, Alperen Şanal, and Monira I. Aldhahi. 2025. "Sex-Specific Associations Between 2D:4D Digit Ratio and Physical Fitness in Prepubertal Children: Evidence from Standardized Agility, Strength, and Endurance Assessments" Children 12, no. 10: 1391. https://doi.org/10.3390/children12101391
APA StyleAkgül, F., Kurtoğlu, A., Çiftçi, R., Eken, Ö., Çar, B., Şanal, A., & Aldhahi, M. I. (2025). Sex-Specific Associations Between 2D:4D Digit Ratio and Physical Fitness in Prepubertal Children: Evidence from Standardized Agility, Strength, and Endurance Assessments. Children, 12(10), 1391. https://doi.org/10.3390/children12101391

