Comparison of Optical Ammonia-Sensing Properties of Conducting Polymer Complexes with Polysulfonic Acids
Abstract
:1. Introduction
2. Materials and Methods
2.1. Synthesis of Sensor Films
2.2. Sensing Experiments and Instrumentation
3. Results and Discussion
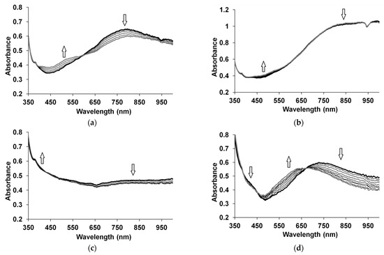
3.1. Spectral Changes in CP Films during Exposition to Ammonia
3.2. Sensing Properties
3.3. Morphology of CP Films
3.4. Specific Features of Sensing Properties of CP Polyacid Films
3.5. Regeneration
4. Conclusions
- CP-polyacid films with a deprotonation mechanism could more rapidly respond to ammonia because the hydrogen ions could easily migrate via sulfoacid sites from the bulk to the surface of the film, causing deprotonation in the deeper areas of the film. This resulted in deeper spectral changes;
- The presence of excessive protons of polyacid in the films decreased their optical response amplitude and increased the response time due to partial neutralization of ammonia by these excessive protons. This phenomenon could be eliminated by treatment of the films in CaCl2, resulting in cross-linking of sulfogroups from adjacent polyacid chains by Ca2+ ions;
- In the case of CPs with a preference for a reduction mechanism of sensing (PEDOT, PPy), the complexes with rigid-chain polyacids exhibited higher amplitudes of optical response than the complexes with flexible-chain polyacids. This was due to the fact that their reduction proceeded mainly via a single transition from the first oxidized state (polaronic) to the reduced state;
- In the case of CPs with a preference for a deprotonation mechanism of sensing (PANI), a high—and the most rapid—optical response was observed independently of the structure of the polyacid dopant and the morphology of the PANI polyacid films. Surprisingly, the PANI complex with the popular PSSA demonstrated the worst sensing properties.
Author Contributions
Funding
Institutional Review Board Statement
Informed Consent Statement
Data Availability Statement
Acknowledgments
Conflicts of Interest
References
- Bai, H.; Shi, G. Gas sensors based on conducting polymers. Sensors 2007, 7, 267–307. [Google Scholar] [CrossRef] [Green Version]
- Wong, Y.C.; Ang, B.C.; Haseeb, A.S.M.A.; Baharuddin, A.A.; Wong, Y.H. Review—Conducting Polymers as Chemiresistive Gas Sensing Materials: A Review. J. Electrochem. Soc. 2020, 167, 037503. [Google Scholar] [CrossRef]
- Lakard, B.; Carquigny, S.; Segut, O.; Patois, T.; Lakard, S. Gas Sensors Based on Electrodeposited Polymers. Metals 2015, 5, 1371–1386. [Google Scholar] [CrossRef] [Green Version]
- Lange, U.; Roznyatovskaya, N.V.; Mirsky, V.M. Conducting polymers in chemical sensors and arrays. Anal. Chim. Acta 2008, 614, 1–26. [Google Scholar] [CrossRef]
- Su, P.-G.; Lee, C.-T.; Chou, C.-Y. Flexible NH3 sensors fabricated by in situ self-assembly of polypyrrole. Talanta 2009, 80, 763–769. [Google Scholar] [CrossRef]
- Wang, S.; Liu, B.; Duan, Z.; Zhao, Q.; Zhang, Y.; Xie, G.; Jiang, Y.; Li, S.; Tai, H. PANI nanofibers-supported Nb2CTx nanosheets-enabled selective NH3 detection driven by TENG at room temperature. Sens. Actuators B Chem. 2021, 327, 128923. [Google Scholar] [CrossRef]
- Zhang, Y.; Zhang, J.; Jiang, Y.; Duan, Z.; Liu, B.; Zhao, Q.; Wang, S.; Yuan, Z.; Tai, H. Ultrasensitive flexible NH3 gas sensor based on polyaniline/SrGe4O9 nanocomposite with ppt-level detection ability at room temperature. Sens. Actuators B Chem. 2020, 319, 128293. [Google Scholar] [CrossRef]
- Tavoli, F.; Alizadeh, N. Optical ammonia gas sensor based on nanostructure dye-doped polypyrrole. Sens. Actuators B Chem. 2013, 176, 761–767. [Google Scholar] [CrossRef]
- Jin, Z.; Su, Y.; Duan, Y. Development of a polyaniline-based optical ammonia sensor. Sens. Actuators B Chem. 2001, 72, 75–79. [Google Scholar] [CrossRef]
- Kebiche, H.; Debarnot, D.; Merzouki, A.; Poncin-Epaillard, F.; Haddaoui, N. Relationship between ammonia sensing properties of polyaniline nanostructures and their deposition and synthesis methods. Anal. Chim. Acta 2012, 737, 64–71. [Google Scholar] [CrossRef] [PubMed]
- Duboriz, I.; Pud, A. Polyaniline/poly(ethylene terephthalate) film as a new optical sensing material. Sens. Actuators B Chem. 2014, 190, 398–407. [Google Scholar] [CrossRef]
- Christie, S.; Scorsone, E.; Persaud, K.; Kvasnik, F. Remote detection of gaseous ammonia using the near infrared transmission properties of polyaniline. Sens. Actuators B Chem. 2003, 90, 163–169. [Google Scholar] [CrossRef]
- Ismail, A.H.; Mohd Yahya, N.A.; Yaacob, M.H.; Mahdi, M.A.; Sulaiman, Y. Optical ammonia gas sensor of poly(3,4-polyethylenedioxythiophene), polyaniline and polypyrrole: A comparative study. Synth. Met. 2020, 260, 116294. [Google Scholar] [CrossRef]
- Ismail, A.H.; Mohd Yahya, N.A.; Mahdi, M.A.; Yaacob, M.H.; Sulaiman, Y. Gasochromic response of optical sensing platform integrated with polyaniline and poly(3,4-ethylenedioxythiophene) exposed to NH3 gas. Polymer 2020, 192, 122313. [Google Scholar] [CrossRef]
- Carquigny, S.; Sanchez, J.B.; Berger, F.; Lakard, B.; Lallemand, F. Ammonia gas sensor based on electrosynthesized polypyrrole films. Talanta 2009, 78, 199–206. [Google Scholar] [CrossRef]
- Gribkova, O.L.; Kabanova, V.A.; Nekrasov, A.A. Electrodeposition of thin films of polypyrrole-polyelectrolyte complexes and their ammonia-sensing properties. J. Solid State Electrochem. 2020, 24, 3091–3103. [Google Scholar] [CrossRef]
- Łapkowski, M. Electrochemical synthesis of polyaniline/poly(2-acryl-amido-2-methyl-1-propane-sulfonic acid) composite. Synth. Met. 1993, 55, 1558–1563. [Google Scholar] [CrossRef]
- Hyodo, K.; Nozaki, M. High ion selective electrochemical synthesis of polyaniline. Electrochim. Acta 1988, 33, 165–166. [Google Scholar] [CrossRef]
- Gustafsson, J.; Liedberg, B.; Inganas, O. In situ spectroscopic investigations of electrochromism and ion transport in a poly (3,4-ethylenedioxythiophene) electrode in a solid state electrochemical cell. Solid State Ion. 1994, 69, 145–152. [Google Scholar] [CrossRef]
- Bobacka, J.; Lewenstam, A.; Ivaska, A. Electrochemical impedance spectroscopy of oxidized poly(3,4-ethylenedioxythiophene) film electrodes in aqueous solutions. J. Electroanal. Chem. 2000, 489, 17–27. [Google Scholar] [CrossRef]
- Shimidzu, T.; Ohtani, A.; Iyoda, T.; Honda, K. Charge-controllable polypyrrole/polyelectrolyte composite membranes. Part II. Effect of incorporated anion size on the electrochemical oxidation-reduction process. J. Electroanal. Chem. 1987, 224, 123–135. [Google Scholar] [CrossRef]
- Gribkova, O.L.; Kabanova, V.A.; Iakobson, O.D.; Nekrasov, A.A. Spectroelectrochemical investigation of electrodeposited polypyrrole complexes with sulfonated polyelectrolytes. Electrochim. Acta 2021, 382, 138307. [Google Scholar] [CrossRef]
- Gribkova, O.L.; Iakobson, O.D.; Nekrasov, A.A.; Cabanova, V.A.; Tverskoy, V.A.; Tameev, A.R.; Vannikov, A.V. Ultraviolet-Visible-Near Infrared and Raman spectroelectrochemistry of poly(3,4-ethylenedioxythiophene) complexes with sulfonated polyelectrolytes. The role of inter- and intra-molecular interactions in polyelectrolyte. Electrochim. Acta 2016, 222, 409–420. [Google Scholar] [CrossRef]
- Nekrasov, A.A.; Gribkova, O.L.; Eremina, T.V.; Isakova, A.A.; Ivanov, V.F.; Tverskoj, V.A.; Vannikov, A.V. Electrochemical synthesis of polyaniline in the presence of poly(amidosulfonic acid)s with different rigidity of polymer backbone and characterization of the films obtained. Electrochim. Acta 2008, 53, 3789–3797. [Google Scholar] [CrossRef]
- Gribkova, O.L.; Nekrasov, A.A.; Ivanov, V.F.; Zolotorevsky, V.I.; Vannikov, A.V. Templating effect of polymeric sulfonic acids on electropolymerization of aniline. Electrochim. Acta 2014, 122, 150–158. [Google Scholar] [CrossRef]
- Lyutov, V.; Kabanova, V.; Gribkova, O.; Nekrasov, A.; Tsakova, V. Electrochemically-Obtained Polysulfonic-Acids Doped Polyaniline Films—A Comparative Study by Electrochemical, Microgravimetric and XPS Methods. Polymers 2020, 12, 1050. [Google Scholar] [CrossRef]
- Lyutov, V.; Ivanov, S.; Mirsky, V.; Tsakova, V. Polyaniline doped with poly(acrylamidomethylpropanesulphonic acid): Electrochemical behaviour and conductive properties in neutral solutions. Chem. Pap. 2013, 67, 1002–1011. [Google Scholar] [CrossRef]
- Lyutov, V.; Efimov, I.; Bund, A.; Tsakova, V. Electrochemical polymerization of 3,4-ethylenedioxythiophene in the presence of dodecylsulfate and polysulfonic anions—An acoustic impedance study. Electrochim. Acta 2014, 122, 21–27. [Google Scholar] [CrossRef]
- Kirsh, Y.E.; Fedotov, Y.A.; Iudina, N.A.; Artemov, D.Y.; Nekrasova, T.N. Polyelectrolyte properties of sulphur-containing polyamides based on isophthalic and terephthalic acids in aqueous solutions. Polym. Sci. USSR 1991, 33, 1040–1047. [Google Scholar] [CrossRef]
- Rabinovich, V.A.; Yakovlevich, K.Z. Kratkii Khimicheskii Spravochnik (Short Chemical Handbook); Khimiya: Moscow, Russia, 1977. [Google Scholar]
- Chen, J.; Lotfi, A.; Hesketh, P.J.; Kumar, S. Carbon nanotube thin-film-transistors for gas identification. Sens. Actuators B Chem. 2019, 281, 1080–1087. [Google Scholar] [CrossRef]
- Anwane, R.S.; Kondawar, S.B.; Late, D.J. Bessel’s polynomial fitting for electrospun polyacrylonitrile/polyaniline blend nanofibers based ammonia sensor. Mater. Lett. 2018, 221, 70–73. [Google Scholar] [CrossRef]
- Zhang, Y.; Kim, J.J.; Chen, D.; Tuller, H.L.; Rutledge, G.C. Electrospun Polyaniline Fibers as Highly Sensitive Room Temperature Chemiresistive Sensors for Ammonia and Nitrogen Dioxide Gases. Adv. Funct. Mater. 2014, 24, 4005–4014. [Google Scholar] [CrossRef] [Green Version]
- Tager, A.A. Physicochemistry of Polymers (4th Edition, Revised and Supplemented); Scientific World: Moscow, Russia, 2007; ISBN 978-589-176-437-8. [Google Scholar]
- Łapkowski, M.; Proń, A. Electrochemical oxidation of poly(3,4-ethylenedioxythiophene)—“in situ” conductivity and spectroscopic investigations. Synth. Met. 2000, 110, 79–83. [Google Scholar] [CrossRef]
- Kwon, O.S.; Park, E.; Kweon, O.Y.; Park, S.J.; Jang, J. Novel flexible chemical gas sensor based on poly(3,4-ethylenedioxythiophene) nanotube membrane. Talanta 2010, 82, 1338–1343. [Google Scholar] [CrossRef]
- Jang, J.; Chang, M.; Yoon, H. Chemical Sensors Based on Highly Conductive Poly(3,4-ethylenedioxythiophene) Nanorods. Adv. Mater. 2005, 17, 1616–1620. [Google Scholar] [CrossRef]
- Gustafsson, G.; Lundström, I.; Liedberg, B.; Wu, C.R.; Inganäs, O.; Wennerström, O. The interaction between ammonia and poly(pyrrole). Synth. Met. 1989, 31, 163–179. [Google Scholar] [CrossRef]
- Qian, R.; Pei, Q.; Huang, Z. The role of H+ ions in the electrochemical polymerization of pyrrole. Die Makromol. Chem. 1991, 192, 1263–1273. [Google Scholar] [CrossRef]
- Nekrasov, A.A.; Ivanov, V.F.; Vannikov, A.V. Analysis of the structure of polyaniline absorption spectra based on spectroelectrochemical data. J. Electroanal. Chem. 2000, 482, 11–17. [Google Scholar] [CrossRef]
- Stejskal, J.; Kratochvíl, P.; Radhakrishnan, N. Polyaniline dispersions 2. UV—Vis absorption spectra. Synth. Met. 1993, 61, 225–231. [Google Scholar] [CrossRef]
- Kukla, A.L.; Shirshov, Y.M.; Piletsky, S.A. Ammonia sensors based on sensitive polyaniline films. Sens. Actuators B Chem. 1996, 37, 135–140. [Google Scholar] [CrossRef]
- Health and Safety Executive EH40/2005. Workplace exposure limits limits for use with the Control of Substances (Fourth Edition 2020). Tso 2020, 2002, 61. [Google Scholar]
- Wojkiewicz, J.L.; Bliznyuk, V.N.; Carquigny, S.; Elkamchi, N.; Redon, N.; Lasri, T.; Pud, A.A.; Reynaud, S. Nanostructured polyaniline-based composites for ppb range ammonia sensing. Sens. Actuators B Chem. 2011, 160, 1394–1403. [Google Scholar] [CrossRef]
- Kumar, L.; Rawal, I.; Kaur, A.; Annapoorni, S. Flexible room temperature ammonia sensor based on polyaniline. Sens. Actuators B Chem. 2017, 240, 408–416. [Google Scholar] [CrossRef]
- Gribkova, O.L.; Nekrasov, A.A.; Trchova, M.; Ivanov, V.F.; Sazikov, V.I.; Razova, A.B.; Tverskoy, V.A.; Vannikov, A.V. Chemical synthesis of polyaniline in the presence of poly(amidosulfonic acids) with different rigidity of the polymer chain. Polymer 2011, 52, 2474–2484. [Google Scholar] [CrossRef]










| ∆A at 25 ppm, % | tr, s (25 ppm) | Rq, nm | D, 10−13, cm2/s | |
|---|---|---|---|---|
| PEDOT-PAMPSA | 6.17 | 637 | 25.3 | 6.67 |
| PSSA | 6.03 | 594 | 17.3 | 15.4 |
| i-PASA | 11.36 | 636 | 16.9 | 16.2 |
| t-PASA | 10.53 | 580 | 10.9 | 11.1 |
| PPy-PAMPSA | 1.76 | 488 | 24.6 | 5.31 |
| PSSA | 1.66 | 445 | 21.2 | 5.65 |
| i-PASA | 2.91 | 574 | 9.95 | 2.68 |
| t-PASA | 2.56 | 762 | 15.5 | 3.9 |
| PANI-PAMPSA | 10.10 | 81 | 41.2 | 66.5 |
| PSSA | 4.86 | 57 | 9.7 | 14.7 |
| i-PASA | 5.75 | 170 | 16.3 | 22.7 |
| t-PASA | 6.60 | 123 | 29.1 | 54.5 |
Publisher’s Note: MDPI stays neutral with regard to jurisdictional claims in published maps and institutional affiliations. |
© 2021 by the authors. Licensee MDPI, Basel, Switzerland. This article is an open access article distributed under the terms and conditions of the Creative Commons Attribution (CC BY) license (https://creativecommons.org/licenses/by/4.0/).
Share and Cite
Gribkova, O.; Kabanova, V.; Tverskoy, V.; Nekrasov, A. Comparison of Optical Ammonia-Sensing Properties of Conducting Polymer Complexes with Polysulfonic Acids. Chemosensors 2021, 9, 206. https://doi.org/10.3390/chemosensors9080206
Gribkova O, Kabanova V, Tverskoy V, Nekrasov A. Comparison of Optical Ammonia-Sensing Properties of Conducting Polymer Complexes with Polysulfonic Acids. Chemosensors. 2021; 9(8):206. https://doi.org/10.3390/chemosensors9080206
Chicago/Turabian StyleGribkova, Oxana, Varvara Kabanova, Vladimir Tverskoy, and Alexander Nekrasov. 2021. "Comparison of Optical Ammonia-Sensing Properties of Conducting Polymer Complexes with Polysulfonic Acids" Chemosensors 9, no. 8: 206. https://doi.org/10.3390/chemosensors9080206
APA StyleGribkova, O., Kabanova, V., Tverskoy, V., & Nekrasov, A. (2021). Comparison of Optical Ammonia-Sensing Properties of Conducting Polymer Complexes with Polysulfonic Acids. Chemosensors, 9(8), 206. https://doi.org/10.3390/chemosensors9080206
