Cardiopulmonary Exercise Testing in the Age of New Heart Failure Therapies: Still a Powerful Tool?
Abstract
1. Introduction
2. Materials and Methods
2.1. Study Population
2.2. Study Protocol
2.3. Exclusion Criteria
- Age less than 18 years.
- Planned percutaneous coronary revascularization or cardiac surgery.
- Exercise-limiting comorbidities (cerebrovascular disease, musculoskeletal impairment, or severe peripheral vascular disease).
- Previous HT.
- Elective HT during the follow-up period.
- Submaximal CPET (defined as one with a peak RER of ≤1.05 [18]).
- Unavailable or missing clinical data on the composite endpoint.
- Lost to 36-month follow-up.
2.4. Cardiorespiratory Exercise Testing
2.5. Follow-Up and Endpoint
2.6. Statistical Analysis
3. Results
3.1. Baseline Characteristics
3.2. Primary Endpoint
3.3. Relationship between Cardiopulmonary Exercise Test Prognostic Parameters and Primary Endpoint
3.4. ISHLT Cut-Offs for Heart Transplantation Listing
3.5. Alternative pVO2 and VE/VCO2 Slope Cut-Offs
4. Discussion
4.1. ISHLT Recommended Cut-Off Values
4.2. Study Limitations
5. Conclusions
Supplementary Materials
Author Contributions
Funding
Institutional Review Board Statement
Informed Consent Statement
Data Availability Statement
Acknowledgments
Conflicts of Interest
References
- McDonagh, T.A.; Metra, M.; Adamo, M.; Gardner, R.S.; Baumbach, A.; Böhm, M.; Burri, H.; Butler, J.; Čelutkienė, J.; Chioncel, O.; et al. 2021 ESC Guidelines for the diagnosis and treatment of acute and chronic heart failure. Eur. Heart J. 2021, 42, 3599–3726. [Google Scholar] [CrossRef]
- Mcmurray, J.J.V.; Packer, M.; Desai, A.S.; Gong, J.; Lefkowitz, M.P.; Rizkala, A.R.; Rouleau, J.L.; Shi, V.C.; Solomon, S.D.; Swedberg, K.; et al. Angiotensin–Neprilysin Inhibition versus Enalapril in Heart Failure. N. Engl. J. Med. 2014, 371, 993–1004. [Google Scholar] [CrossRef]
- McMurray, J.J.V.; Solomon, S.D.; Inzucchi, S.E.; Køber, L.; Kosiborod, M.N.; Martinez, F.A.; Ponikowski, P.; Sabatine, M.S.; Anand, I.S.; Bělohlávek, J.; et al. Dapagliflozin in Patients with Heart Failure and Reduced Ejection Fraction. N. Engl. J. Med. 2019, 381, 1995–2008. [Google Scholar] [CrossRef]
- Packer, M.; Anker, S.D.; Butler, J.; Filippatos, G.; Pocock, S.J.; Carson, P.; Januzzi, J.; Verma, S.; Tsutsui, H.; Brueckmann, M.; et al. Cardiovascular and Renal Outcomes with Empagliflozin in Heart Failure. N. Engl. J. Med. 2020, 383, 1413–1424. [Google Scholar] [CrossRef]
- Ponikowski, P.; Van Veldhuisen, D.J.; Comin-Colet, J.; Ertl, G.; Komajda, M.; Mareev, V.; McDonagh, T.; Parkhomenko, A.; Tavazzi, L.; Levesque, V.; et al. Beneficial effects of long-term intravenous iron therapy with ferric carboxymaltose in patients with symptomatic heart failure and iron deficiency. Eur. Heart J. 2015, 36, 657–668. [Google Scholar] [CrossRef] [PubMed]
- Van Veldhuisen, D.J.; Ponikowski, P.; Van Der Meer, P.; Metra, M.; Böhm, M.; Doletsky, A.; Voors, A.A.; MacDougall, I.C.; Anker, S.D.; Roubert, B.; et al. Effect of Ferric Carboxymaltose on Exercise Capacity in Patients with Chronic Heart Failure and Iron Deficiency. Circulation 2017, 136, 1374–1383. [Google Scholar] [CrossRef] [PubMed]
- Anand, I.S.; Carson, P.; Galle, E.; Song, R.; Boehmer, J.; Ghali, J.K.; Jaski, B.; Lindenfeld, J.; O’Connor, C.; Steinberg, J.S.; et al. Cardiac Resynchronization Therapy Reduces the Risk of Hospitalizations in Patients with Advanced Heart Failure. Circulation 2009, 119, 969–977. [Google Scholar] [CrossRef] [PubMed]
- Stone, G.W.; Lindenfeld, J.; Abraham, W.T.; Kar, S.; Lim, D.S.; Mishell, J.M.; Whisenant, B.; Grayburn, P.A.; Rinaldi, M.; Kapadia, S.R.; et al. Transcatheter Mitral-Valve Repair in Patients with Heart Failure. N. Engl. J. Med. 2018, 379, 2307–2318. [Google Scholar] [CrossRef]
- Marrouche, N.F.; Brachmann, J.; Andresen, D.; Siebels, J.; Boersma, L.; Jordaens, L.; Merkely, B.; Pokushalov, E.; Sanders, P.; Proff, J.; et al. Catheter Ablation for Atrial Fibrillation with Heart Failure. N. Engl. J. Med. 2018, 378, 417–427. [Google Scholar] [CrossRef]
- Mebazaa, A.; Davison, B.; Chioncel, O.; Cohen-Solal, A.; Diaz, R.; Filippatos, G.; Metra, M.; Ponikowski, P.; Sliwa, K.; Voors, A.A.; et al. Safety, tolerability and efficacy of up-titration of guideline-directed medical therapies for acute heart failure (STRONG-HF): A multinational, open-label, randomised, trial. Lancet 2022, 400, 1938–1952. [Google Scholar] [CrossRef]
- Albert, N.M.; Barnason, S.; Deswal, A.; Hernandez, A.; Kociol, R.; Lee, E.; Paul, S.; Ryan, C.J.; White-Williams, C. Transitions of Care in Heart Failure. Circ. Heart Fail. 2015, 8, 384–409. [Google Scholar] [CrossRef]
- Corrà, U.; Agostoni, P.G.; Anker, S.D.; Coats, A.J.; Leiro, M.G.C.; de Boer, R.A.; Harjola, V.-P.; Hill, L.; Lainscak, M.; Lund, L.H.; et al. Role of cardiopulmonary exercise testing in clinical stratification in heart failure. A position paper from the Committee on Exercise Physiology and Training of the Heart Failure Association of the European Society of Cardiology. Eur. J. Heart Fail. 2018, 20, 3–15. [Google Scholar] [CrossRef] [PubMed]
- Chua, T.P.; Ponikowski, P.; Harrington, D.; Anker, S.D.; Webb-Peploe, K.; Clark, A.L.; Poole-Wilson, P.A.; Coats, A.J. Clinical Correlates and Prognostic Significance of the Ventilatory Response to Exercise in Chronic Heart Failure. J. Am. Coll. Cardiol. 1997, 29, 1585–1590. [Google Scholar] [CrossRef] [PubMed]
- Francis, D.; Shamim, W.; Davies, L.; Piepoli, M.; Ponikowski, P.; Anker, S.; Coats, A. Cardiopulmonary exercise testing for prognosis in chronic heart failure: Continuous and independent prognostic value from VE/VCO2 slope and peak VO2. Eur. Heart J. 2000, 21, 154–161. [Google Scholar] [CrossRef] [PubMed]
- Arena, R.; Humphrey, R. Comparison of ventilatory expired gas parameters used to predict hospitalization in patients with heart failure. Am. Heart J. 2002, 143, 427–432. [Google Scholar] [CrossRef] [PubMed]
- Arena, R.; Myers, J.; Aslam, S.S.; Varughese, E.B.; Peberdy, M.A. Peak VO2 and VE/VCO2 slope in patients with heart failure: A prognostic comparison. Am. Heart J. 2004, 147, 354–360. [Google Scholar] [CrossRef]
- Kleber, F.X.; Vietzke, G.; Wernecke, K.D.; Bauer, U.; Opitz, C.; Wensel, R.; Sperfeld, A.; Gläser, S. Impairment of Ventilatory Efficiency in Heart Failure. Circulation 2000, 101, 2803–2809. [Google Scholar] [CrossRef]
- Mehra, M.R.; Canter, C.E.; Hannan, M.M.; Semigran, M.J.; Uber, P.A.; Baran, D.A.; Danziger-Isakov, L.; Kirklin, J.K.; Kirk, R.; Kushwaha, S.S.; et al. The 2016 International Society for Heart Lung Transplantation listing criteria for heart transplantation: A 10-year update. J. Heart Lung Transplant. 2016, 35, 1–23. [Google Scholar] [CrossRef]
- Peterson, L.R.; Schechtman, K.B.; Ewald, G.A.; Geltman, E.M.; Fuentes, L.d.L.; Meyer, T.; Krekeler, P.; Moore, M.L.; Rogers, J.G. Timing of cardiac transplantation in patients with heart failure receiving β-adrenergic blockers. J. Heart Lung Transplant. 2003, 22, 1141–1148. [Google Scholar] [CrossRef]
- De Marco, T.; Wolfel, E.; Feldman, A.M.; Lowes, B.; Higginbotham, M.B.; Ghali, J.K.; Wagoner, L.; Kirlin, P.C.; Kennett, J.D.; Goel, S.; et al. Impact of Cardiac Resynchronization Therapy on Exercise Performance, Functional Capacity, and Quality of Life in Systolic Heart Failure with QRS Prolongation: COMPANION Trial Sub-Study. J. Card. Fail. 2008, 14, 9–18. [Google Scholar] [CrossRef]
- Goda, A.; Lund, L.H.; Mancini, D. The Heart Failure Survival Score outperforms the peak oxygen consumption for heart transplantation selection in the era of device therapy. J. Heart Lung Transplant. 2011, 30, 315–325. [Google Scholar] [CrossRef] [PubMed]
- Aaronson, K.D.; Schwartz, J.S.; Chen, T.-M.; Wong, K.-L.; Goin, J.E.; Mancini, D.M. Development and prospective validation of a clinical index to predict survival in ambulatory patients referred for cardiac transplant evaluation. Circulation 1997, 95, 2660–2667. [Google Scholar] [CrossRef]
- Delong, E.R.; Delong, D.M.; Clarke-Pearson, D.L. Comparing the areas under two or more correlated receiver operating characteristic curves: A nonparametric approach. Biometrics 1988, 44, 837–845. [Google Scholar] [CrossRef]
- Sharma, A.; Verma, S.; Bhatt, D.L.; Connelly, K.A.; Swiggum, E.; Vaduganathan, M.; Zieroth, S.; Butler, J. Optimizing Foundational Therapies in Patients with HFrEF. JACC Basic Transl. Sci. 2022, 7, 504–517. [Google Scholar] [CrossRef] [PubMed]
- Taylor, R.S.; Walker, S.; Smart, N.A.; Piepoli, M.F.; Warren, F.C.; Ciani, O.; O’Connor, C.; Whellan, D.; Keteyian, S.J.; Coats, A.; et al. Impact of exercise-based cardiac rehabilitation in patients with heart failure (ExTraMATCH II) on mortality and hospitalisation: An individual patient data meta-analysis of randomised trials. Eur. J. Heart Fail. 2018, 20, 1735–1743. [Google Scholar] [CrossRef] [PubMed]
- Van Spall, H.G.C.; Lee, S.F.; Xie, F.; Oz, U.E.; Perez, R.; Mitoff, P.R.; Maingi, M.; Tjandrawidjaja, M.C.; Heffernan, M.; Zia, M.I.; et al. Effect of Patient-Centered Transitional Care Services on Clinical Outcomes in Patients Hospitalized for Heart Failure. JAMA 2019, 321, 753. [Google Scholar] [CrossRef] [PubMed]
- Malhotra, R.; Bakken, K.; D’elia, E.; Lewis, G.D. Cardiopulmonary Exercise Testing in Heart Failure. JACC Heart Fail. 2016, 4, 607–616. [Google Scholar] [CrossRef]
- Ingle, L.; Goode, K.; Carroll, S.; Sloan, R.; Boyes, C.; Cleland, J.G.; Clark, A.L. Prognostic value of the VE/VCO slope calculated from different time intervals in patients with suspected heart failure. Int. J. Cardiol. 2007, 118, 350–355. [Google Scholar] [CrossRef]
- Reis, J.F.; Gonçalves, A.; Brás, P.; Moreira, R.; Pereira-Da-Silva, T.; Timóteo, A.T.; Soares, R.; Ferreira, R.C. The prognostic value of the cardiorespiratory optimal point during submaximal exercise testing in heart failure. Rev. Port. Cardiol. 2022, 41, 751–758. [Google Scholar] [CrossRef]
- Guazzi, M.; Arena, R.; Halle, M.; Piepoli, M.F.; Myers, J.; Lavie, C.J. 2016 focused update: Clinical recommendations for cardiopulmonary exercise testing data assessment in specific patient populations. Eur. Heart J. 2018, 39, 1144–1161. [Google Scholar] [CrossRef]
- Nanas, S.; Nanas, J.; Kassiotis, C.; Nikolaou, C.; Tsagalou, E.; Sakellariou, D.; Terovitis, I.; Papazachou, O.; Drakos, S.; Papamichalopoulos, A.; et al. Early recovery of oxygen kinetics after submaximal exercise test predicts functional capacity in patients with chronic heart failure. Eur. J. Heart Fail. 2001, 3, 685–692. [Google Scholar] [CrossRef] [PubMed]
- Guazzi, M.; Bandera, F.; Ozemek, C.; Systrom, D.; Arena, R. Cardiopulmonary Exercise Testing. J. Am. Coll. Cardiol. 2017, 70, 1618–1636. [Google Scholar] [CrossRef]
- Gorodeski, E.Z.; Chu, E.C.; Chow, C.H.; Levy, W.C.; Hsich, E.; Starling, R.C. Application of the Seattle Heart Failure Model in Ambulatory Patients Presented to an Advanced Heart Failure Therapeutics Committee. Circ. Heart Fail. 2010, 3, 706–714. [Google Scholar] [CrossRef]
- Kalogeropoulos, A.P.; Georgiopoulou, V.V.; Giamouzis, G.; Smith, A.L.; Agha, S.A.; Waheed, S.; Laskar, S.; Puskas, J.; Dunbar, S.; Vega, D.; et al. Utility of the Seattle Heart Failure Model in Patients with Advanced Heart Failure. J. Am. Coll. Cardiol. 2009, 53, 334–342. [Google Scholar] [CrossRef] [PubMed]
- Goda, A.; Williams, P.; Mancini, D.; Lund, L.H. Selecting patients for heart transplantation: Comparison of the Heart Failure Survival Score (HFSS) and the Seattle Heart Failure Model (SHFM). J. Heart Lung Transplant. 2011, 30, 1236–1243. [Google Scholar] [CrossRef]
- Levy, W.C.; Arena, R.; Wagoner, L.E.; Dardas, T.; Abraham, W.T. Prognostic Impact of the Addition of Ventilatory Efficiency to the Seattle Heart Failure Model in Patients with Heart Failure. J. Card. Fail. 2012, 18, 614–619. [Google Scholar] [CrossRef] [PubMed]
- Pocock, S.J.; Ariti, C.A.; McMurray, J.J.; Maggioni, A.; Køber, L.; Squire, I.B.; Swedberg, K.; Dobson, J.; Poppe, K.K.; Whalley, G.A.; et al. Predicting survival in heart failure: A risk score based on 39 372 patients from 30 studies. Eur. Heart J. 2013, 34, 1404–1413. [Google Scholar] [CrossRef] [PubMed]
- Sartipy, U.; Dahlström, U.; Edner, M.; Lund, L.H. Predicting survival in heart failure: Validation of the MAGGIC heart failure risk score in 51 043 patients from the Swedish Heart Failure Registry. Eur. J. Heart Fail. 2014, 16, 173–179. [Google Scholar] [CrossRef]
- Abraham, W.T.; Fonarow, G.C.; Albert, N.M.; Stough, W.G.; Gheorghiade, M.; Greenberg, B.H.; O’Connor, C.M.; Sun, J.L.; Yancy, C.W.; Young, J.B. Predictors of In-Hospital Mortality in Patients Hospitalized for Heart Failure. J. Am. Coll. Cardiol. 2008, 52, 347–356. [Google Scholar] [CrossRef]
- Peterson, P.N.; Rumsfeld, J.S.; Liang, L.; Albert, N.M.; Hernandez, A.F.; Peterson, E.D.; Fonarow, G.C.; Masoudi, F.A. A Validated Risk Score for In-Hospital Mortality in Patients with Heart Failure from the American Heart Association Get with the Guidelines Program. Circ. Cardiovasc. Qual. Outcomes 2010, 3, 25–32. [Google Scholar] [CrossRef]
- Nguyen, L.S.; Coutance, G.; Ouldamar, S.; Zahr, N.; Brechot, N.; Galeone, A.; Bougle, A.; Lebreton, G.; Leprince, P.; Varnous, S. Performance of existing risk scores around heart transplantation: Validation study in a 4-year cohort. Transpl. Int. 2018, 31, 520–530. [Google Scholar] [CrossRef] [PubMed]
- Paolillo, S.; Veglia, F.; Salvioni, E.; Corrà, U.; Piepoli, M.; Lagioia, R.; Limongelli, G.; Sinagra, G.; Cattadori, G.; Scardovi, A.B.; et al. Heart failure prognosis over time: How the prognostic role of oxygen consumption and ventilatory efficiency during exercise has changed in the last 20 years. Eur. J. Heart Fail. 2019, 21, 208–217. [Google Scholar] [CrossRef] [PubMed]
- Mezzani, A.; Corrà, U.; Bosimini, E.; Giordano, A.; Giannuzzi, P. Contribution of peak respiratory exchange ratio to peak VO2 prognostic reliability in patients with chronic heart failure and severely reduced exercise capacity. Am. Heart J. 2003, 145, 1102–1107. [Google Scholar] [CrossRef] [PubMed]
- Piechota, W.; Gielerak, G. The prognostic value of stress tests in chronic heart failure. Cardiol. J. 2007, 14, 340–346. [Google Scholar]
- Corrà, U.; Giordano, A.; Mezzani, A.; Pistono, M.; Gnemmi, M.; Kamiya, K.; Giannuzzi, P. Prognostic significance of peak oxygen consumption≤10mL/kg/min in heart failure: Context vs. criteria. Int. J. Cardiol. 2013, 168, 3419–3423. [Google Scholar] [CrossRef]
- Reis, J.F.; Gonçalves, A.V.; Brás, P.G.; Moreira, R.I.; Rio, P.; Timóteo, A.T.; Soares, R.M.; Ferreira, R.C. Capacidade Preditiva dos Parâmetros do Teste de Esforço Cardiopulmonar em Pacientes com Insuficiência Cardíaca em Terapia de Ressincronização Cardíaca. Arq. Bras. Cardiol. 2022, 119, 413–423. [Google Scholar] [CrossRef]
- Cattadori, G.; Agostoni, P.; Corrà, U.; Di Lenarda, A.; Sinagra, G.; Veglia, F.; Salvioni, E.; La Gioia, R.; Scardovi, A.B.; Emdin, M.; et al. Severe heart failure prognosis evaluation for transplant selection in the era of beta-blockers: Role of peak oxygen consumption. Int. J. Cardiol. 2013, 168, 5078–5081. [Google Scholar] [CrossRef]
- Arena, R.; Myers, J.; Abella, J.; Peberdy, M.A.; Bensimhon, D.; Chase, P.; Guazzi, M. Development of a Ventilatory Classification System in Patients with Heart Failure. Circulation 2007, 115, 2410–2417. [Google Scholar] [CrossRef]
- Tabet, J.-Y.; Beauvais, F.; Thabut, G.; Tartière, J.-M.; Logeart, D.; Cohen-Solal, A. A critical appraisal of the prognostic value of the VE/VCO2 slope in chronic heart failure. Eur. J. Prev. Cardiol. 2003, 10, 267–272. [Google Scholar] [CrossRef]
- Ferreira, A.M.; Tabet, J.-Y.; Frankenstein, L.; Metra, M.; Mendes, M.; Zugck, C.; Beauvais, F.; Cohen-Solal, A. Ventilatory Efficiency and the Selection of Patients for Heart Transplantation. Circ. Heart Fail. 2010, 3, 378–386. [Google Scholar] [CrossRef]
- Pereira-Da-Silva, T.; Soares, R.M.; Papoila, A.L.; Pinto, I.; Feliciano, J.; Almeida-Morais, L.; Abreu, A.; Ferreira, R.C. Optimizing risk stratification in heart failure and the selection of candidates for heart transplantation. Rev. Port. Cardiol. 2018, 37, 129–137. [Google Scholar] [CrossRef]
- Armstrong, P.W.; Pieske, B.; Anstrom, K.J.; Ezekowitz, J.; Hernandez, A.F.; Butler, J.; Lam, C.S.; Ponikowski, P.; Voors, A.A.; Jia, G.; et al. Vericiguat in Patients with Heart Failure and Reduced Ejection Fraction. N. Engl. J. Med. 2020, 382, 1883–1893. [Google Scholar] [CrossRef] [PubMed]
- Teerlink, J.R.; Diaz, R.; Felker, G.M.; McMurray, J.J.; Metra, M.; Solomon, S.D.; Adams, K.F.; Anand, I.; Arias-Mendoza, A.; Biering-Sørensen, T.; et al. Cardiac Myosin Activation with Omecamtiv Mecarbil in Systolic Heart Failure. N. Engl. J. Med. 2021, 384, 105–116. [Google Scholar] [CrossRef] [PubMed]
- Ponikowski, P.; Voors, A.A.; Anker, S.D.; Bueno, H.; Cleland, J.G.F.; Coats, A.J.S.; Falk, V.; González-Juanatey, J.R.; Harjola, V.-P.; Jankowska, E.A.; et al. 2016 ESC Guidelines for the diagnosis and treatment of acute and chronic heart failure. Eur. J. Heart Fail. 2016, 18, 891–975. [Google Scholar] [CrossRef]
- Balady, G.J.; Arena, R.; Sietsema, K.E.; Myers, J.; Coke, L.; Fletcher, G.F.; Forman, D.E.; Franklin, B.; Guazzi, M.; Gulati, M.; et al. Clinician’s Guide to Cardiopulmonary Exercise Testing in Adults. Circulation 2010, 122, 191–225. [Google Scholar] [CrossRef] [PubMed]
- Agostoni, P.; Bianchi, M.; Moraschi, A.; Palermo, P.; Cattadori, G.; La Gioia, R.; Bussotti, M.; Wasserman, K. Work-rate affects cardiopulmonary exercise test results in heart failure. Eur. J. Heart Fail. 2005, 7, 498–504. [Google Scholar] [CrossRef] [PubMed]
- Buchfuhrer, M.J.; Hansen, J.E.; Robinson, T.E.; Sue, D.Y.; Wasserman, K.; Whipp, B.J.; Poole, D.C.; Jones, A.M.; Bowen, T.S.; Cannon, D.T.; et al. Optimizing the exercise protocol for cardiopulmonary assessment. J. Appl. Physiol. 1983, 55, 1558–1564. [Google Scholar] [CrossRef] [PubMed]
- Sietsema, K.E.; Stringer, W.W.; Sue, D.Y.; Ward, S. Principles of Exercise Testing and Interpretation: Including Pathophysiology and Clinical Applications, 5th ed.; Lippincott Williams & Wilkins: Philadelphia, PA, USA, 2011. [Google Scholar]




| Overall (n = 487) n, % | Group A (n = 283) n, % | Group B (n = 204) n, % | p-Value | |
|---|---|---|---|---|
| Clinical and demographic data | ||||
| Age (years) | 56 ± 13 | 54 ± 12 | 58 ± 13 | 0.101 |
| Male sex (n, %) | 385 (79) | 215 (76) | 170 (83) | 0.055 |
| Body mass index (kg/m2) | 27.1 ± 4.3 | 26.9 ± 4.2 | 27.3 ± 4.4 | 0.371 |
| Ischemic etiology (n, %) | 276 (57) | 167 (59) | 109 (53) | 0.122 |
| ACEi/ARB (n, %) | 387 (79) | 272 (97) | 115 (56) | <0.001 |
| ARNI (n, %) | 80 (16) | 0 (0) | 80 (39) | <0.001 |
| β-blocker (n, %) | 430 (88) | 247 (87) | 183 (95) | 0.060 |
| MRA (n, %) | 373 (77) | 214 (76) | 159 (82) | 0.089 |
| iSGLT2 (n, %) | 41 (8) | 0 (0) | 41 (20) | <0.001 |
| Digoxin (n, %) | 134 (28) | 108 (38) | 26 (13) | <0.001 |
| Diabetes (n, %) | 108 (22) | 59 (21) | 49 (24) | 0.659 |
| CKD (n, %) | 156 (32) | 102 (36) | 54 (26) | 0.110 |
| AF (n, %) | 122 (25) | 54 (19) | 68 (33) | <0.001 |
| AF catheter ablation (n, %) | 23 (5) | 0 (0) | 23 (11) | <0.001 |
| ICD * (n, %) | 310 (64) | 173 (61) | 137 (67) | 0.121 |
| CRT (n, %) | 112 (23) | 59 (21) | 53 (26) | 0.323 |
| Mitral TEER (n, %) | 16 (3) | 0 (0) | 16 (8) | <0.001 |
| IV ferric carboxymaltose (n, %) | 32 (7) | 0 (0) | 32 (16) | <0.001 |
| NYHA class II | 375 (77) | 221 (78) | 151 (74) | 0.802 |
| NYHA class III | 112 (23) | 62 (22) | 53 (26) | 0.802 |
| HFSS | 8.6 ± 1.1 | 8.7 ± 1.0 | 8.5 ± 1.3 | 0.494 |
| Laboratory data | ||||
| Creatinine, mg/dL | 1.1 ± 0.4 | 1.1 ± 0.3 | 1.1 ± 0.4 | 0.656 |
| eGFR, mL/min/1.73 m2 | 75.1 ± 29.0 | 74.2 ± 30.0 | 76.4 ± 27.6 | 0.415 |
| Sodium, mEq/L | 138.0 ± 3.0 | 137.3 ± 3.2 | 138.9 ± 2.5 | <0.001 |
| NT-proBNP, pg/mL | 2202.5 ± 2101.7 | 2275.3 ± 2189.8 | 1815.9 ± 1643.2 | 0.312 |
| Echocardiographic data | ||||
| LVEDD, mm/m2 | 64.1 ± 10.4 | 67.7 ± 9.8 | 62.6 ± 13.9 | 0.100 |
| LVEF, % | 29.8 ± 7.9 | 29.0 ± 7.5 | 31.3 ± 7.9 | 0.213 |
| MR III-IV, % | 72 (15) | 42 (15) | 30 (15) | 0.257 |
| RV dysfunction (n, %) | 60 (12) | 40 (14) | 20 (10) | 0.638 |
| CPET parameters | ||||
| CPET duration | 9.7 ± 4.4 | 10.4 ± 4.2 | 8.6 ± 4.5 | <0.001 |
| Peak RER | 1.13 ± 0.06 | 1.14 ± 0.07 | 1.12 ± 0.05 | 0.003 |
| Delta HR during exercise | 49 [35–68] * | 53 [39–70] | 45 [31–61] | <0.001 |
| HHR1 | 17 [10–26] | 17 [11–26] | 16 [9–27] | 0.120 |
| pVO2, mL/kg/min | 18.3 ± 5.9 | 19.7 ± 5.7 | 16.4 ± 6.1 | <0.001 |
| VE/VCO2 slope | 33.9 ± 9.6 | 31.3 ± 7.4 | 35.3 ± 9.8 | <0.001 |
| pVO2, mL/kg/min at AT | 13.6 ± 4.6 | 15.5 ± 4.2 | 13.3 ± 4.6 | 0.048 |
| O2 pulse, mL/kg/beat | 0.14 ± 0.06 | 0.14 ± 0.04 | 0.13 ± 0.08 | 0.063 |
| Circulatory power, mmHg·mL/kg/min | 2798 ± 1550 | 3069 ± 1211 | 2420 ± 1862 | <0.001 |
| Ventilatory power, mmHg | 4.8 ± 1.6 | 5.2 ± 1.6 | 4.1 ± 1.4 | <0.001 |
| COP | 29.4 ± 7.4 | 29.2 ± 8.0 | 29.4 ± 7.4 | 0.940 |
| PetCO2 at rest, mmHg | 33.6 ± 4.9 | 33.1 ± 4.4 | 34.4 ± 5.3 | 0.007 |
| PetCO2 at AT, mmHg | 36.8 ± 6.0 | 36.8 ± 6.1 | 36.7 ± 5.9 | 0.846 |
| Overall (n = 487) n, % | Group A (n = 283) n, % | Group B (n = 204) n, % | p-Value | |
|---|---|---|---|---|
| Clinical and demographic data | ||||
| Combined primary endpoint | 70 (14.4%) | 55 (19.4%) | 15 (7.4%) | <0.001 |
| Total mortality | 61 (12.5%) | 48 (17.0%) | 13 (6.4%) | <0.001 |
| Cardiac mortality | 52 (10.7%) | 42 (14.8%) | 10 (4.9%) | <0.001 |
| Sudden cardiac death | 19 (3.9%) | 16 (5.6%) | 3 (1.5%) | 0.018 |
| Death from worsening HF | 33 (6.8%) | 26 (9.2%) | 7 (3.4%) | 0.013 |
| Urgent HT | 18 (3.7%) | 13 (4.6%) | 5 (2.5%) | 0.216 |
| Total Cohort | ||||||
|---|---|---|---|---|---|---|
| Model | Univariable HR | 95% CI | p-Value | Multivariable HR | 95% CI | p-Value |
| Age | 1.002 | 0.983 to 1.020 | 0.865 | |||
| Male gender | 1.451 | 0.762 to 2.762 | 0.257 | |||
| BMI | 0.955 | 0.900 to 1.012 | 0.121 | 0.983 | 0.918 to 1.051 | 0.610 |
| LVEF | 0.924 | 0.879 to 0.952 | <0.001 | 0.934 | 0.905 to 0.964 | <0.001 |
| eGFR | 0.979 | 0.970 to 0.989 | <0.001 | 0.986 | 0.975 to 0.996 | 0.005 |
| Diabetes | 1.148 | 0.637 to 2.070 | 0.871 | |||
| Smoker | 1.604 | 0.986 to 2.610 | 0.225 | |||
| Peak VO2 | 0.879 | 0.840 to 0.920 | <0.001 | 0.871 | 0.810 to 0.937 | <0.001 |
| Percent of predicted pVO2 | 0.960 | 0.948 to 0.973 | <0.001 | 0.953 | 0.934 to 0.972 | <0.001 |
| VE/VCO2 slope | 1.058 | 1.041 to 1.075 | <0.001 | 1.027 | 1.005 to 1.051 | 0.019 |
| Peak VO2 at AT, mL/kg/min | 0.857 | 0.740 to 0.993 | 0.040 | 0.992 | 0.727 to 1.353 | 0.959 |
| O2 pulse, mL/kg/beat | 0.883 | 0.818 to 0.953 | 0.001 | 0.963 | 0.880 to 1.056 | 0.429 |
| Circulatory power, mmHg·mL/kg/min | 0.999 | 0.999 to 0.999 | <0.001 | 0.999 | 0.999 to 1.000 | 0.075 |
| Ventilatory power, mmHg | 0.575 | 0.483 to 0.684 | <0.001 | 0.775 | 0.564 to 1.011 | 0.755 |
| COP | 1.094 | 1.035 to 1.156 | 0.002 | 1.070 | 0.975 to 1.175 | 0.155 |
| PetCO2 at rest, mmHg | 0.895 | 0.849 to 0.943 | <0.001 | 0.945 | 0.892 to 1.001 | 0.056 |
| PetCO2 at AT, mmHg | 0.864 | 0.827 to 0.901 | <0.001 | 0.931 | 0.872 to 0.994 | 0.032 |
| Group A | ||||||
| Model | Univariable HR | 95% CI | p-value | Multivariable HR | 95% CI | p-value |
| Age | 1.004 | 0.982 to 1.026 | 0.738 | |||
| Male gender | 1.662 | 0.814 to 3.396 | 0.163 | 1.371 | 0.627 to 2.999 | 0.429 |
| BMI | 0.978 | 0.916 to 1.045 | 0.515 | |||
| LVEF | 0.929 | 0.898 to 0.961 | <0.001 | 0.954 | 0.920 to 0.989 | 0.010 |
| eGFR | 0.985 | 0.974 to 0.995 | 0.004 | 0.995 | 0.985 to 1.005 | 0.333 |
| Diabetes | 1.025 | 0.538 to 1.950 | 0.941 | |||
| Smoker | 1.737 | 1.007 to 2.997 | 0.047 | 1.018 | 0.545 to 1.902 | 0.956 |
| Peak VO2 | 0.804 | 0.752 to 0.860 | <0.001 | 0.862 | 0.794 to 0.936 | <0.001 |
| Percent of predicted pVO2 | 0.937 | 0.920 to 0.954 | <0.001 | 0.949 | 0.926 to 0.973 | <0.001 |
| VE/VCO2 slope | 1.103 | 1.078 to 1.128 | <0.001 | 1.062 | 1.026 to 1.099 | 0.001 |
| Peak VO2 at AT, mL/kg/min | 0.907 | 0.677 to 1.215 | 0.513 | 0.896 | 0.648 to 1.239 | 0.507 |
| O2 pulse, mL/kg/beat | 0.857 | 0.779 to 0.994 | 0.002 | 0.928 | 0.831 to 1.037 | 0.188 |
| Circulatory power, mmHg·mL/kg/min | 0.999 | 0.999 to 0.999 | <0.001 | 0.999 | 0.999 to 1.000 | 0.440 |
| Ventilatory power, mmHg | 0.513 | 0.421 to 0.625 | <0.001 | 0.844 | 0.593 to 1.201 | 0.346 |
| COP | 1.153 | 0.760 to 1.748 | 0.503 | 1.114 | 0.623 to 1.996 | 0.715 |
| PetCO2 at rest, mmHg | 0.918 | 0.860 to 0.980 | 0.010 | 0.962 | 0.903 to 1.027 | 0.251 |
| PetCO2 at AT, mmHg | 0.866 | 0.828 to 0.907 | <0.001 | 0.984 | 0.924 to 1.047 | 0.602 |
| Group B | ||||||
| Model | Univariable HR | 95% CI | p-value | Multivariable HR | 95% CI | p-value |
| Age | 1.015 | 0.974 to 1.058 | 0.485 | |||
| Male gender | 1.172 | 0.264 to 5.197 | 0.834 | |||
| BMI | 0.883 | 0.777 to 1.004 | 0.057 | 0.870 | 0.703 to 1.078 | 0.204 |
| LVEF | 0.933 | 0.873 to 0.997 | 0.041 | 0.946 | 0.857 to 1.045 | 0.274 |
| eGFR | 0.957 | 0.933 to 0.982 | 0.001 | 0.957 | 0.931 to 0.995 | 0.026 |
| Diabetes | 1.873 | 0.419 to 2.389 | 0.412 | |||
| Smoker | 1.775 | 0.594 to 5.303 | 0.304 | |||
| Peak VO2 | 0.951 | 0.760 to 0.952 | 0.005 | 0.951 | 0.589 to 0.952 | 0.018 |
| Percent of predicted pVO2 | 0.953 | 0.923 to 0.983 | 0.003 | 0.936 | 0.882 to 0.992 | 0.027 |
| VE/VCO2 slope | 1.066 | 1.033 to 1.101 | <0.001 | 1.058 | 1.002 to 1.117 | 0.040 |
| Peak VO2 at AT, mL/kg/min | 0.819 | 0.687 to 0.978 | 0.027 | 0.831 | 0.551 to 1.256 | 0.380 |
| O2 pulse, mL/kg/beat | 0.839 | 0.706 to 0.996 | 0.045 | 0.956 | 0.775 to 1.181 | 0.678 |
| Circulatory power, mmHg·mL/kg/min | 0.999 | 0.998 to 1.000 | 0.002 | 0.999 | 0.997 to 1.000 | 0.131 |
| Ventilatory power, mmHg | 0.383 | 0.213 to 0.688 | 0.001 | 0.559 | 0.234 to 1.337 | 0.191 |
| COP | 1.106 | 1.045 to 1.170 | <0.001 | 1.082 | 0.985 to 1.190 | 0.101 |
| PetCO2 at rest, mmHg | 0.850 | 0.771 to 0.937 | 0.001 | 0.866 | 0.749 to 1.000 | 0.050 |
| PetCO2 at AT, mmHg | 0.848 | 0.753 to 0.954 | 0.006 | 0.936 | 0.787 to 1.114 | 0.458 |
| Group A (n = 283) | Group B (n = 204) | ||||||
|---|---|---|---|---|---|---|---|
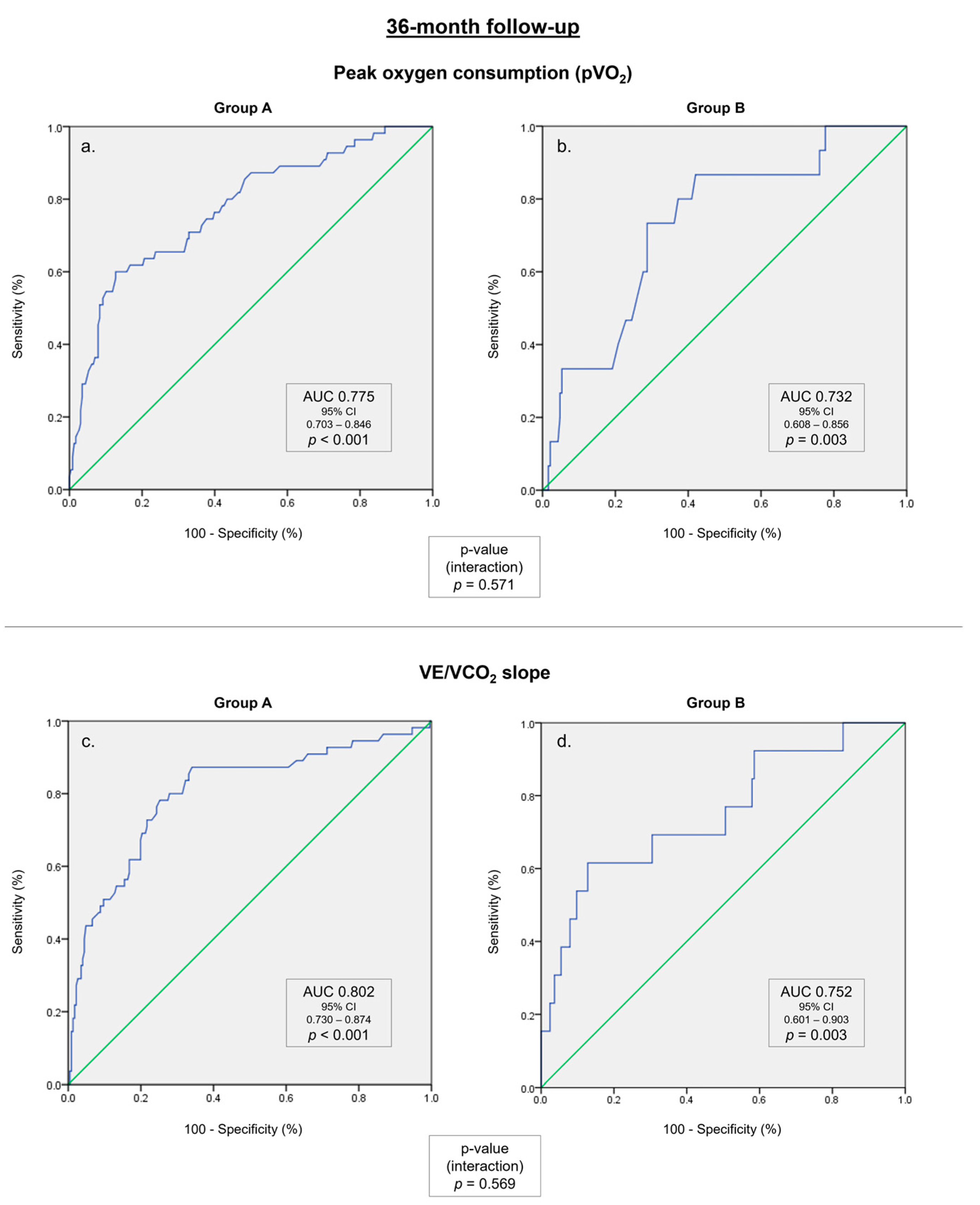
| CPET Parameters | AUC | 95% CI | p-Value | AUC | 95% CI | p-Value | p-Value * (Interaction) |
| pVO2, mL/kg/min | 0.775 | 0.703–0.846 | <0.001 | 0.732 | 0.608–0.856 | 0.003 | 0.571 |
| Predicted pVO2 (%) | 0.787 | 0.718–0.856 | <0.001 | 0.725 | 0.594–0.855 | 0.004 | 0.420 |
| VE/VCO2 slope | 0.802 | 0.730–0.874 | <0.001 | 0.752 | 0.601–0.903 | 0.003 | 0.569 |
| pVO2, mL/kg/min at AT | 0.569 | 0.253–0.885 | 0.711 | 0.682 | 0.475–0.888 | 0.070 | 0.719 |
| O2 pulse, mL/kg/beat | 0.629 | 0.540–0.719 | 0.003 | 0.670 | 0.517–0.823 | 0.029 | 0.478 |
| Circulatory power, mmHg·mL/kg/min | 0.779 | 0.713–0.845 | <0.001 | 0.717 | 0.597–0.836 | <0.001 | 0.913 |
| Ventilatory power, mmHg | 0.781 | 0.711–0.851 | <0.001 | 0.719 | 0.587–0.852 | 0.001 | 0.915 |
| COP | 0.692 | 0.441–0.93 | 0.535 | 0.704 | 0.556–0.852 | 0.008 | 0.873 |
| PetCO2 at rest, mmHg | 0.599 | 0.515–0.684 | 0.025 | 0.716 | 0.584–0.848 | 0.003 | 0.095 |
| PetCO2 at AT, mmHg | 0.739 | 0.666–0.812 | <0.001 | 0.705 | 0.512–0.899 | 0.024 | 0.567 |
| Group A (n = 283) | Group B (n = 204) | |||||||
|---|---|---|---|---|---|---|---|---|
| CPET Thresholds | Specificity | Sensitivity | Youden Index | PPV | Specificity | Sensitivity | Youden Index | PPV |
| pVO2 ≤ 12 mL/kg/min * | 97% | 25% | 0.22 | 59% | 76% | 46% | 0.22 | 13% |
| pVO2 ≤ 10 mL/kg/min | 98% | 13% | 0.11 | 67% | 94% | 36% | 0.30 | 29% |
| VE/VCO2 slope > 35 | 83% | 58% | 0.41 | 46% | 52% | 67% | 0.19 | 10% |
| VE/VCO2 slope > 40 | 96% | 35% | 0.31 | 68% | 81% | 62% | 0.43 | 20% |
| Percent of predicted pVO2 ≤ 50% | 87% | 51% | 0.38 | 48% | 60% | 67% | 0.27 | 12% |
| Percent of predicted pVO2 ≤ 40% | 96% | 24% | 0.20 | 59% | 88% | 40% | 0.28 | 20% |
Disclaimer/Publisher’s Note: The statements, opinions and data contained in all publications are solely those of the individual author(s) and contributor(s) and not of MDPI and/or the editor(s). MDPI and/or the editor(s) disclaim responsibility for any injury to people or property resulting from any ideas, methods, instructions or products referred to in the content. |
© 2023 by the authors. Licensee MDPI, Basel, Switzerland. This article is an open access article distributed under the terms and conditions of the Creative Commons Attribution (CC BY) license (https://creativecommons.org/licenses/by/4.0/).
Share and Cite
Garcia Brás, P.; Gonçalves, A.V.; Reis, J.F.; Moreira, R.I.; Pereira-da-Silva, T.; Rio, P.; Timóteo, A.T.; Silva, S.; Soares, R.M.; Ferreira, R.C. Cardiopulmonary Exercise Testing in the Age of New Heart Failure Therapies: Still a Powerful Tool? Biomedicines 2023, 11, 2208. https://doi.org/10.3390/biomedicines11082208
Garcia Brás P, Gonçalves AV, Reis JF, Moreira RI, Pereira-da-Silva T, Rio P, Timóteo AT, Silva S, Soares RM, Ferreira RC. Cardiopulmonary Exercise Testing in the Age of New Heart Failure Therapies: Still a Powerful Tool? Biomedicines. 2023; 11(8):2208. https://doi.org/10.3390/biomedicines11082208
Chicago/Turabian StyleGarcia Brás, Pedro, António Valentim Gonçalves, João Ferreira Reis, Rita Ilhão Moreira, Tiago Pereira-da-Silva, Pedro Rio, Ana Teresa Timóteo, Sofia Silva, Rui M. Soares, and Rui Cruz Ferreira. 2023. "Cardiopulmonary Exercise Testing in the Age of New Heart Failure Therapies: Still a Powerful Tool?" Biomedicines 11, no. 8: 2208. https://doi.org/10.3390/biomedicines11082208
APA StyleGarcia Brás, P., Gonçalves, A. V., Reis, J. F., Moreira, R. I., Pereira-da-Silva, T., Rio, P., Timóteo, A. T., Silva, S., Soares, R. M., & Ferreira, R. C. (2023). Cardiopulmonary Exercise Testing in the Age of New Heart Failure Therapies: Still a Powerful Tool? Biomedicines, 11(8), 2208. https://doi.org/10.3390/biomedicines11082208

