Parent-Reported Changes in Ontario Children’s Physical Activity Levels during the COVID-19 Pandemic
Abstract
1. Introduction
2. Materials and Methods
2.1. Study Design and Procedures
2.2. Recruitment and Participants
2.3. Instruments and Tools
2.4. Sociodemographic Questions
2.5. Children’s Physical Activity
2.6. Data Preparation and Analysis
3. Results
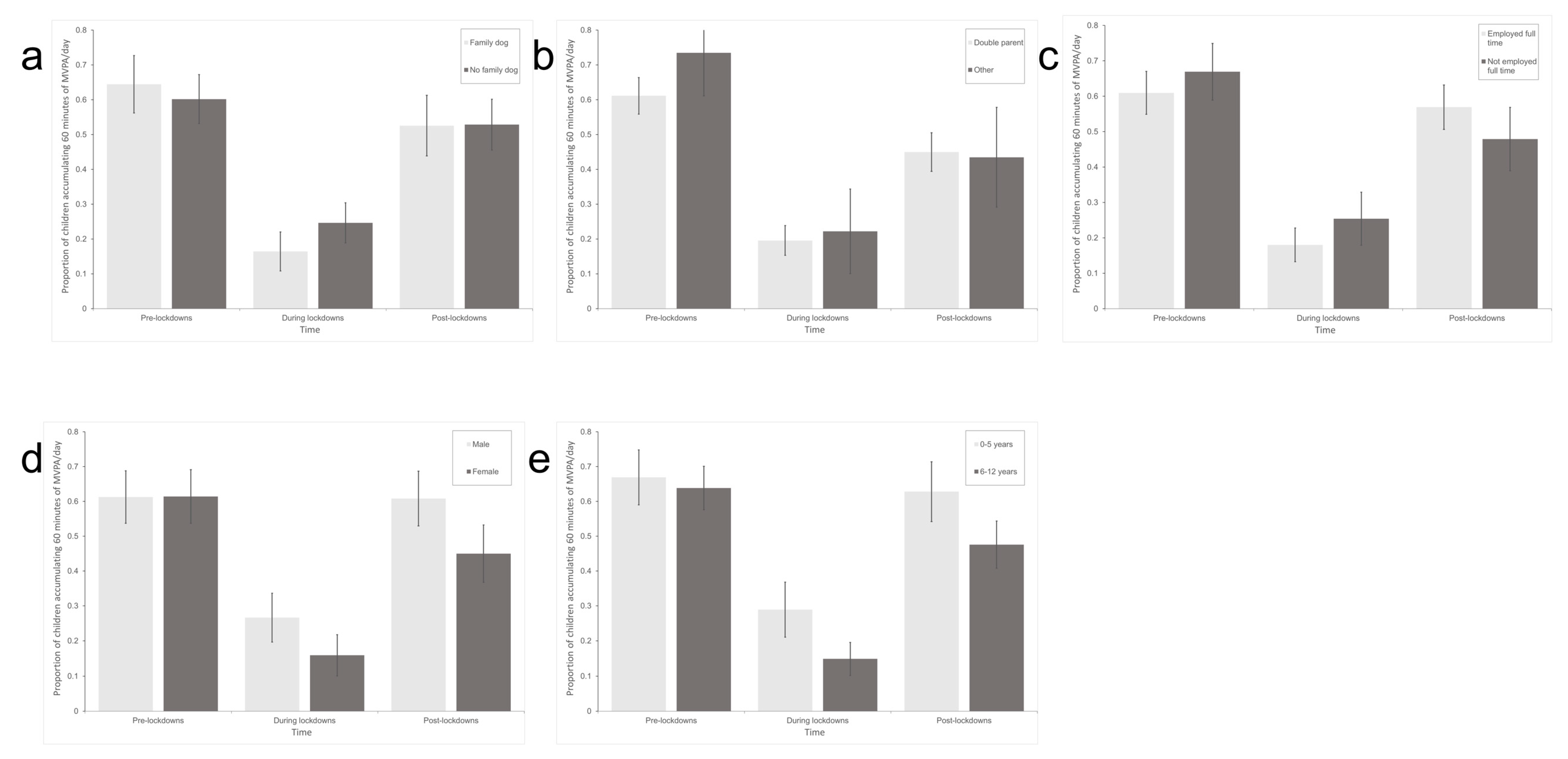
3.1. Change in Children’s Physical Activity during COVID-19
3.2. Sociodemographic Moderators of Change in Children’s Physical Activity during COVID-19
4. Discussion
Strengths and Limitations
5. Conclusions
Supplementary Materials
Author Contributions
Funding
Institutional Review Board Statement
Informed Consent Statement
Data Availability Statement
Acknowledgments
Conflicts of Interest
References
- World Health Organization. Standards for Healthy Eating, Physical Activity, Sedentary Behaviour and Sleep in Early Childhood Education and Care Settings: A Toolkit; World Health Organization: Geneva, Switzerland, 2021. [Google Scholar]
- Department of Health and Social Care. Physical Activity Guidelines for Early Years (Under 5s); Department of Health and Social Care: London, UK, 2011. [Google Scholar]
- Australian Government Department of Health. Australian 24-Hour Movement Guidelines for the Early Years (Birth to 5 Years): An Integration of Physical Activity, Sedentary Behaviour, and Sleep; Australian Government Department of Health: Canberra, Australia, 2017. [Google Scholar]
- Canadian Society for Exercise Physiology. 24-Hour Movement Guidelines for Children and Youth; Canadian Society for Exercise Physiology: Ottawa, ON, Canada, 2016. [Google Scholar]
- Carson, V.; Chaput, J.-P.; Janssen, I.; Tremblay, M.S. Health associations with meeting new 24-hour movement guidelines for Canadian children and youth. Prev. Med. 2017, 95, 7–13. [Google Scholar] [CrossRef] [PubMed]
- Janssen, I.; LeBlanc, A.G. Systematic review of the health benefits of physical activity and fitness in school-aged children and youth. Int. J. Behav. Nutr. Phys. Act. 2010, 7, 40. [Google Scholar] [CrossRef]
- Rodriguez-Ayllon, M.; Cadenas-Sánchez, C.; Estévez-López, F.; Muñoz, N.E.; Mora-Gonzalez, J.; Migueles, J.H.; Molina-García, P.; Henriksson, H.; Mena-Molina, A.; Martínez-Vizcaíno, V.; et al. Role of Physical Activity and Sedentary Behavior in the Mental Health of Preschoolers, Children and Adolescents: A Systematic Review and Meta-Analysis. Sport. Med. 2019, 49, 1383–1410. [Google Scholar] [CrossRef] [PubMed]
- Warburton, D.E.R.; Nicol, C.W.; Bredin, S.S.D. Health benefits of physical activity: The evidence. Can. Med. Assoc. J. 2006, 174, 801–809. [Google Scholar] [CrossRef] [PubMed]
- Canadian Society for Exercise Physiology. Canadian 24-Hour Movement Guidelines for the Early Years (0–4 years): An Integration of Physical Activity, Sedentary Behaviour and Sleep. 2017. Available online: https://csepguidelines.ca/early-years-0-4/ (accessed on 17 December 2018).
- Canadian Society for Exercise Physiology. Canadian 24-Hour Movement Guidelines for Children and Youth 5–17 Years. Can. Soc. Exerc. Physiol. 2018, 1–2. Available online: https://csepguidelines.ca/guidelines/children-youth/ (accessed on 29 April 2022).
- Tremblay, M.S.; Chaput, J.-P.; Adamo, K.B.; Aubert, S.; Barnes, J.D.; Choquette, L.; Duggan, M.; Faulkner, G.; Goldfield, G.S.; Gray, C.E.; et al. Canadian 24-Hour Movement Guidelines for the Early Years (0–4 years): An Integration of Physical Activity, Sedentary Behaviour, and Sleep. BMC Public Health 2017, 17 (Suppl. 5), 874. [Google Scholar] [CrossRef]
- Chaput, J.-P.; Colley, R.C.; Aubert, S.; Carson, V.; Janssen, I.; Roberts, K.C.; Tremblay, M.S. Proportion of preschool-aged children meeting the Canadian 24-Hour Movement Guidelines and associations with adiposity: Results from the Canadian Health Measures Survey. BMC Public Health 2017, 17 (Suppl. 5), 829. [Google Scholar] [CrossRef]
- Physical Activity and Screen Time among Canadian Children and Youth, 2016 and 2017. Available online: https://www150.statcan.gc.ca/n1/pub/82-625-x/2019001/article/00003-eng.htm (accessed on 19 May 2022).
- Aubert, S.; Barnes, J.D.; Abdeta, C.; Nader, P.A.; Adeniyi, A.F.; Aguilar-Farias, N.; Tenesaca, D.S.A.; Bhawra, J.; Brazo-Sayavera, J.; Cardon, G.; et al. Global Matrix 3.0 Physical Activity Report Card grades for children and youth: Results and analysis from 49 countries. J. Phys. Act. Health 2018, 15, S251–S273. [Google Scholar] [CrossRef]
- World Health Organization. Coronavirus (COVID-19) Events as They Happen. 2021. Available online: https://www.who.int/emergencies/diseases/novel-coronavirus-2019/events-as-they-happen (accessed on 13 September 2021).
- Government of Canada. List of Acts and Regulations—Canada.ca. 2021. Available online: https://www.canada.ca/en/public-health/corporate/mandate/about-agency/acts-regulations/list-acts-regulations.html (accessed on 13 September 2021).
- Riazi, N.A.; Wunderlich, K.; Gierc, M.; Brussoni, M.; Moore, S.A.; Tremblay, M.S.; Faulkner, G. ‘You Can’t Go to the Park, You Can’t Go Here, You Can’t Go There’: Exploring Parental Experiences of COVID-19 and Its Impact on Their Children’s Movement Behaviours. Children 2021, 8, 219. [Google Scholar] [CrossRef]
- Mitra, R.; Moore, S.A.; Gillespie, M.; Faulkner, G.; Vanderloo, L.M.; Chulak-Bozzer, T.; Rhodes, R.E.; Brussoni, M.; Tremblay, M.S. Healthy movement behaviours in children and youth during the COVID-19 pandemic: Exploring the role of the neighbourhood environment. Health Place 2020, 65, 102418. [Google Scholar] [CrossRef]
- Ontario Closes All Outdoor Recreational Facilities due to Coronavirus|CityNews Toronto. Available online: https://toronto.citynews.ca/2020/03/30/ontario-closes-all-outdoor-recreational-facilities-due-to-coronavirus/ (accessed on 2 May 2022).
- Government of Ontario. COVID-19 (Coronavirus) in Ontario. 2021. Available online: https://covid-19.ontario.ca/ (accessed on 13 September 2021).
- Rhodes, R.E.; Spence, J.C.; Berry, T.; Faulkner, G.; Latimer-Cheung, A.E.; O’Reilly, N.; Tremblay, M.S.; Vanderloo, L. Parental support of the Canadian 24-hour movement guidelines for children and youth: Prevalence and correlates. BMC Public Health 2019, 19, 1385. [Google Scholar] [CrossRef] [PubMed]
- Roman-Viñas, B.; Chaput, J.-P.; Katzmarzyk, P.T.; Fogelholm, M.; Lambert, E.V.; Maher, C.; Maia, J.; Olds, T.; Onywera, V.; Sarmiento, O.L.; et al. Proportion of children meeting recommendations for 24-hour movement guidelines and associations with adiposity in a 12-country study. Int. J. Behav. Nutr. Phys. Act. 2016, 13, 123. [Google Scholar] [CrossRef] [PubMed]
- Moore, S.A.; Faulkner, G.; Rhodes, R.E.; Brussoni, M.; Chulak-Bozzer, T.; Ferguson, L.J.; Mitra, R.; O’Reilly, N.; Spence, J.C.; Vanderloo, L.M.; et al. Impact of the COVID-19 virus outbreak on movement and play behaviours of Canadian children and youth: A national survey. Int. J. Behav. Nutr. Phys. Act. 2020, 17, 85. [Google Scholar] [CrossRef] [PubMed]
- Moore, S.A.; Faulkner, G.; Rhodes, R.E.; Vanderloo, L.M.; Ferguson, L.J.; Guerrero, M.D.; Brussoni, M.; Mitra, R.; O’Reilly, N.; Spence, J.C.; et al. Few Canadian children and youth were meeting the 24-hour movement behaviour guidelines 6-months into the COVID-19 pandemic: Follow-up from a national study. Appl. Physiol. Nutr. Metab. 2021, 46, 1225–1240. [Google Scholar] [CrossRef]
- Dunton, G.F.; Do, B.; Wang, S.D. Early effects of the COVID-19 pandemic on physical activity and sedentary behavior in children living in the U. S. BMC Public Health 2020, 20, 1351. [Google Scholar] [CrossRef]
- Szpunar, M.; Vanderloo, L.M.; Bruijns, B.A.; Truelove, S.; Burke, S.M.; Gilliland, J.; Irwin, J.D.; Tucker, P. Children and parents’ perspectives of the impact of the COVID-19 pandemic on Ontario children’ s physical activity, play, and sport behaviours. BMC Public Health 2021, 21, 2271. [Google Scholar] [CrossRef]
- Hill, A.; Bundy, A.C. Reliability and validity of a new instrument to measure tolerance of everyday risk for children. Child Care. Health Dev. 2014, 40, 68–76. [Google Scholar] [CrossRef]
- Telford, R.M.; Telford, R.D.; Olive, L.S.; Cochrane, T.; Davey, R. Why are girls less physically active than boys? Findings from the LOOK longitudinal study. PLoS ONE 2016, 11, e0150041. [Google Scholar]
- SPSS Statistics—Canada|IBM. Available online: https://www.ibm.com/ca-en/products/spss-statistics (accessed on 29 April 2022).
- CRAN—Package lme4. Available online: https://cran.r-project.org/web/packages/lme4/index.html (accessed on 29 April 2022).
- Kuznetsova, A.; Brockhoff, P.B.; Christensen, R.H.B. lmerTest Package: Tests in Linear Mixed Effects Models. J. Stat. Softw. 2017, 82, 1–26. [Google Scholar] [CrossRef]
- Li, X.; Keown-Stoneman, C.D.; Lebovic, G.; Omand, J.A.; Adeli, K.; Hamilton, J.K.; Hanley, A.J.; Mamdani, M.; McCrindle, B.W.; Sievenpiper, J.L.; et al. The association between body mass index trajectories and cardiometabolic risk in young children. Pediatr. Obes. 2020, 15, e12633. [Google Scholar] [CrossRef]
- Carson, V.; Lee, E.-Y.; Hewitt, L.; Jennings, C.; Hunter, S.; Kuzik, N.; Stearns, J.A.; Unrau, S.P.; Poitras, V.J.; Gray, C.; et al. Systematic review of the relationships between physical activity and health indicators in the early years (0–4 years). BMC Public Health 2017, 17, 854. [Google Scholar]
- Kneeshaw-Price, S.; Saelens, B.E.; Sallis, J.F.; Glanz, K.; Frank, L.D.; Kerr, J.; Hannon, P.; Grembowski, D.; Chan, K.G.; Cain, K.L. Children’s objective physical activity by location: Why the neighborhood matters. Pediatr. Exerc. Sci. 2013, 25, 468–486. [Google Scholar] [CrossRef] [PubMed]
- Corder, K.; Sallis, J.F.; Crespo, N.C.; Elder, J.P. Active children use more locations for physical activity. Health Place 2011, 17, 911–919. [Google Scholar] [CrossRef] [PubMed]
- Bates, L.C.; Zieff, G.; Stanford, K.; Moore, J.B.; Kerr, Z.Y.; Hanson, E.D.; Barone Gibbs, B.; Kline, C.E.; Stoner, L. COVID-19 Impact on Behaviors across the 24-Hour Day in Children and Adolescents: Physical Activity, Sedentary Behavior, and Sleep. Children 2020, 7, 138. [Google Scholar] [CrossRef] [PubMed]
- Stockwell, S.; Trott, M.; Tully, M.; Shin, J.; Barnett, Y.; Butler, L.; McDermott, D.; Schuch, F.; Smith, L. Changes in physical activity and sedentary behaviours from before to during the COVID-19 pandemic lockdown: A systematic review. BMJ Open Sport Exerc. Med. 2021, 7, e000960. [Google Scholar] [CrossRef] [PubMed]
- Felfe, C.; Lechner, M.; Steinmayr, A. Sports and Child Development. PLoS ONE 2016, 11, e0151729. [Google Scholar] [CrossRef]
- The 2020 Participaction Report Card on Physical Activity for Children and Youth|ParticipACTION. Available online: https://www.participaction.com/en-ca/resources/children-and-youth-report-card (accessed on 19 May 2022).
- Brzek, A.; Strauss, M.; Przybylek, B.; Dworrak, T.; Dworrak, B.; Leischik, R. How does the activity level of the parents influence their children’s activity? The contemporary life in a world ruled by electronic devices. Arch. Med. Sci. 2018, 14, 190–198. [Google Scholar] [CrossRef]
- Gustafson, S.L.; Rhodes, R.E. Parental correlates of physical activity in children and early adolescents. Sports Med. 2006, 36, 79–97. [Google Scholar] [CrossRef]
- Pelletier, C.; Cornish, K.; Sanders, C. Children’s independent mobility and physical activity during the COVID-19 pandemic: A qualitative study with families. Int. J. Environ. Res. Public Health 2021, 18, 4481. [Google Scholar] [CrossRef]
- Jones, R.A.; Hinkley, T.; Okely, A.D.; Salmon, J. Tracking Physical Activity and Sedentary Behavior in Childhood: A Systematic Review. Am. J. Prev. Med. 2013, 44, 651–658. [Google Scholar] [CrossRef]
- The Daily, Tuesday, June 3, 2008. Study: Organized Sports Participation among Children. Available online: https://www150.statcan.gc.ca/n1/daily-quotidien/080603/dq080603a-eng.htm (accessed on 2 May 2022).
- Chase, C.J.; Mueller, M.K.; Garvey, C.; Potter, K. Family Dog Ownership and Youth Physical Activity Levels: A Scoping Review. Curr. Sports Med. Rep. 2022, 21, 18–27. [Google Scholar] [CrossRef] [PubMed]
- Tucker, P.; Irwin, J.D.; Gilliland, J.; He, M.; Larsen, K.; Hess, P. Environmental influences on physical activity levels in youth. Health Place 2009, 15, 357–363. [Google Scholar] [CrossRef] [PubMed]
- Van de Mortel, T.F. Faking it: Social desirability response bias in self-report. Aust. J. Adv. Nurs. 2008, 25, 40–48. [Google Scholar]



| Parent Demographics | |
|---|---|
| Gender, n (%) | |
| Female | 228 (93.83%) |
| Male | 10 (4.12%) |
| Age (years), mean (SD) | 38.76 (5.72) |
| Ethnicity, n (%) | |
| Caucasian | 208 (85.60%) |
| South Asian | 9 (3.70%) |
| East Asian | 2 (0.82%) |
| Middle Eastern | 1 (0.41%) |
| First Nations/Indigenous | 7 (2.88%) |
| Latin American | 3 (1.23%) |
| Other | 6 (2.47%) |
| Prefer not to answer | 3 (1.23%) |
| Employment Status, n (%) | |
| Full-Time | 166 (68.31%) |
| Part-Time | 30 (12.35%) |
| Unemployed | 29 (11.93%) |
| Other | 14 (5.76%) |
| Family Situation, n (%) | |
| Double-parent | 203 (83.5%) |
| Single-parent | 29 (11.9%) |
| Other | 8 (2.9%) |
| Housing Type, n (%) | |
| Detached House | 187 (76.95%) |
| Semi-Detached House | 19 (7.82%) |
| Apartment/Condominium/Townhouse | 31 (12.76%) |
| Other | 2 (0.82%) |
| Household Income, n (%) | |
| Less than CAD $60,000 | 35 (14.6%) |
| CAD $60,000–99,999 | 48 (20.1%) |
| CAD $100,000+ | 156 (65.3%) |
| Prefer not to answer | 15 (6.3%) |
| Highest Level of Education, n (%) | |
| High School | 17 (7.00%) |
| College | 52 (21.40%) |
| University | 81 (33.33%) |
| Graduate School | 89 (36.36%) |
| Prefer not to answer | 4 (1.65%) |
| Child Demographics | |
| Sex, n (%) | |
| Male | 167 (40.93%) |
| Female | 161 (39.46%) |
| Age (years), mean (SD) | 6.32 (3.66) |
| Disability, n (%) | |
| Yes | 29 (7.11%) |
| No | 368 (90.20%) |
| Change from Pre-Lockdown to during Lockdown | Change from during Lockdown to Post-Lockdown | Change from Pre-Lockdown to Post-Lockdown | ||||
|---|---|---|---|---|---|---|
| Moderator | Moderation Effect | p-Value | Moderation Effect | p-Value | Moderation Effect | p-Value |
| Community type (0 = rural; 1 = (sub)urban) | 0.86 (−0.08, 1.80) | 0.073 | −0.48 (−1.41, 0.45) | 0.310 | 0.38 (−0.44, 1.17) | 0.369 |
| Housing type (0 = other; 1 = detached) | 0.81 (−0.17, 1.79) | 0.107 | −0.68 (−1.37, 0.60) | 0.171 | 0.12 (−0.71, 0.96) | 0.776 |
| Family dog (0 = no; 1 = yes) | −0.92 (−1.72, −0.11) | 0.025° | 0.65 (−0.15, 1.45) | 0.112 | −0.27 (−0.99, 0.46) | 0.470 |
| Household income (0 = <CAD $100,000; 1 = CAD $100,000+) | −0.65 (−1.40, 0.10) | 0.093 | 0.74 (−0.02, 1.50) | 0.055 | 0.10 (0.60, 0.79) | 0.788 |
| Family situation (0 = other; 1 = double parent) | 0.43 (−0.70, 1.57) | 0.455 | 0.90 (−0.21, 2.01) | 0.113 | 1.33 (0.28, 2.38) | 0.013 |
| Parent employment status (0 = not employed full time; 1 = employed full time) | −0.21 (−0.98, 0.56) | 0.588 | 1.05 (0.27, 1.83) | 0.008° | 0.84 (0.11, 1.57) | 0.024 |
| Parent education (0 = high school/college diploma, 1= university degree) | −0.20 (−0.97, 0.57) | 0.629 | 0.46 (−0.35, 1.27) | 0.262 | 0.26 (−0.48, 1.01) | 0.485 |
| Child sex (0 = female; 1= male) | 0.74 (−0.08, 1.55) | 0.077 | 0.09 (−0.74, 0.91) | 0.838 | 0.82 (0.07, 1.58) | 0.032 |
| Child age (0 = 0–5 years; 1 = 6–12 years) | −0.86 (−1.66, −0.07) | 0.033° | 0.23 (−0.57, 1.03) | 0.572 | −0.63 (−1.37, 0.11) | 0.094 |
| Child disability (0 = no; 1 = yes) | −0.78 (−2.41, 0.84) | 0.345 | 0.63 (−1.01, 2.27) | 0.450 | −0.15 (−1.47, 1.16) | 0.820 |
Disclaimer/Publisher’s Note: The statements, opinions and data contained in all publications are solely those of the individual author(s) and contributor(s) and not of MDPI and/or the editor(s). MDPI and/or the editor(s) disclaim responsibility for any injury to people or property resulting from any ideas, methods, instructions or products referred to in the content. |
© 2023 by the authors. Licensee MDPI, Basel, Switzerland. This article is an open access article distributed under the terms and conditions of the Creative Commons Attribution (CC BY) license (https://creativecommons.org/licenses/by/4.0/).
Share and Cite
Szpunar, M.; Bourke, M.; Vanderloo, L.M.; Bruijns, B.A.; Truelove, S.; Burke, S.M.; Gilliland, J.; Irwin, J.D.; Tucker, P. Parent-Reported Changes in Ontario Children’s Physical Activity Levels during the COVID-19 Pandemic. Children 2023, 10, 221. https://doi.org/10.3390/children10020221
Szpunar M, Bourke M, Vanderloo LM, Bruijns BA, Truelove S, Burke SM, Gilliland J, Irwin JD, Tucker P. Parent-Reported Changes in Ontario Children’s Physical Activity Levels during the COVID-19 Pandemic. Children. 2023; 10(2):221. https://doi.org/10.3390/children10020221
Chicago/Turabian StyleSzpunar, Monika, Matthew Bourke, Leigh M. Vanderloo, Brianne A. Bruijns, Stephanie Truelove, Shauna M. Burke, Jason Gilliland, Jennifer D. Irwin, and Patricia Tucker. 2023. "Parent-Reported Changes in Ontario Children’s Physical Activity Levels during the COVID-19 Pandemic" Children 10, no. 2: 221. https://doi.org/10.3390/children10020221
APA StyleSzpunar, M., Bourke, M., Vanderloo, L. M., Bruijns, B. A., Truelove, S., Burke, S. M., Gilliland, J., Irwin, J. D., & Tucker, P. (2023). Parent-Reported Changes in Ontario Children’s Physical Activity Levels during the COVID-19 Pandemic. Children, 10(2), 221. https://doi.org/10.3390/children10020221

