Fluorescent Calix[4]arene-Carbazole-Containing Polymers as Sensors for Nitroaromatic Explosives
Abstract
1. Introduction
2. Materials and Methods
2.1. Materials
2.2. Instruments and Methods
2.3. Computational Methods
3. Results and Discussion
3.1. Synthesis and Structural Characterisation of Calix-PPE-CBZs
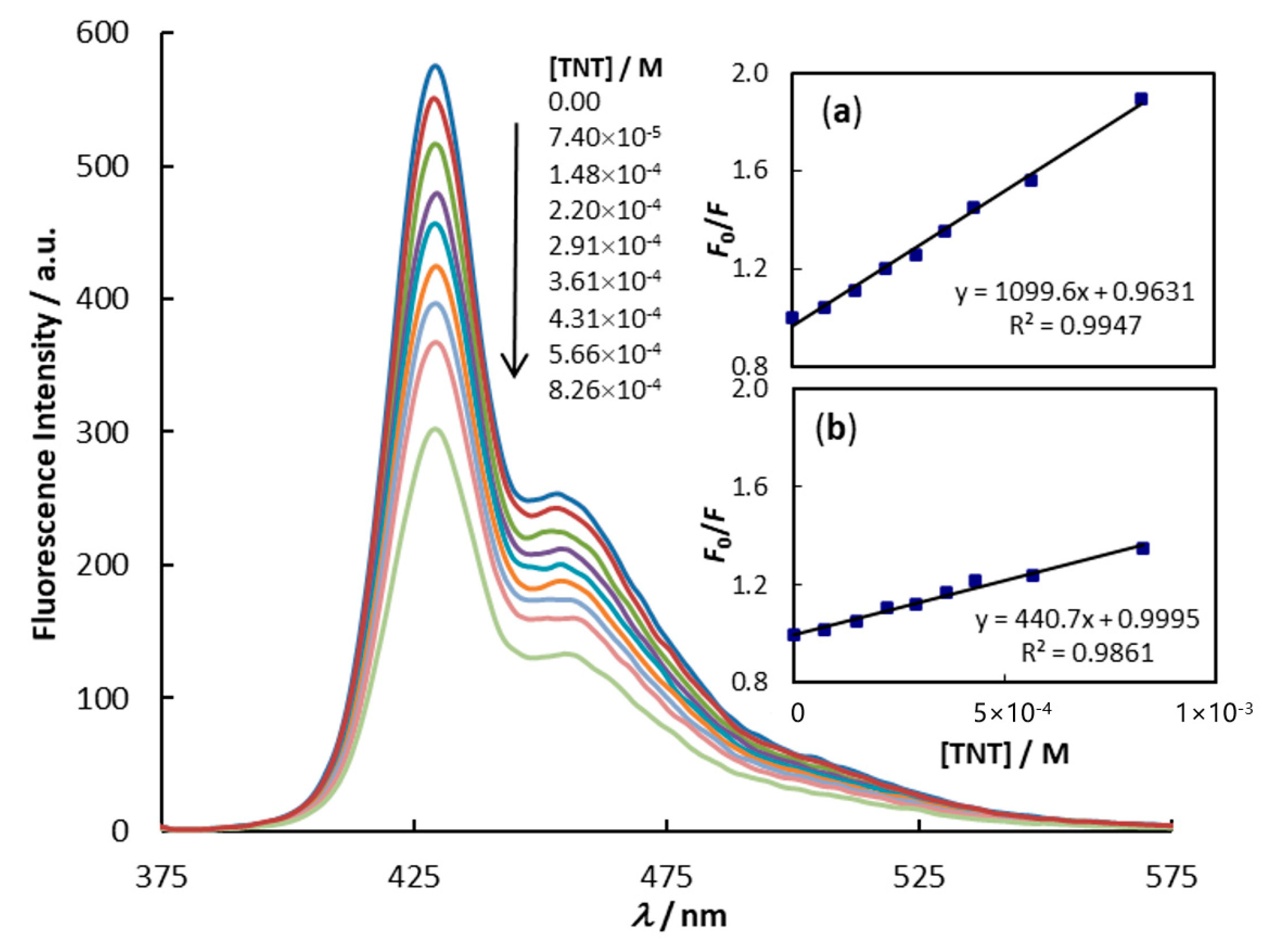
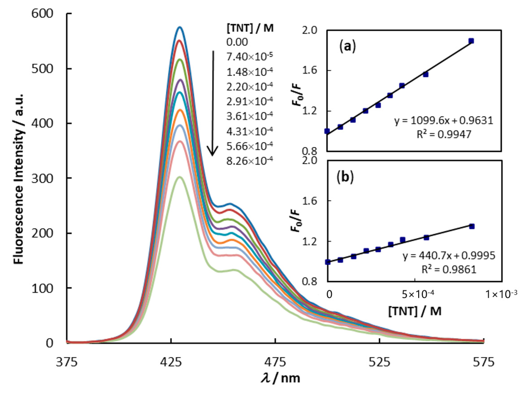
3.2. Solution Quenching Studies
3.3. Solid State Quenching Studies
4. Conclusions
Supplementary Materials
Author Contributions
Funding
Conflicts of Interest
References
- Salinas, Y.; Martínez-Máñez, R.; Marcos, M.D.; Sancenón, F.; Costero, A.M.; Parra, M.; Gil, S. Optical chemosensors and reagents to detect explosives. Chem. Soc. Rev. 2012, 41, 1261–1296. [Google Scholar] [CrossRef]
- Germain, M.E.; Knapp, M.J. Optical explosives detection: From color changes to fluorescence turn-on. Chem. Soc. Rev. 2009, 38, 2543–2555. [Google Scholar] [CrossRef]
- Martelo, L.M.; Marques, L.F.; Burrows, H.D.; Berberan-Santos, M.N. Explosives detection: From sensing to response. In Fluorescence in Industry; Pedras, B., Ed.; Springer Series on Fluorescence (Methods and Applications); Springer: Cham, Switzerland, 2019; Volume 18. [Google Scholar] [CrossRef]
- Sun, X.; Wang, Y.; Lei, Y. Fluorescence based explosive detection: From mechanisms to sensory materials. Chem. Soc. Rev. 2015, 44, 8019–8061. [Google Scholar] [CrossRef]
- Moore, D.S. Instrumentation for trace detection of high explosives. Rev. Sci. Instum. 2004, 75, 2499–2512. [Google Scholar] [CrossRef]
- Moore, D.S. Recent advances in trace explosives detection instrumentation. Sens. Imaging 2007, 8, 9–38. [Google Scholar] [CrossRef]
- Meaney, M.S.; McGuffin, V.L. Luminescence-based methods for sensing and detection of explosives. Anal. Bioanal. Chem. 2008, 391, 2557–2576. [Google Scholar] [CrossRef]
- Sengottuvelu, D.; Kachwal, V.; Raichure, P.; Raghav, T.; Laskar, I.R. Aggregation-Induced Enhanced Emission (AIEE)-Active Conjugated Mesoporous Oligomers (CMOs) with improved quantum yield and low-cost detection of a trace amount of nitroaromatic explosives. ACS Appl. Mater. Interfaces 2020, 12, 31875–31886. [Google Scholar] [CrossRef]
- Rasheed, T.; Nabeel, F.; Rizwan, K.; Bilal, M.; Hussain, T.; Shehzad, S.A. Conjugated supramolecular architectures as state-of-the-art materials in detection and remedial measures of nitro based compounds: A review. Trends Anal. Chem. 2020, 129, 115958. [Google Scholar] [CrossRef]
- Rochat, S.; Swager, T.M. Conjugated amplifying polymers for optical sensing applications. Appl. Mater. Interfaces 2013, 5, 4488–4502. [Google Scholar] [CrossRef]
- Thomas III, S.W.; Joly, G.D.; Swager, T.M. Chemical sensors based on amplifying fluorescent conjugated polymers. Chem. Rev. 2007, 107, 1339–1386. [Google Scholar] [CrossRef]
- Toal, S.J.; Trogler, W.C. Polymer sensors for nitroaromatic explosives detection. J. Mater. Chem. 2006, 16, 2871–2883. [Google Scholar] [CrossRef]
- Zhou, Q.; Swager, T.M. Fluorescent chemosensors based on energy migration in conjugated polymers: The molecular wire approach to increased sensitivity. J. Am. Chem. Soc. 1995, 117, 12593–12602. [Google Scholar] [CrossRef]
- Zhou, Q.; Swager, T.M. Method for enhancing the sensitivity of fluorescent chemosensors: Energy migration in conjugated polymers. J. Am. Chem. Soc. 1995, 117, 7017–7018. [Google Scholar] [CrossRef]
- Yang, J.S.; Swager, T.M. Fluorescent porous polymer films as TNT chemosensors: Electronic and structural effects. J. Am. Chem. Soc. 1998, 120, 11864–11873. [Google Scholar] [CrossRef]
- Zhao, D.; Swager, T.M. Sensory responses in solution vs. solid state: A fluorescence quenching study of Poly(iptycenebutadiynylene)s. Macromolecules 2005, 38, 9377–9384. [Google Scholar] [CrossRef]
- Thomas, S.W.; Amara, J.P.; Bjork, R.E.; Swager, T.M. Amplifying fluorescent polymer sensors for the explosives taggant 2,3-dimethyl-2,3-dinitrobutane (DMNB). Chem. Commun. 2005, 4572–4574. [Google Scholar] [CrossRef] [PubMed]
- He, G.; Yan, N.; Yang, J.Y.; Wang, H.Y.; Ding, L.P.; Yin, S.W.; Fang, Y. Pyrene-containing conjugated polymer-based fluorescent films for highly sensitive and selective sensing of TNT in aqueous medium. Macromolecules 2011, 44, 4759–4766. [Google Scholar] [CrossRef]
- Rose, A.; Zhu, Z.G.; Madigan, C.F.; Swager, T.M.; Bulovic, V. Sensitivity gains in chemosensing by lasing action in organic polymers. Nature 2005, 434, 876–879. [Google Scholar] [CrossRef]
- Saxena, K.; Kumar, P.; Jain, V.K. Fluorescence quenching studies of conjugated polymer poly[2-methoxy-5-(3′,7′-dimethyloctyloxy)-1,4-phenylenevinylene in the presence of TNT. J. Lumin. 2010, 130, 2260–2264. [Google Scholar] [CrossRef]
- Nie, H.R.; Zhao, Y.; Zhang, M.; Ma, Y.G.; Baumgarten, M.; Mullen, K. Detection of TNT explosives with a new fluorescent conjugated polycarbazole polymer. Chem. Commun. 2011, 47, 1234–1236. [Google Scholar] [CrossRef]
- Kaleeswaran, D.; Vishnoi, P.; Kumar, S.; Chithiravel, S.; Walawalkar, M.G.; Krishnamoorthy, K.; Murugavel, R. Alkyl-chain-separated triphenybenzene—Carbazole conjugates and their derived polymers: Candidates for sensory, electrical and optical materials. Chem. Sel. 2016, 1, 6649–6657. [Google Scholar] [CrossRef]
- Asfari, Z.; Böhmer, V.; Harrowfield, J.; Vicens, J. (Eds.) Calixarenes 2001; Kluwer Academic: Dordrecht, The Netherlands, 2001. [Google Scholar] [CrossRef]
- Gutsche, C.D. Calixarenes—An introduction. In Monographs in Supramolecular Chemistry; Stoddart, J.F., Ed.; The Royal Society of Chemistry: Cambridge, UK, 2008. [Google Scholar]
- Kumar, R.; Sharma, A.; Singh, H.; Suating, P.; Kim, H.S.; Sunwoo, K.; Shim, I.; Gibb, B.C.; Kim, J.S. Revisiting fluorescent calixarenes: From molecular sensors to smart materials. Chem. Rev. 2019, 119, 9657–9721. [Google Scholar] [CrossRef] [PubMed]
- Costa, A.I.; Pinto, H.D.; Ferreira, L.F.V.; Prata, J.V. Solid-state sensory properties of Calix-poly(phenylene ethynylene)s toward nitroaromatic explosives. Sens. Actuators B Chem. 2012, 161, 702–713. [Google Scholar] [CrossRef]
- Barata, P.D.; Costa, A.I.; Prata, J.V. Calix[4]arene-carbazole-containing polymers: Synthesis and properties. React. Funct. Polym. 2012, 72, 627–634. [Google Scholar] [CrossRef]
- Costa, A.I.; Ferreira, L.F.V.; Prata, J.V. Novel fluorescent (p-Phenylene ethynylene)-Calix[4]arene based polymer: Design, synthesis, and properties. J. Polym. Sci. Part A Polym. Chem. 2008, 46, 6477–6488. [Google Scholar] [CrossRef]
- Barata, P.D.; Costa, A.I.; Ferreira, L.F.V.; Prata, J.V. Synthesis, structure, and optical properties of an alternating calix[4]arene-based meta-linked phenylene ethynylene copolymer. J. Polym. Sci. Part A Polym. Chem. 2010, 48, 5040–5052. [Google Scholar] [CrossRef]
- Prata, J.V.; Costa, A.I.; Teixeira, C.M. A solid-state fluorescence sensor for nitroaromatics and nitroanilines based on a conjugated Calix[4]arene polymer. J. Fluoresc. 2020, 30, 41–50. [Google Scholar] [CrossRef]
- Barata, P.D.; Prata, J.V. Cooperative effects in the detection of a nitroaliphatic liquid explosive and an explosive taggant in the vapor phase by Calix[4]arene-Based carbazole-containing conjugated polymers. ChemPlusChem 2014, 79, 83–89. [Google Scholar] [CrossRef]
- Dennis Jr., W.H.; Rosenblatt, D.H.; Blucher, W.G.; Coon, C.L. Improved synthesis of TNT isomers. J. Chem. Eng. Data 1975, 20, 202–203. [Google Scholar] [CrossRef]
- Borissevitch, I.E. More about the inner filter effect: Corrections of Stern–Volmer fluorescence quenching constants are necessary at very low optical absorption of the quencher. J. Lumin. 1999, 81, 219–224. [Google Scholar] [CrossRef]
- Lakowicz, J.R. Principles of Fluorescence Spectroscopy, 3rd ed.; Springer: New York, NY, USA, 2006; p. 282. ISBN 978-0387-31278-1. [Google Scholar]
- Kruse, H.; Goerigk, L.; Grimme, S. Why the standard B3LYP/6-31G* Model chemistry should not be used in DFT calculations of molecular thermochemistry: Understanding and correcting the problem. J. Org. Chem. 2012, 77, 10824–10834. [Google Scholar] [CrossRef] [PubMed]
- Shao, Y.; Gan, Z.; Epifanovsky, E.; Gilbert, A.T.B.; Wormit, M.; Kussmann, J.; Lange, A.W.; Behn, A.; Deng, J.; Feng, X.; et al. Advances in molecular quantum chemistry contained in the Q-Chem 4 program package. Mol. Phys. 2015, 113, 184–215. [Google Scholar] [CrossRef]
- Spartan’18; Wavefunction Inc.: Irvine, CA, USA, 2019.
- Long, G.L.; Winefordner, J.D. Limit of detection a closer look at the IUPAC definition. Anal. Chem. 1983, 55, 712A–724A. [Google Scholar] [CrossRef]
- Costa, A.I.; Prata, J.V. Unpublish results for NACs’ KSV, 2014.
- Teixeira, C.M. New Molecular Receptors Based on calix[4]arenes—Application to Sensorial Chemistry. Master’s Thesis, Instituto Superior de Engenharia de Lisboa, Instituto Politécnico de Lisboa, Lisboa, Portugal, 2013. Available online: http://hdl.handle.net/10400.21/3307 (accessed on 5 October 2020).
- Barata, P.D.; Prata, J.V. New entities for sensory chemistry based on Calix[4]arene-Carbazole conjugates: From synthesis to applications. Supramol. Chem. 2013, 25, 782–797. [Google Scholar] [CrossRef]
- Goodpaster, J.V.; McGuffin, V.L. Fluorescence quenching as an indirect detection method for nitrated explosives. Anal. Chem. 2001, 73, 2004–2011. [Google Scholar] [CrossRef]
- Ewing, R.G.; Waltman, M.J.; Atkinson, D.A.; Grate, J.W.; Hotchkiss, P.J. The vapor pressures of explosives. Trends. Anal. Chem. 2013, 42, 35–48. [Google Scholar] [CrossRef]
- Wang, Z.H.; Wang, Z.Y.; Ma, J.J.; Bock, W.J.; Ma, D.G. Effect of film thickness, blending and undercoating on optical detection of nitroaromatics using fluorescent polymer films. Polymer 2010, 51, 842–847. [Google Scholar] [CrossRef]
- Lynch, E.J.; Wilke, C.R. Vapor pressure of nitrobenzene at low temperatures. J. Chem. Eng. Data 1960, 5, 300. [Google Scholar] [CrossRef][Green Version]
- Pella, P.A. Measurement of the vapor pressures of TNT, 2,4-DNT, 2,6-DNT, and EGDN. J Chem Thermodyn. 1977, 9, 301–305. [Google Scholar] [CrossRef]
- Emel’yanenko, V.N.; Varfolomeev, M.A.; Novikov, V.B.; Turovtsev, V.V.; Orlov, Y.D. Thermodynamic properties of 1,4-Benzoquinones in gaseous and condensed phases: Experimental and theoretical studies. J. Chem. Eng. Data 2017, 62, 2413–2422. [Google Scholar] [CrossRef]
- Yang, J.S.; Swager, T.M. Porous shape persistent fluorescent polymer films: An approach to tnt sensory materials. J. Am. Chem. Soc. 1998, 120, 5321–5322. [Google Scholar] [CrossRef]
- Thomas, S.W.; Swager, T.M. Trace hydrazine detection with fluorescent conjugated polymers: A turn-on sensory mechanism. Adv. Mater. 2006, 18, 1047–1050. [Google Scholar] [CrossRef]
- Naddo, T.; Che, C.; Zhang, W.; Balakrishnan, K.; Yang, X.; Yen, M.; Zhao, J.; Moore, J.S.; Zang, L. Detection of explosives with a fluorescent nanofibril film. J. Am. Chem. Soc. 2007, 129, 6978–6979. [Google Scholar] [CrossRef]









| Analyte 1 | PA | TNT | 2,4-DNT | NB |
|---|---|---|---|---|
| Calix-PPE-2,7-CBZ | 3431 | 441 | 220 | 108 |
| Calix-PPE-3,6-CBZ | 3628 | 386 | 264 | 109 |
| Analyte | ΔE/kJ·mol−1 |
|---|---|
| PA | −84.0921 |
| TNT | −75.3203 |
| 2,4-DNT | −57.8634 |
| NB | −40.4957 |
| BQ | −49.4434 |
Publisher’s Note: MDPI stays neutral with regard to jurisdictional claims in published maps and institutional affiliations. |
© 2020 by the authors. Licensee MDPI, Basel, Switzerland. This article is an open access article distributed under the terms and conditions of the Creative Commons Attribution (CC BY) license (http://creativecommons.org/licenses/by/4.0/).
Share and Cite
Barata, P.D.; Prata, J.V. Fluorescent Calix[4]arene-Carbazole-Containing Polymers as Sensors for Nitroaromatic Explosives. Chemosensors 2020, 8, 128. https://doi.org/10.3390/chemosensors8040128
Barata PD, Prata JV. Fluorescent Calix[4]arene-Carbazole-Containing Polymers as Sensors for Nitroaromatic Explosives. Chemosensors. 2020; 8(4):128. https://doi.org/10.3390/chemosensors8040128
Chicago/Turabian StyleBarata, Patrícia D., and José V. Prata. 2020. "Fluorescent Calix[4]arene-Carbazole-Containing Polymers as Sensors for Nitroaromatic Explosives" Chemosensors 8, no. 4: 128. https://doi.org/10.3390/chemosensors8040128
APA StyleBarata, P. D., & Prata, J. V. (2020). Fluorescent Calix[4]arene-Carbazole-Containing Polymers as Sensors for Nitroaromatic Explosives. Chemosensors, 8(4), 128. https://doi.org/10.3390/chemosensors8040128
