Transcutaneous Spinal Cord Stimulation Enables Recovery of Walking in Children with Acute Flaccid Myelitis
Abstract
1. Introduction
2. Materials and Methods
2.1. Participants
2.2. Design
2.3. Intervention
2.3.1. Gait Training
2.3.2. Transcutaneous Spinal Cord Stimulation (TSS)
2.4. Outcome Measures
2.4.1. Safety and Feasibility
2.4.2. Walking Function
2.4.3. Neurological Function and Quality of Life
2.5. Data Analysis
3. Results
3.1. Feasibility Data
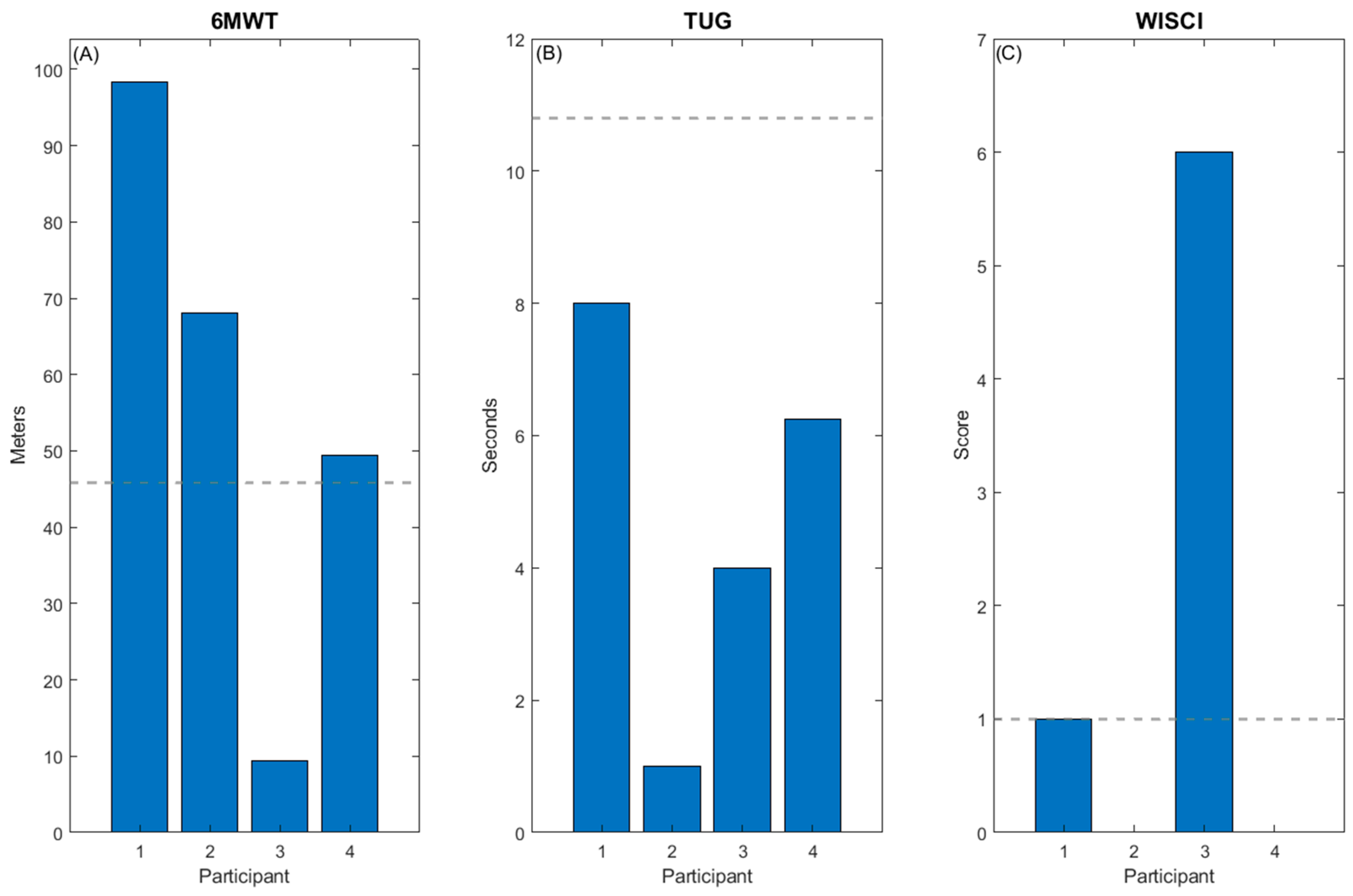
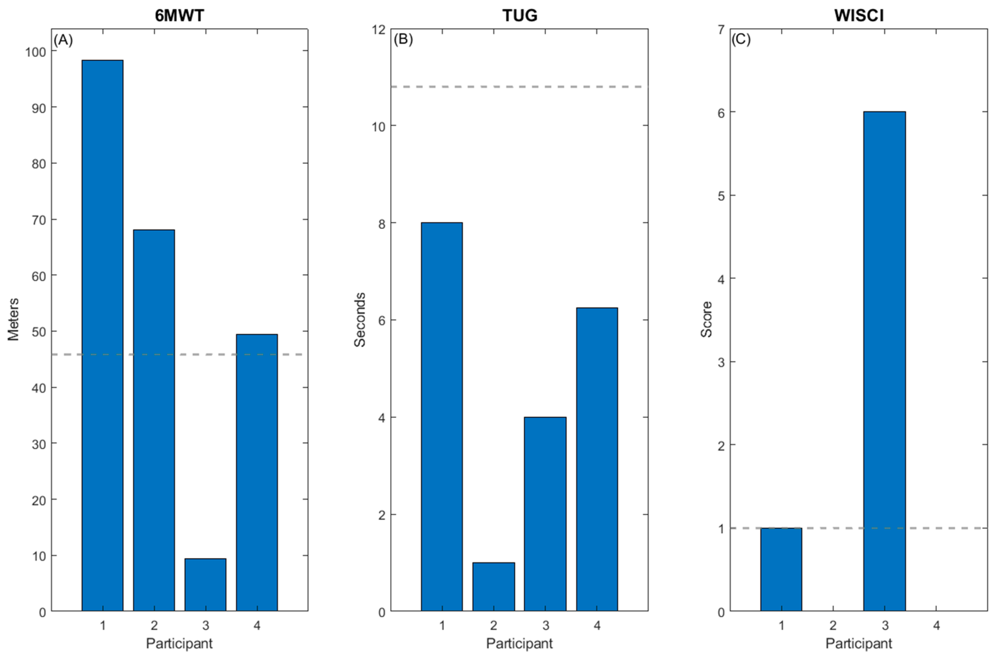
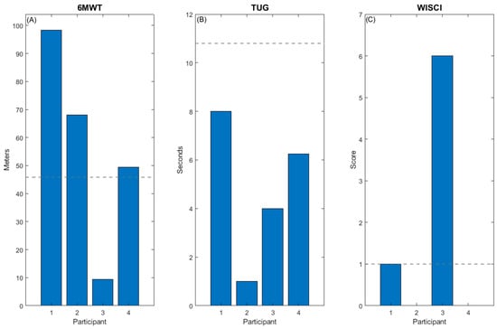
3.2. Preliminary Effectiveness Data
3.2.1. Walking Measures





3.2.2. Other Measures
4. Discussion
5. Limitations
6. Conclusions
Author Contributions
Funding
Institutional Review Board Statement
Informed Consent Statement
Data Availability Statement
Acknowledgments
Conflicts of Interest
References
- Hagen, K.; Porter, C.; Martin, R.; Dean, J.; Salorio, C.; Sadowsky, C. Improvements in Function Following Inpatient Activity-Based Therapy for Children with Acute Flaccid Myelitis. Top. Spinal Cord Inj. Rehabil. 2020, 26, 275–282. [Google Scholar] [CrossRef] [PubMed]
- Ide, W.; Melicosta, M.; Trovato, M.K. Acute Flaccid Myelitis. Phys. Med. Rehabil. Clin. N. Am. 2021, 32, 477–491. [Google Scholar] [CrossRef] [PubMed]
- Hayes, L.H.; Hopkins, S.E.; Liu, S.; Pardo, C.A.; Garcia-Dominguez, M.A.; Oleszek, J.; Yea, C.; Ciftci-Kavaklioglu, B.; Yeh, E.A.; Dean, J.; et al. Challenges in the Clinical Recognition of Acute Flaccid Myelitis and its Implications. J. Pediatr. 2023, 253, 55–62.e4. [Google Scholar] [CrossRef]
- Singh, B.; Arora, S.; Sandhu, N. Emerging trends and insights in acute flaccid myelitis: A comprehensive review of neurologic manifestations. Infect. Dis. 2023, 55, 653–663. [Google Scholar] [CrossRef]
- Melicosta, M.E.; Dean, J.; Hagen, K.; Oppenheimer, K.; Porter, C.; Rybczynski, S.; Salorio, C.; Sadowsky, C. Acute flaccid myelitis: Rehabilitation challenges and outcomes in a pediatric cohort. J. Pediatr. Rehabilitation Med. 2019, 12, 245–253. [Google Scholar] [CrossRef] [PubMed]
- Bove, R.; Rowles, W.; Carleton, M.; Olivera, E.; Sheehan, M.; Werdal, H.P.; Scott, R.; Axton, L.; Benson, L. Unmet Needs in the Evaluation, Treatment, and Recovery for 167 Children Affected by Acute Flaccid Myelitis Reported by Parents Through Social Media. Pediatr. Neurol. 2020, 102, 20–27. [Google Scholar] [CrossRef]
- Cunha, M.S.C.; Malvea, A.; Sadat, S.; Ibrahim, G.M.; Fehlings, M.G. Pediatric Spinal Cord Injury: A Review. Children 2023, 10, 1456. [Google Scholar] [CrossRef]
- McIntyre, A.; Sadowsky, C.; Behrman, A.; Martin, R.; Augutis, M.; Cassidy, C.; Betz, R.; Ertzgaard, P.; Mulcahey, M.; the SCIRE Project Research Group. A Systematic Review of the Scientific Literature for Rehabilitation/Habilitation Among Individuals with Pediatric-Onset Spinal Cord Injury. Top. Spinal Cord Inj. Rehabil. 2022, 28, 13–90. [Google Scholar] [CrossRef]
- Bryden, A.M.; Ancans, J.; Mazurkiewicz, J.; McKnight, A.; Scholtens, M. Technology for spinal cord injury rehabilitation and its application to youth. J. Pediatr. Rehabil. Med. 2012, 5, 287–299. [Google Scholar] [CrossRef]
- Gandhi, P.; Chan, K.; Verrier, M.C.; Pakosh, M.; Musselman, K.E. Training to Improve Walking after Pediatric Spinal Cord Injury: A Systematic Review of Parameters and Walking Outcomes. J. Neurotrauma 2017, 34, 1713–1725. [Google Scholar] [CrossRef]
- Behrman, A.L.; Argetsinger, L.C.; Roberts, M.T.; Stout, D.; Thompson, J.; Ugiliweneza, B.; Trimble, S.A. Activity-Based Therapy Targeting Neuromuscular Capacity After Pediatric-Onset Spinal Cord Injury. Top. Spinal Cord Inj. Rehabil. 2019, 25, 132–149. [Google Scholar] [CrossRef]
- Estes, S.; Zarkou, A.; Hope, J.M.; Suri, C.; Field-Fote, E.C. Combined Transcutaneous Spinal Stimulation and Locomotor Training to Improve Walking Function and Reduce Spasticity in Subacute Spinal Cord Injury: A Randomized Study of Clinical Feasibility and Efficacy. J. Clin. Med. 2021, 10, 1167. [Google Scholar] [CrossRef]
- McHugh, L.V.; Miller, A.A.; Leech, K.A.; Salorio, C.; Martin, R.H. Feasibility and utility of transcutaneous spinal cord stimulation combined with walking-based therapy for people with motor incomplete spinal cord injury. Spinal Cord Ser. Cases 2020, 6, 104. [Google Scholar] [CrossRef] [PubMed]
- Gerasimenko, Y.; Gorodnichev, R.; Machueva, E.; Pivovarova, E.; Semyenov, D.; Savochin, A.; Roy, R.R.; Edgerton, V.R. Novel and Direct Access to the Human Locomotor Spinal Circuitry. J. Neurosci. 2010, 30, 3700–3708. [Google Scholar] [CrossRef]
- Gerasimenko, Y.; Gorodnichev, R.; Moshonkina, T.; Sayenko, D.; Gad, P.; Reggie Edgerton, V. Transcutaneous electrical spinal-cord stimulation in humans. Ann. Phys. Rehabil. Med. 2015, 58, 225–231. [Google Scholar] [CrossRef] [PubMed]
- Sayenko, D.G.; Rath, M.; Ferguson, A.R.; Burdick, J.W.; Havton, L.A.; Edgerton, V.R.; Gerasimenko, Y.P. Self-Assisted Standing Enabled by Non-Invasive Spinal Stimulation after Spinal Cord Injury. J. Neurotrauma 2019, 36, 1435–1450. [Google Scholar] [CrossRef]
- Carhart, M.; He, J.; Herman, R.; D’Luzansky, S.; Willis, W. Epidural Spinal-Cord Stimulation Facilitates Recovery of Functional Walking Following Incomplete Spinal-Cord Injury. IEEE Trans. Neural Syst. Rehabil. Eng. 2004, 12, 32–42. [Google Scholar] [CrossRef]
- Hofstoetter, U.S.; Freundl, B.; Binder, H.; Minassian, K. Common neural structures activated by epidural and transcutaneous lumbar spinal cord stimulation: Elicitation of posterior root-muscle reflexes. PLoS ONE 2018, 13, e0192013. [Google Scholar] [CrossRef]
- Keller, A.; Singh, G.; Sommerfeld, J.H.; King, M.; Parikh, P.; Ugiliweneza, B.; D’amico, J.; Gerasimenko, Y.; Behrman, A.L. Noninvasive spinal stimulation safely enables upright posture in children with spinal cord injury. Nat. Commun. 2021, 12, 5850. [Google Scholar] [CrossRef]
- Singh, G.; Keller, A.; Lucas, K.; Borders, C.; Stout, D.; King, M.; Parikh, P.; Stepp, N.; Ugiliweneza, B.; D’amico, J.M.; et al. Safety and Feasibility of Cervical and Thoracic Transcutaneous Spinal Cord Stimulation to Improve Hand Motor Function in Children with Chronic Spinal Cord Injury. Neuromodulation Technol. Neural Interface 2023, 27, 661–671. [Google Scholar] [CrossRef]
- Gad, P.; Hastings, S.; Zhong, H.; Seth, G.; Kandhari, S.; Edgerton, V.R. Transcutaneous Spinal Neuromodulation Reorganizes Neural Networks in Patients with Cerebral Palsy. Neurotherapeutics 2021, 18, 1953–1962. [Google Scholar] [CrossRef] [PubMed]
- Solopova, I.A.; Sukhotina, I.A.; Zhvansky, D.S.; Vissarionov, S.; Baindurashvili, A.; Edgerton, V.; Gerasimenko, Y.; Moshonkina, T. Effects of spinal cord stimulation on motor functions in children with cerebral palsy. Neurosci. Lett. 2017, 639, 132–198. [Google Scholar] [CrossRef]
- Behrman, A.L.; Harkema, S.J. Locomotor training after human spinal cord injury: A series of case studies. Phys. Ther. 2000, 80, 688–700. [Google Scholar] [CrossRef]
- Harkema, S.; Behrman, A.; Barbeau, H. Evidence-based therapy for recovery of function after spinal cord injury. Handb. Clin. Neurol. 2012, 109, 259–274. [Google Scholar] [CrossRef]
- Minassian, K.; Jilge, B.; Rattay, F.; Pinter, M.M.; Binder, H.; Gerstenbrand, F.; Dimitrijevic, M.R. Stepping-like movements in humans with complete spinal cord injury induced by epidural stimulation of the lumbar cord: Electromyographic study of compound muscle action potentials. Spinal Cord 2004, 42, 401–416. [Google Scholar] [CrossRef]
- Gerasimenko, Y.P.; Lu, D.C.; Modaber, M.; Zdunowski, S.; Gad, P.; Sayenko, D.G.; Morikawa, E.; Haakana, P.; Ferguson, A.R.; Roy, R.R.; et al. Noninvasive Reactivation of Motor Descending Control after Paralysis. J. Neurotrauma 2015, 32, 1968–1980. [Google Scholar] [CrossRef] [PubMed]
- Minassian, K.; Hofstoetter, U.S.; Danner, S.M.; Mayr, W.; Bruce, J.A.; McKay, W.B.; Tansey, K.E. Spinal Rhythm Generation by Step-Induced Feedback and Transcutaneous Posterior Root Stimulation in Complete Spinal Cord-Injured Individuals. Neurorehabilit. Neural Repair 2016, 30, 233–243. [Google Scholar] [CrossRef]
- Hofstoetter, U.S.; Krenn, M.; Danner, S.M.; Hofer, C.; Kern, H.; McKay, W.B.; Mayr, W.; Minassian, K. Augmentation of Voluntary Locomotor Activity by Transcutaneous Spinal Cord Stimulation in Motor-Incomplete Spinal Cord-Injured Individuals: Augmentation of Locomotion by tSCS in Incomplete SCI. Artif. Organs 2015, 39, E176–E186. [Google Scholar] [CrossRef]
- Williams, N. The Borg Rating of Perceived Exertion (RPE) scale. Occup. Med. 2017, 67, 404–405. [Google Scholar] [CrossRef]
- Bryce, T.N.; Budh, C.N.; Cardenas, D.D.; Dijkers, M.; Felix, E.R.; Finnerup, N.B.; Kennedy, P.; Lundeberg, T.; Richards, J.S.; Rintala, D.H.; et al. Pain after spinal cord injury: An evidence-based review for clinical practice and research. Report of the National Institute on Disability and Rehabilitation Research Spinal Cord Injury Measures meeting. J. Spinal Cord Med. 2007, 30, 421–440. [Google Scholar] [CrossRef]
- Jackson, A.; Carnel, C.; Ditunno, J.; Read, M.S.; Boninger, M.; Schmeler, M.; Williams, S.; Donovan, W. Outcome Measures for Gait and Ambulation in the Spinal Cord Injury Population. J. Spinal Cord Med. 2008, 31, 487–499. [Google Scholar] [CrossRef] [PubMed]
- Lam, T.; Noonan, V.K.; Eng, J.J.; SCIRE Research Team. A systematic review of functional ambulation outcome measures in spinal cord injury. Spinal Cord 2008, 46, 246–254. [Google Scholar] [CrossRef] [PubMed]
- van Hedel, H.J.; Wirz, M.; Dietz, V. Assessing walking ability in subjects with spinal cord injury: Validity and reliability of 3 walking tests. Arch. Phys. Med. Rehabil. 2005, 86, 190–196. [Google Scholar] [CrossRef]
- van Hedel, H.J.A.; Wirz, M.; Curt, A. Improving walking assessment in subjects with an incomplete spinal cord injury: Responsiveness. Spinal Cord 2006, 44, 352–356. [Google Scholar] [CrossRef]
- Calhoun Thielen, C.; Sadowsky, C.; Vogel, L.C.; Taylor, H.; Davidson, L.; Bultman, J.; Gaughan, J.; Mulcahey, M.J. Evaluation of the Walking Index for Spinal Cord Injury II (WISCI-II) in children with Spinal Cord Injury (SCI). Spinal Cord 2017, 55, 478–482. [Google Scholar] [CrossRef] [PubMed]
- Lam, T.; Eng, J.; Wolfe, D.; Hsieh, J.; Whittaker, M. A Systematic Review of the Efficacy of Gait Rehabilitation Strategies for Spinal Cord Injury. Top. Spinal Cord Inj. Rehabil. 2007, 13, 32–57. [Google Scholar] [CrossRef]
- Musselman, K.E. Clinical significance testing in rehabilitation research: What, why, and how? Phys. Ther. Rev. 2007, 12, 287–296. [Google Scholar] [CrossRef]
- Burns, A.S.; Delparte, J.J.; Patrick, M.; Marino, R.J.; Ditunno, J.F. The Reproducibility and Convergent Validity of the Walking Index for Spinal Cord Injury (WISCI) in Chronic Spinal Cord Injury. Neurorehabilit. Neural Repair 2011, 25, 149–157. [Google Scholar] [CrossRef]
- Bohannon, R.W.; Wang, Y.C.; Bubela, D.; Gershon, R.C. Normative Two-Minute Walk Test Distances for Boys and Girls 3 to 17 Years of Age. Phys. Occup. Ther. Pediatr. 2018, 38, 39–45. [Google Scholar] [CrossRef]
| Subject | Gender | Age (Years) | Time since Injury (Months) | Neurological Level | ASIA Classification | Orthotics | Assistive Device |
|---|---|---|---|---|---|---|---|
| 01 | M | 12 | 59 | C4 | D | none | posterior walker |
| 02 | F | 8 | 61 | C4 | D | bilateral AFOs | posterior walker |
| 03 | F | 8 | 94 | T4 | D | right KAFO | bilateral lofstrand crutches |
| 04 | M | 10 | 72 | C4 | D | cervical collar | none |
Disclaimer/Publisher’s Note: The statements, opinions and data contained in all publications are solely those of the individual author(s) and contributor(s) and not of MDPI and/or the editor(s). MDPI and/or the editor(s) disclaim responsibility for any injury to people or property resulting from any ideas, methods, instructions or products referred to in the content. |
© 2024 by the authors. Licensee MDPI, Basel, Switzerland. This article is an open access article distributed under the terms and conditions of the Creative Commons Attribution (CC BY) license (https://creativecommons.org/licenses/by/4.0/).
Share and Cite
Neighbors, E.; Brunn, L.; Casamento-Moran, A.; Martin, R. Transcutaneous Spinal Cord Stimulation Enables Recovery of Walking in Children with Acute Flaccid Myelitis. Children 2024, 11, 1116. https://doi.org/10.3390/children11091116
Neighbors E, Brunn L, Casamento-Moran A, Martin R. Transcutaneous Spinal Cord Stimulation Enables Recovery of Walking in Children with Acute Flaccid Myelitis. Children. 2024; 11(9):1116. https://doi.org/10.3390/children11091116
Chicago/Turabian StyleNeighbors, Elizabeth, Lia Brunn, Agostina Casamento-Moran, and Rebecca Martin. 2024. "Transcutaneous Spinal Cord Stimulation Enables Recovery of Walking in Children with Acute Flaccid Myelitis" Children 11, no. 9: 1116. https://doi.org/10.3390/children11091116
APA StyleNeighbors, E., Brunn, L., Casamento-Moran, A., & Martin, R. (2024). Transcutaneous Spinal Cord Stimulation Enables Recovery of Walking in Children with Acute Flaccid Myelitis. Children, 11(9), 1116. https://doi.org/10.3390/children11091116
