Cross-Sectional Analysis of IL-6, TNF-α, Adiponectin, Leptin, and Klotho Serum Levels in Relation to BMI Among Overweight and Obese Children Aged 10–14 in La Rioja, Spain
Abstract
1. Introduction
2. Material and Methods
2.1. Ethical Committee
2.2. Study Design
2.3. Patient Selection Criteria
2.4. Biochemical Data
2.5. Statistical Analysis
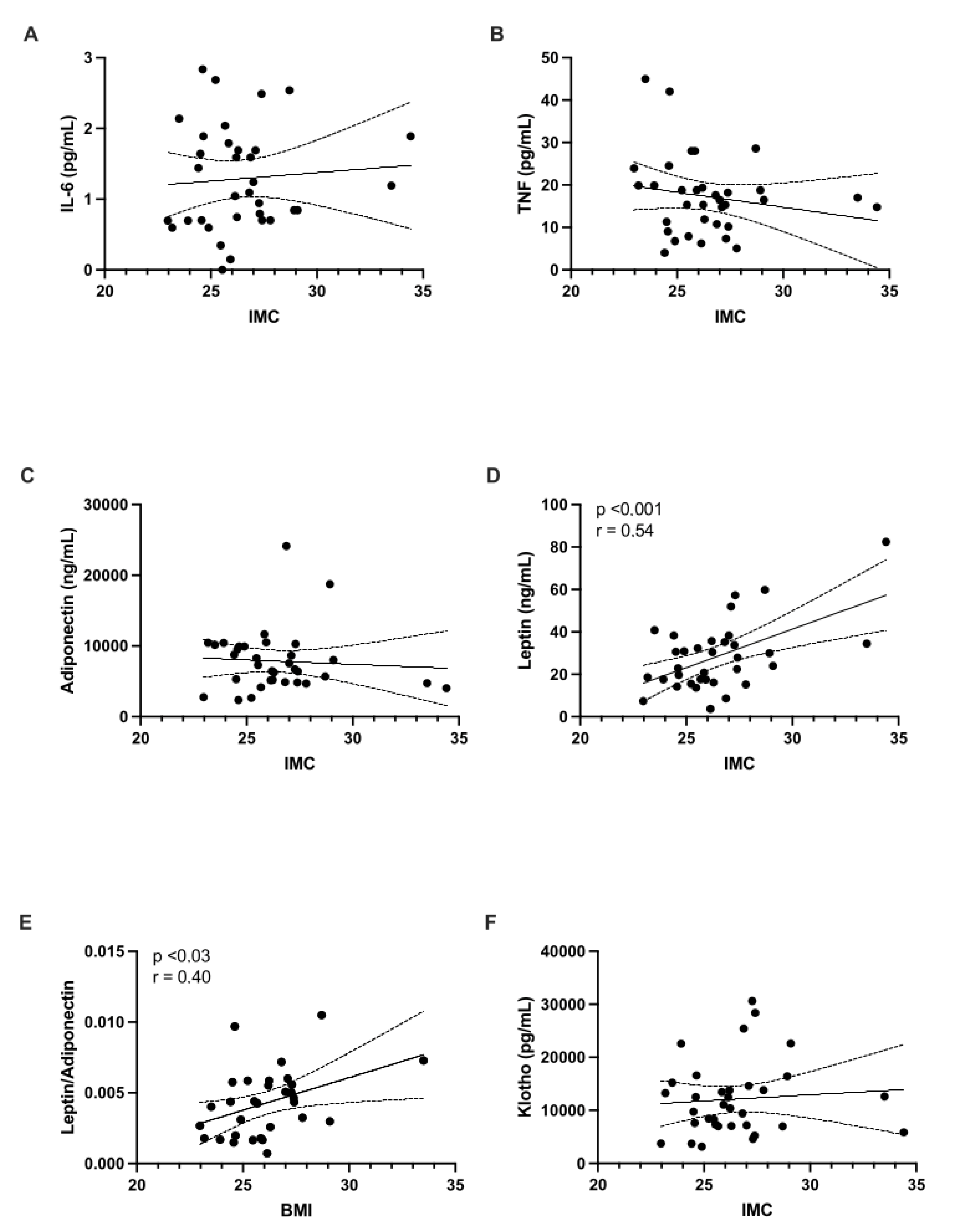
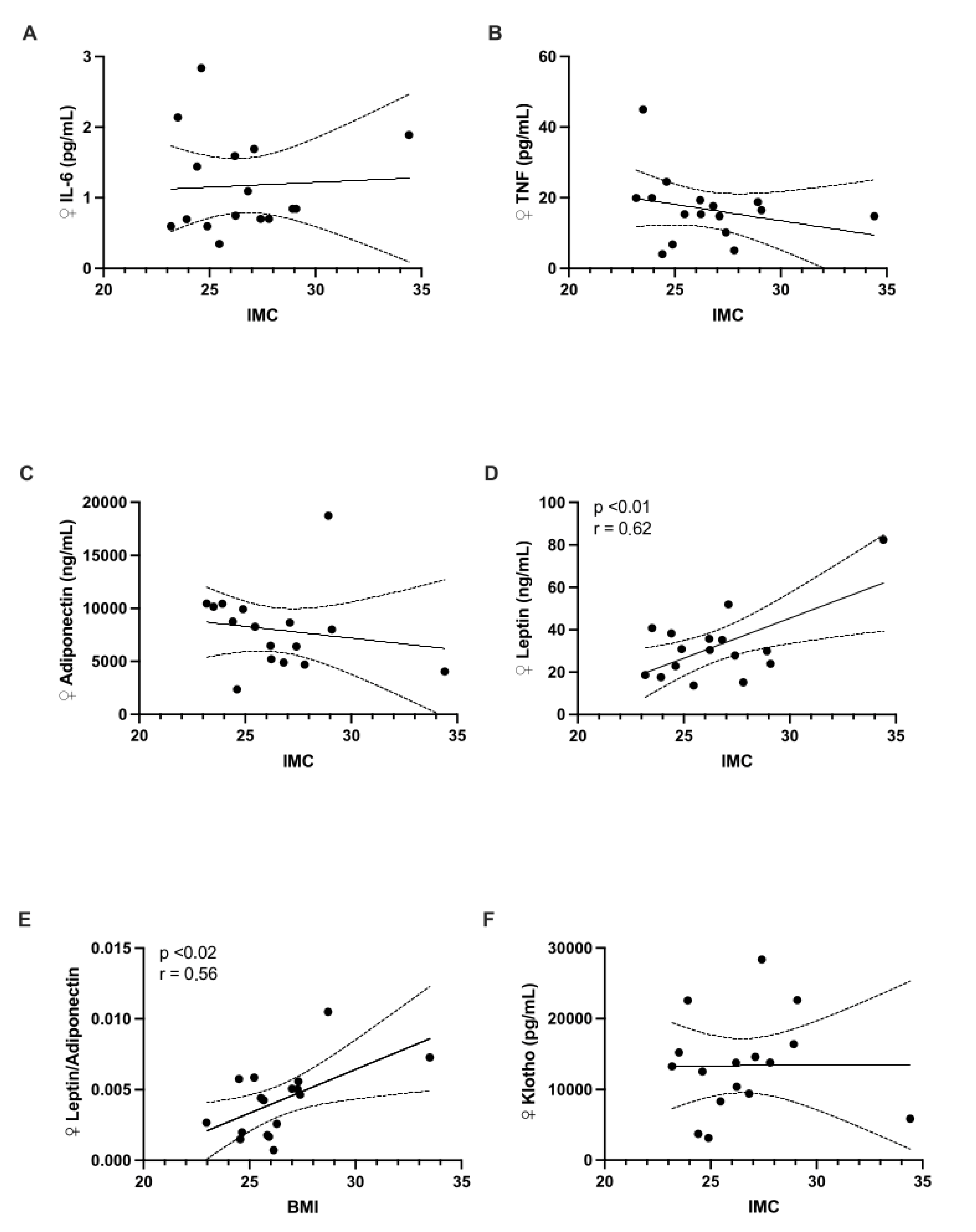
3. Results
4. Discussion
Supplementary Materials
Author Contributions
Funding
Institutional Review Board Statement
Informed Consent Statement
Data Availability Statement
Conflicts of Interest
References
- Ng, M.; Fleming, T.; Robinson, M.; Thomson, B.; Graetz, N.; Margono, C.; Mullany, E.C.; Biryukov, S.; Abbafati, C.; Abera, S.F.; et al. Global, regional, and national prevalence of overweight and obesity in children and adults during 1980–2013: A systematic analysis for the Global Burden of Disease Study 2013. Lancet 2014, 384, 766–781. [Google Scholar] [CrossRef] [PubMed]
- Collaborators, G.B.D.O.; Afshin, A.; Forouzanfar, M.H.; Reitsma, M.B.; Sur, P.; Estep, K.; Lee, A.; Marczak, L.; Mokdad, A.H.; Moradi-Lakeh, M.; et al. Health Effects of Overweight and Obesity in 195 Countries over 25 Years. N. Engl. J. Med. 2017, 377, 13–27. [Google Scholar] [CrossRef] [PubMed]
- World Obesity. Global Atlas on Childhood Obesity. Available online: https://s3-eu-west-1.amazonaws.com/wof-files/11996_Childhood_Obesity_Atlas_Report_ART_V2.pdf (accessed on 19 May 2024).
- Zhang, X.; Liu, J.; Ni, Y.; Yi, C.; Fang, Y.; Ning, Q.; Shen, B.; Zhang, K.; Liu, Y.; Yang, L.; et al. Global Prevalence of Overweight and Obesity in Children and Adolescents: A Systematic Review and Meta-Analysis. JAMA Pediatr. 2024, 178, 800–813. [Google Scholar] [CrossRef] [PubMed]
- Yumuk, V.; Tsigos, C.; Fried, M.; Schindler, K.; Busetto, L.; Micic, D.; Toplak, H.; Obesity Management Task Force of the European Association for the Study of Obesity. European Guidelines for Obesity Management in Adults. Obes. Facts 2015, 8, 402–424. [Google Scholar] [CrossRef] [PubMed]
- Sahoo, K.; Sahoo, B.; Choudhury, A.K.; Sofi, N.Y.; Kumar, R.; Bhadoria, A.S. Childhood obesity: Causes and consequences. J. Family Med. Prim. Care 2015, 4, 187–192. [Google Scholar] [CrossRef]
- Wang, Y.; Lim, H. The global childhood obesity epidemic and the association between socio-economic status and childhood obesity. Int. Rev. Psychiatry 2012, 24, 176–188. [Google Scholar] [CrossRef]
- Ling, J.; Chen, S.; Zahry, N.R.; Kao, T.A. Economic burden of childhood overweight and obesity: A systematic review and meta-analysis. Obes. Rev. 2023, 24, e13535. [Google Scholar] [CrossRef]
- Stroescu, R.F.; Marginean, O.; Bizerea, T.; Gafencu, M.; Voicu, A.; Doros, G. Adiponectin, leptin and high sensitivity C-reactive protein values in obese children—Important markers for metabolic syndrome? J. Pediatr. Endocrinol. Metab. 2019, 32, 27–31. [Google Scholar] [CrossRef]
- Srikanthan, K.; Feyh, A.; Visweshwar, H.; Shapiro, J.I.; Sodhi, K. Systematic Review of Metabolic Syndrome Biomarkers: A Panel for Early Detection, Management, and Risk Stratification in the West Virginian Population. Int. J. Med. Sci. 2016, 13, 25–38. [Google Scholar] [CrossRef]
- Kapiotis, S.; Holzer, G.; Schaller, G.; Haumer, M.; Widhalm, H.; Weghuber, D.; Jilma, B.; Roggla, G.; Wolzt, M.; Widhalm, K.; et al. A proinflammatory state is detectable in obese children and is accompanied by functional and morphological vascular changes. Arterioscler. Thromb. Vasc. Biol. 2006, 26, 2541–2546. [Google Scholar] [CrossRef]
- Tam, C.S.; Clement, K.; Baur, L.A.; Tordjman, J. Obesity and low-grade inflammation: A paediatric perspective. Obes. Rev. 2010, 11, 118–126. [Google Scholar] [CrossRef] [PubMed]
- Libby, P.; Ridker, P.M.; Maseri, A. Inflammation and atherosclerosis. Circulation 2002, 105, 1135–1143. [Google Scholar] [CrossRef] [PubMed]
- Singh-Manoux, A.; Shipley, M.J.; Bell, J.A.; Canonico, M.; Elbaz, A.; Kivimaki, M. Association between inflammatory biomarkers and all-cause, cardiovascular and cancer-related mortality. CMAJ 2017, 189, E384–E390. [Google Scholar] [CrossRef] [PubMed]
- Kaptoge, S.; Seshasai, S.R.; Gao, P.; Freitag, D.F.; Butterworth, A.S.; Borglykke, A.; Di Angelantonio, E.; Gudnason, V.; Rumley, A.; Lowe, G.D.; et al. Inflammatory cytokines and risk of coronary heart disease: New prospective study and updated meta-analysis. Eur. Heart J. 2014, 35, 578–589. [Google Scholar] [CrossRef]
- Shoelson, S.E.; Herrero, L.; Naaz, A. Obesity, inflammation, and insulin resistance. Gastroenterology 2007, 132, 2169–2180. [Google Scholar] [CrossRef]
- Friedman, J.M. Leptin and the endocrine control of energy balance. Nat. Metab. 2019, 1, 754–764. [Google Scholar] [CrossRef]
- Iikuni, N.; Lam, Q.L.; Lu, L.; Matarese, G.; La Cava, A. Leptin and Inflammation. Curr. Immunol. Rev. 2008, 4, 70–79. [Google Scholar] [CrossRef]
- Heymsfield, S.B.; Greenberg, A.S.; Fujioka, K.; Dixon, R.M.; Kushner, R.; Hunt, T.; Lubina, J.A.; Patane, J.; Self, B.; Hunt, P.; et al. Recombinant leptin for weight loss in obese and lean adults: A randomized, controlled, dose-escalation trial. JAMA 1999, 282, 1568–1575. [Google Scholar] [CrossRef]
- Ahima, R.S. Revisiting leptin’s role in obesity and weight loss. J. Clin. Investig. 2008, 118, 2380–2383. [Google Scholar] [CrossRef]
- Kishida, K.; Funahashi, T.; Shimomura, I. Adiponectin as a routine clinical biomarker. Best. Pract. Res. Clin. Endocrinol. Metab. 2014, 28, 119–130. [Google Scholar] [CrossRef]
- Larsen, M.A.; Isaksen, V.T.; Moen, O.S.; Wilsgaard, L.; Remijn, M.; Paulssen, E.J.; Florholmen, J.; Goll, R. Leptin to adiponectin ratio—A surrogate biomarker for early detection of metabolic disturbances in obesity. Nutr. Metab. Cardiovasc. Dis. 2018, 28, 1114–1121. [Google Scholar] [CrossRef] [PubMed]
- Kuro-o, M.; Matsumura, Y.; Aizawa, H.; Kawaguchi, H.; Suga, T.; Utsugi, T.; Ohyama, Y.; Kurabayashi, M.; Kaname, T.; Kume, E.; et al. Mutation of the mouse klotho gene leads to a syndrome resembling ageing. Nature 1997, 390, 45–51. [Google Scholar] [CrossRef] [PubMed]
- Kurosu, H.; Yamamoto, M.; Clark, J.D.; Pastor, J.V.; Nandi, A.; Gurnani, P.; McGuinness, O.P.; Chikuda, H.; Yamaguchi, M.; Kawaguchi, H.; et al. Suppression of aging in mice by the hormone Klotho. Science 2005, 309, 1829–1833. [Google Scholar] [CrossRef] [PubMed]
- Lin, Y.; Sun, Z. In vivo pancreatic beta-cell-specific expression of antiaging gene Klotho: A novel approach for preserving beta-cells in type 2 diabetes. Diabetes 2015, 64, 1444–1458. [Google Scholar] [CrossRef]
- Rao, Z.; Landry, T.; Li, P.; Bunner, W.; Laing, B.T.; Yuan, Y.; Huang, H. Administration of alpha klotho reduces liver and adipose lipid accumulation in obese mice. Heliyon 2019, 5, e01494. [Google Scholar] [CrossRef]
- Nie, F.; Wu, D.; Du, H.; Yang, X.; Yang, M.; Pang, X.; Xu, Y. Serum klotho protein levels and their correlations with the progression of type 2 diabetes mellitus. J. Diabetes Complicat. 2017, 31, 594–598. [Google Scholar] [CrossRef]
- Socha-Banasiak, A.; Michalak, A.; Paczes, K.; Gaj, Z.; Fendler, W.; Socha, A.; Glowacka, E.; Kapka, K.; Golabek, V.; Czkwianianc, E. Klotho and fibroblast growth factors 19 and 21 serum concentrations in children and adolescents with normal body weight and obesity and their associations with metabolic parameters. BMC Pediatr. 2020, 20, 294. [Google Scholar] [CrossRef]
- Carreras-Badosa, G.; Puerto-Carranza, E.; Mas-Pares, B.; Gomez-Vilarrubla, A.; Gomez-Herrera, B.; Diaz-Roldan, F.; Riera-Perez, E.; de Zegher, F.; Ibanez, L.; Bassols, J.; et al. Higher levels of serum alpha-Klotho are longitudinally associated with less central obesity in girls experiencing weight gain. Front Endocrinol 2023, 14, 1218949. [Google Scholar] [CrossRef]
- Bravo-Saquicela, D.M.; Sabag, A.; Rezende, L.F.M.; Rey-Lopez, J.P. Has the Prevalence of Childhood Obesity in Spain Plateaued? A Systematic Review and Meta-Analysis. Int. J. Environ. Res. Public. Health 2022, 19. [Google Scholar] [CrossRef]
- Hamann, T.V.; Mork, F.C.B.; Jensen, A.K.; Jorgensen, N.R.; Heidemann, M.S.; Schou, A.J.; Molgaard, C.; Pociot, F.; Wedderkopp, N.; Johannesen, J. Reference serum percentile values of adiponectin, leptin, and adiponectin/leptin ratio in healthy Danish children and adolescents. Scand. J. Clin. Lab. Investig. 2022, 82, 267–276. [Google Scholar] [CrossRef]
- Frithioff-Bojsoe, C.; Lund, M.A.V.; Lausten-Thomsen, U.; Hedley, P.L.; Pedersen, O.; Christiansen, M.; Baker, J.L.; Hansen, T.; Holm, J.C. Leptin, adiponectin, and their ratio as markers of insulin resistance and cardiometabolic risk in childhood obesity. Pediatr. Diabetes 2020, 21, 194–202. [Google Scholar] [CrossRef] [PubMed]
- Vales-Villamarin, C.; de Dios, O.; Perez-Nadador, I.; Gavela-Perez, T.; Soriano-Guillen, L.; Garces, C. Leptin Concentrations Determine the Association between High-Sensitivity C-Reactive Protein Levels and Body Mass Index in Prepubertal Children. Nutrients 2023, 15, 2388. [Google Scholar] [CrossRef] [PubMed]
- Asayama, K.; Hayashibe, H.; Dobashi, K.; Uchida, N.; Nakane, T.; Kodera, K.; Shirahata, A.; Taniyama, M. Decrease in serum adiponectin level due to obesity and visceral fat accumulation in children. Obes. Res. 2003, 11, 1072–1079. [Google Scholar] [CrossRef] [PubMed]
- Reinehr, T.; Roth, C.; Menke, T.; Andler, W. Adiponectin before and after weight loss in obese children. J. Clin. Endocrinol. Metab. 2004, 89, 3790–3794. [Google Scholar] [CrossRef][Green Version]
- Achari, A.E.; Jain, S.K. Adiponectin, a Therapeutic Target for Obesity, Diabetes, and Endothelial Dysfunction. Int. J. Mol. Sci. 2017, 18, 1321. [Google Scholar] [CrossRef]
- Murdolo, G.; Nowotny, B.; Celi, F.; Donati, M.; Bini, V.; Papi, F.; Gornitzka, G.; Castellani, S.; Roden, M.; Falorni, A.; et al. Inflammatory adipokines, high molecular weight adiponectin, and insulin resistance: A population-based survey in prepubertal schoolchildren. PLoS ONE 2011, 6, e17264. [Google Scholar] [CrossRef]
- Kobashi, C.; Urakaze, M.; Kishida, M.; Kibayashi, E.; Kobayashi, H.; Kihara, S.; Funahashi, T.; Takata, M.; Temaru, R.; Sato, A.; et al. Adiponectin inhibits endothelial synthesis of interleukin-8. Circ. Res. 2005, 97, 1245–1252. [Google Scholar] [CrossRef]
- Del Pilar Escalona-Villasmil, C.; Leal-Montiel, J.Y.; Ortega-Fernindez, P.A.; Javier Chavez, C. Interleukin-6 and resistin in relation to anthropometric measurements in school children. Investig. Clin. 2016, 57, 143–157. [Google Scholar]
- Amitani, M.; Asakawa, A.; Amitani, H.; Kaimoto, K.; Sameshima, N.; Koyama, K.I.; Haruta, I.; Tsai, M.; Nakahara, T.; Ushikai, M.; et al. Plasma klotho levels decrease in both anorexia nervosa and obesity. Nutrition 2013, 29, 1106–1109. [Google Scholar] [CrossRef]
- U.S Department of Health and Human Services. The Belmont Report: Ethical Principles and Guidelines for the Protection of Human Subjects of Research. Office of the Secretary. 1979. Available online: https://www.hhs.gov/ohrp/regulations-and-policy/belmont-report/index.html (accessed on 10 August 2024).
- Winer, J.C.; Zern, T.L.; Taksali, S.E.; Dziura, J.; Cali, A.M.; Wollschlager, M.; Seyal, A.A.; Weiss, R.; Burgert, T.S.; Caprio, S. Adiponectin in childhood and adolescent obesity and its association with inflammatory markers and components of the metabolic syndrome. J. Clin. Endocrinol. Metab. 2006, 91, 4415–4423. [Google Scholar] [CrossRef]



| IL-6 (pg/mL) | TNF (pg/mL) | Leptin (pg/mL) | Adiponectin (ng/mL) | L/A Ratio | Klotho (pg/mL) | |
|---|---|---|---|---|---|---|
| All the samples | ||||||
| 25% Percentile | 0.70 | 10.33 | 16.85 | 4844 | 0.0019 | 7032 |
| Median | 1.14 | 15.90 | 23.92 | 6594 | 0.0043 | 10.731 |
| 75% Percentile | 1.81 | 19.20 | 34.81 | 9834 | 0.0057 | 14.758 |
| Male Only (n = 18) | ||||||
| 25% Percentile | 0.77 | 10.33 | 15.22 | 4803 | 0.0017 | 7010 |
| Median | 1.41 | 16.76 | 20.24 | 6488 | 0.0043 | 8034 |
| 75% Percentile | 1.92 | 24.97 | 33.95 | 10,030 | 0.0056 | 12,828 |
| Female Only (n = 16) | ||||||
| 25% Percentile | 0.69 | 11.33 | 15.22 | 4977 | 0.0020 | 8583 |
| Median | 0.84 | 15.90 | 20.24 | 8146 | 0.0041 | 13,524 |
| 75% Percentile | 1.60 | 19.77 | 33.95 | 10,100 | 0.0059 | 16,122 |
Disclaimer/Publisher’s Note: The statements, opinions and data contained in all publications are solely those of the individual author(s) and contributor(s) and not of MDPI and/or the editor(s). MDPI and/or the editor(s) disclaim responsibility for any injury to people or property resulting from any ideas, methods, instructions or products referred to in the content. |
© 2025 by the authors. Licensee MDPI, Basel, Switzerland. This article is an open access article distributed under the terms and conditions of the Creative Commons Attribution (CC BY) license (https://creativecommons.org/licenses/by/4.0/).
Share and Cite
Fernández-Vallejo, B.; Monteagudo, F.J.; Romero, L.; Aznárez, M.I.L.; Cobas, M.d.C.R.; Pérez-Martínez, L. Cross-Sectional Analysis of IL-6, TNF-α, Adiponectin, Leptin, and Klotho Serum Levels in Relation to BMI Among Overweight and Obese Children Aged 10–14 in La Rioja, Spain. Children 2025, 12, 89. https://doi.org/10.3390/children12010089
Fernández-Vallejo B, Monteagudo FJ, Romero L, Aznárez MIL, Cobas MdCR, Pérez-Martínez L. Cross-Sectional Analysis of IL-6, TNF-α, Adiponectin, Leptin, and Klotho Serum Levels in Relation to BMI Among Overweight and Obese Children Aged 10–14 in La Rioja, Spain. Children. 2025; 12(1):89. https://doi.org/10.3390/children12010089
Chicago/Turabian StyleFernández-Vallejo, Beatriz, Francisco Jiménez Monteagudo, Lourdes Romero, Maria Isabel López Aznárez, María del Carmen Romero Cobas, and Laura Pérez-Martínez. 2025. "Cross-Sectional Analysis of IL-6, TNF-α, Adiponectin, Leptin, and Klotho Serum Levels in Relation to BMI Among Overweight and Obese Children Aged 10–14 in La Rioja, Spain" Children 12, no. 1: 89. https://doi.org/10.3390/children12010089
APA StyleFernández-Vallejo, B., Monteagudo, F. J., Romero, L., Aznárez, M. I. L., Cobas, M. d. C. R., & Pérez-Martínez, L. (2025). Cross-Sectional Analysis of IL-6, TNF-α, Adiponectin, Leptin, and Klotho Serum Levels in Relation to BMI Among Overweight and Obese Children Aged 10–14 in La Rioja, Spain. Children, 12(1), 89. https://doi.org/10.3390/children12010089
