Porous-Architecture-Driven Performance of Electrospun SnO2 Nanofibers for Reliable H2S Detection
Abstract
1. Introduction
2. Materials and Methods
2.1. Materials
2.2. Synthesis of Multichannel SnO2 Nanofibers
2.3. Characterization Methods
2.4. Fabrication and Testing of SnO2 Gas Sensors
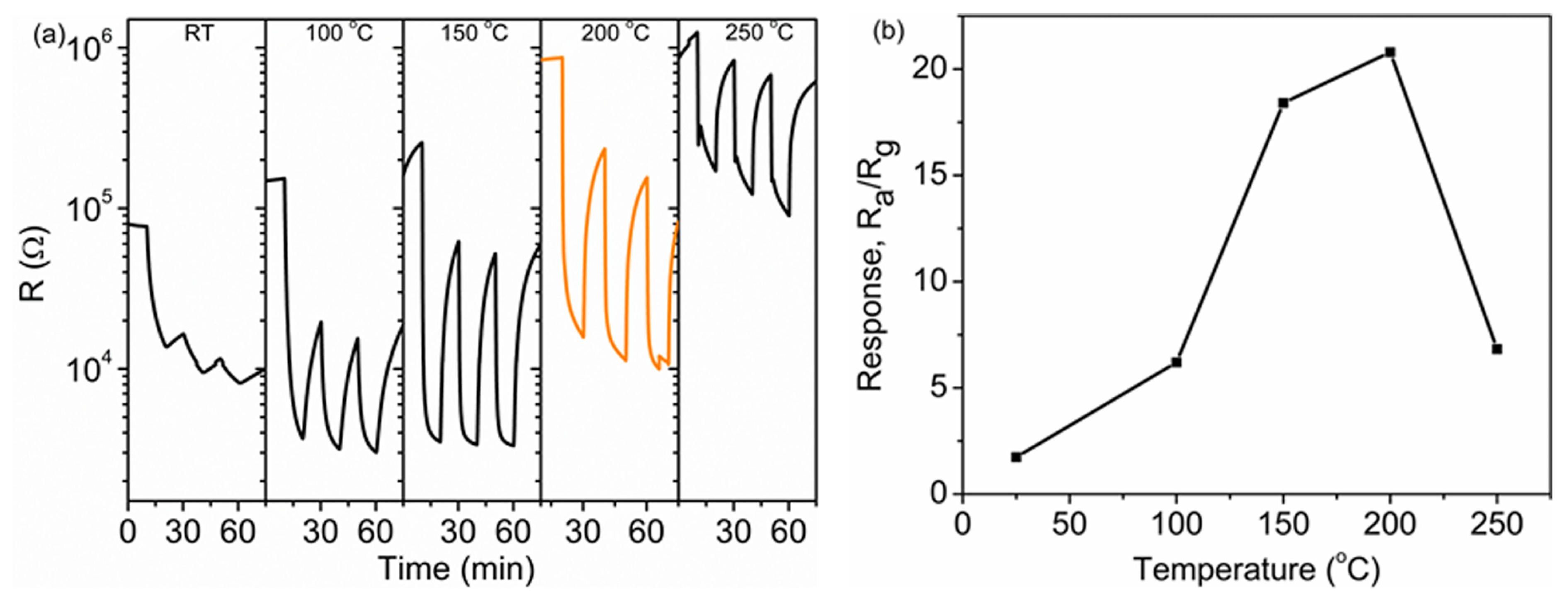
3. Results and Discussion
| Material | Form | Synthesis Method | H2S Concentration [ppm] | Operating Temperature [°C] | Sensor Response 1 [/] or [%] | tres [s] | Ref. |
|---|---|---|---|---|---|---|---|
| SnO2 | nanofibers | electrospinning | 1 | 200 | 5.44 | 91 | this work |
| SnO2 | nanofibers | electrospinning | 5 | 200 | 12.41 | 44 | this work |
| SnO2 | nanofibers | electrospinning | 10 | 200 | 24.29 | 23 | this work |
| SnO2 | - | electrospinning | 10 | 200 | 19.83% | ≈90 | [27] |
| SnO2 | nanofibers | electrospinning | 50 | 250 | 10.49 | ≈70 | [50] |
| SnO2 | dense nanofibers | electrospinning | 5 | 300 | 2.6 | ≈40 | [55] |
| SnO2 | nanotubes | electrospinning | 5 | 300 | 4.7 | ≈70 | [55] |
| SnO2 | hollow nanofibers | electrospinning | 100 | 300 | 118.6 | 30 | [12] |
| SnO2 | full nanofibers | electrospinning | 100 | 300 | 45.8 | 60 | [12] |
| SnO2 | - | co-precipitation | 10 | 275 | 1.06 | - | [52] |
| Fe-SnO2 | - | co-precipitation | 10 | 275 | 3.1 | - | [52] |
4. Conclusions
Supplementary Materials
Author Contributions
Funding
Institutional Review Board Statement
Informed Consent Statement
Data Availability Statement
Acknowledgments
Conflicts of Interest
References
- Occupational Safety and Health Administration (OSHA). Hydrogen Sulfide Hazards. U.S. Department of Labor. Available online: https://www.osha.gov/hydrogen-sulfide/hazards (accessed on 26 January 2026).
- Liewhiran, C.; Punginsang, M.; Inyawilert, K.; Siriwalai, M.; Wisitsoraat, A. Selectivity toward H2S against various gaseous disease markers in exhaled breath of flame-produced CuOx-loaded SnO2 nanosensors. Sens. Actuators B Chem. 2025, 424, 136856. [Google Scholar] [CrossRef]
- Song, H.; Wan, R.; Tian, Q.; Liu, Y.; Ruan, H.; Liu, P.; Wang, Y.; Liu, L. A serial analysis of hydrogen sulfide poisoning: Three group accidents. Forensic Sci. Med. Pathol. 2024, 20, 1014–1021. [Google Scholar] [CrossRef] [PubMed]
- Wu, D.D.; Wang, D.Y.; Li, H.M.; Guo, J.C.; Duan, S.F.; Ji, X.Y. Hydrogen sulfide as a Novel Regulatory Factor in Liver Health and Disease. Oxidative Med. Cell. Longev. 2019, 2019, 3831713. [Google Scholar] [CrossRef] [PubMed]
- Ali, F.I.M.; Awwad, F.; Greish, Y.E.; Mahmoud, S.T. Hydrogen Sulfide (H2S) Gas Sensor: A Review. IEEE Sens. J. 2019, 19, 2394–2407. [Google Scholar] [CrossRef]
- Liu, H.; Weng, L.; Yang, C. A review on nanomaterial-based electrochemical sensors for H2O2, H2S and NO inside cells or released by cells. Microchim. Acta 2017, 184, 1267–1283. [Google Scholar] [CrossRef]
- Wang, L.; Choi, J. Advances in inorganic conductive material and organic conductive polymer-based resistive gas sensors for room-temperature H2S detection. Micro Nano Syst. Lett. 2025, 3, 5. [Google Scholar] [CrossRef]
- Korotcenkov, G. Metal oxides for solid-state gas sensors: What determines our choice? Mater. Sci. Eng. B 2007, 139, 1–23. [Google Scholar] [CrossRef]
- Liu, X.; Cheng, S.; Liu, H.; Hu, S.; Zhang, D.; Ning, H. A survey on gas sensing technology. Sensors 2012, 12, 9635–9665. [Google Scholar] [CrossRef]
- Kong, Y.; Li, W.; Zhang, H.; Wang, Z. SnO2 nanostructured materials used as gas sensors for the detection of hazardous and flammable gases: A review. Nano Mater. Sci. 2022, 4, 339–350. [Google Scholar] [CrossRef]
- Shah, V.; Bhaliya, J.; Patel, G.M.; Joshi, P. Room-temperature chemiresistive gas sensing of SnO2 nanowires: A review. J. Inorg. Organomet. Polym. Mater. 2022, 32, 741–772. [Google Scholar] [CrossRef]
- Zhao, N.; Chen, Z.; Zeng, W. Enhanced H2S sensor based on electrospun mesoporous SnO2 nanotubes. J. Mater. Sci. Mater. Electron. 2015, 26, 9152–9157. [Google Scholar] [CrossRef]
- Berwal, P.; Singh, P.; Sheokand, A.; Rani, S.; Sihag, S.; Bulla, M.; Chaudhary, P.; Gangwar, A.K.; Kumar, V. Fabrication of durable and sensitive SnO2-Based gas sensor for NO2 detection. Appl. Phys. A 2025, 131, 700. [Google Scholar] [CrossRef]
- Song, J.; Lin, X.; Ee, L.Y.; Li, S.F.Y.; Huang, M. A Review on Electrospinning as Versatile Supports for Diverse Nanofibers and Their Applications in Environmental Sensing. Adv. Fiber Mater. 2023, 5, 429–460. [Google Scholar] [CrossRef]
- Panigrahi, P.K.; Chandu, B.; Puvvada, N. Recent Advances in Nanostructured Materials for Application as Gas Sensors. ACS Omega 2024, 9, 3092–3122. [Google Scholar] [CrossRef] [PubMed]
- Goswami, Y.C.; Kumar, V.; Rajaram, P.; Malik, M.A.; O’Brien, P. Synthesis of SnO2 nanostructures by ultrasonic-assisted sol-gel method. J. Sol-Gel Sci. Technol. 2014, 69, 617–624. [Google Scholar] [CrossRef]
- Qian, Y.; Zhang, H.; Xiong, Y.; Wu, Y.; Fu, Z.; Guo, P.; Jiang, H.; Li, J.; Wang, Y.; Yu, S.; et al. Enhanced low-temperature sensitivity of H2S gas sensing via oxygen vacancy-rich NiO-SnO2 heterojunction nanostructures. Microchem. J. 2025, 212, 113177. [Google Scholar] [CrossRef]
- Motsoeneng, R.G.; Kortidis, I.; Ray, S.S.; Motaung, D.E. Designing SnO2 Nanostructure-Based Sensors with Tailored Selectivity toward Propanol and Ethanol Vapors. ACS Omega 2019, 4, 13696−13709. [Google Scholar] [CrossRef] [PubMed]
- Alhadi, A.; Ma, S.; Yang, T.; Pei, S.; Yun, P.; Abbakar, K.A.; Zhang, Q.; Ma, N.; Wang, L.; Balal, M.H.; et al. Pure SnO2 Gas Sensor with High Sensitivity and Selectivity towards C2H5OH. Adv. Nanopart. 2021, 10, 66–74. [Google Scholar] [CrossRef]
- Doubi, Y.; Hartiti, B.; Batan, A.; Siadat, M.; Labrim, H.; Tahiri, M.; Kotbi, A.; Thevenin, P.; Jouiad, M. Controlled SnO2 nanostructures for enhanced sensing of hydrogen sulfide and nitrogen dioxide. Sens. Actuators B Chem. 2025, 440, 137878. [Google Scholar] [CrossRef]
- Yoon, J.-W.; Choi, S.H.; Kim, J.-S.; Jang, H.W.; Kang, Y.C.; Lee, J.-H. Trimodally porous SnO2 nanospheres with three-dimensional interconnectivity and size tunability: A one-pot synthetic route and potential application as an extremely sensitive ethanol detector. NPG Asia Mater. 2016, 8, e244. [Google Scholar] [CrossRef]
- Ueda, T.; Torai, S.; Fujita, K.; Shimizu, Y.; Hyodo, T. Effects of Au Addition to Porous CuO2-Added SnO2 Gas Sensors on Their VOC-Sensing Properties. Chemosensors 2024, 12, 153. [Google Scholar] [CrossRef]
- Karmaoui, M.; Jorge, A.B.; McMillan, P.F.; Aliev, A.E.; Pullar, R.C.; Labrincha, J.A.; Tobaldi, D.M. One-Step Synthesis, Structure, and Band Gap Properties of SnO2 Nanoparticles Made by a Low Temperature Nonaqueous Sol−Gel Technique. ACS Omega 2018, 3, 13227–13238. [Google Scholar] [CrossRef] [PubMed]
- Li, S.-H.; Meng, F.-F.; Chu, Z.; Luo, T.; Peng, F.-M.; Jin, Z. Mesoporous SnO2 Nanowires: Synthesis and Ethanol Sensing Properties. Adv. Condens. Matter Phys. 2017, 2017, 9720973. [Google Scholar] [CrossRef]
- Gherardi, S.; Astolfi, M.; Gaiardo, A.; Malagù, C.; Rispoli, G.; Vincenzi, D.; Zonta, G. Investigating the Temperature-Dependent Kinetics in Humidity-Resilient Tin–Titanium- Based Metal Oxide Gas Sensors. Chemosensors 2024, 12, 151. [Google Scholar] [CrossRef]
- Wali, Q.; Fakharuddin, A.; Ahmed, I.; Ab Rahim, M.H.; Ismail, J.; Jose, R. Multiporous nanofibers of SnO2 by electrospinning for high efficiency dye-sensitized solar cells. J. Mater. Chem. A 2014, 2, 17427. [Google Scholar] [CrossRef]
- Ruksana, S.; Kumar, A.; Lakshmy, S.; Kishore, K.R.; Sharma, C.S.; Kumar, M.; Chakraborty, B. Highly Efficient CuO-Anchored SnO2 Nanofiber for Low-Concentration H2S Gas Sensors. ACS Appl. Eng. Mater. 2024, 2, 431–442. [Google Scholar] [CrossRef]
- Cai, Z.; Park, S. A superior sensor consisting of porous, Pd nanoparticle–decorated SnO2 nanotubes for the detection of ppb-level hydrogen gas. J. Alloys Compd. 2022, 907, 164459. [Google Scholar] [CrossRef]
- Su, P.; Li, W.; Zhang, J.; Xie, X. Chemiresistive gas sensor based on electrospun hollow SnO2 nanotubes for detecting NO at the ppb level. Vacuum 2022, 199, 110961. [Google Scholar] [CrossRef]
- Zhang, J.; Ma, S.; Wang, B.; Pei, S. Preparation of composite SnO2/CuO nanotubes by electrospinning and excellent gas selectivity to ethanol. Sens. Actuators A Phys. 2021, 332, 113090. [Google Scholar] [CrossRef]
- Bulemo, P.M.; Cho, H.-J.; Kim, N.-H.; Kim, I.-D. Mesoporous SnO2 Nanotubes via Electrospinning−Etching Route: Highly Sensitive and Selective Detection of H2S Molecule. ACS Appl. Mater. Interfaces 2017, 9, 26304–26313. [Google Scholar] [CrossRef]
- Kader, M.A.; Azmi, N.S.; Kafi, A.K.M.; Hossain, M.S.; Masri, M.F.B.; Ramli, A.N.M.; Tan, C.S. Synthesis and Characterization of a Multiporous SnO2 Nanofibers-Supported Au Nanoparticles-Based Amperometric Sensor for the Nonenzymatic Detection of H2O2. Chemosensors 2023, 11, 130. [Google Scholar] [CrossRef]
- Güntner, A.T.; Pineau, N.J.; Pratsinis, S.E. Flame-made chemoresistive gas sensors and devices. Prog. Energy Combust. Sci. 2022, 90, 100992. [Google Scholar] [CrossRef]
- Suematsu, K.; Uchiyama, A.; Watanabe, K.; Shimanoe, K. Highly Sensitive Carbon Monoxide Sensor Element with Wide-Range Humidity Resistance by Loading Pd Nanoparticles on SnO2 Surface. Sensors 2022, 22, 2934. [Google Scholar] [CrossRef]
- Dadkhah, M.; Tulliani, J.-M. Green Synthesis of Metal Oxides Semiconductors for Gas Sensing Applications. Sensors 2022, 22, 4669. [Google Scholar] [CrossRef]
- Zhao, Y.-S.; Huang, J.; Yang, X.; Wang, W.; Yu, D.-G.; He, H.; Liu, P.; Du, K. Electrospun nanofibers and their application as sensors for healthcare. Front. Bioeng. Biotechnol. 2025, 13, 1533367. [Google Scholar] [CrossRef]
- Cho, H.-J.; Kim, Y.H.; Park, S.; Kim, I.-D. Design of Hollow Nanofibrous Structures using Electrospinning: An Aspect of Chemical Sensor Applications. ChemNanoMat 2020, 6, 1014–1027. [Google Scholar] [CrossRef]
- Li, D.; Xia, Y. Electrospinning of Nanofibers: Reinventing the Wheel? Adv. Mater. 2004, 16, 1151–1170. [Google Scholar] [CrossRef]
- Esfahani, H.; Jose, R.; Ramakrishna, S. Electrospun Ceramic Nanofiber Mats Today: Synthesis, Properties, and Applications. Materials 2017, 10, 1238. [Google Scholar] [CrossRef] [PubMed]
- Pascariu, P.; Airineia, A.; Olarua, N.; Petrila, I.; Nica, V.; Sacarescu, L.; Tudorache, F. Microstructure, electrical and humidity sensor properties ofelectrospun NiO–SnO2 nanofibers. Sens. Actuators B 2016, 222, 1024–1031. [Google Scholar] [CrossRef]
- Reed, J.S. Principles of Ceramics Processing; John Wiley & Sons: Hoboken, NJ, USA, 1995. [Google Scholar]
- Chen, X.; Hua, Z.; Geng, C.; Ma, N. Facile synthesis of novel YbFeO3–BiFeO3 composite for highly sensitive ppb-level acetone sensing at low temperature. J. Mater. Sci. Mater. Electron. 2023, 34, 1588. [Google Scholar] [CrossRef]
- Busuioc, A.D.; Ciovică, I.; Stoleriu, Ş.; Enculescu, M.; Evanghelidis, A.; Vişan, T. Morphological and optical properties of electrospun SnO2 fibers. Dig. J. Nanomater. Biostruct. 2017, 12, 1097–1105. [Google Scholar]
- Jang, J.-S.; Kim, S.-J.; Choi, S.-J.; Kim, N.-H.; Hakim, M.; Rothschild, A.; Kim, L.-D. Thin-walled SnO2 nanotubes functionalized with Pt and Au catalysts via the protein templating route and their selective detection of acetone and hydrogen sulfide molecules. Nanoscale 2015, 7, 16417–16426. [Google Scholar] [CrossRef]
- Wang, L.; Luo, X.; Zheng, X.; Wang, R.; Zhang, T. Direct annealing of electrospun synthesized highperformance porous SnO2 hollow nanofibers for gas sensors. RSC Adv. 2013, 3, 9723–9728. [Google Scholar] [CrossRef]
- Sing, K.S.W.; Everett, D.H.; Haul, R.A.W.; Moscou, L.; Pierotti, R.A.; Rouquerol, J.; Siemieniewska, T. Reporting physisorption data for gas/solid systems with special reference to the determination of surface area and porosity. Pure Appl. Chem. 1985, 57, 603–619. [Google Scholar] [CrossRef]
- Barsan, N.; Koziej, D.; Weimar, U. Metal oxide-based gas sensor research: How to? Sens. Actuators B 2007, 121, 18–35. [Google Scholar] [CrossRef]
- Wang, C.; Yin, L.; Zhang, L.; Xiang, D.; Gao, R. Metal Oxide Gas Sensors: Sensitivity and Influencing Factors. Sensors 2010, 10, 2088–2106. [Google Scholar] [CrossRef] [PubMed]
- Sun, Y.-F.; Liu, S.-B.; Meng, F.-L.; Liu, J.-Y.; Jin, Z.; Kong, L.-T.; Liu, J.-H. Metal Oxide Nanostructures and Their Gas Sensing Properties: A Review. Sensors 2012, 12, 2610–2631. [Google Scholar] [CrossRef] [PubMed]
- Zhao, J.; Shen, W.; Gao, Y.; Lv, D.; Son, W.; Tan, R. Optimization of SnO2-based MEMS sensor array for expeditious and precise categorization of meat types and freshness status. Sens. Actuators A Phys. 2025, 391, 116680. [Google Scholar] [CrossRef]
- Lu, Z.; Zhou, Q.; Wang, C.; Wei, Z.; Xu, L.; Gui, Y. Electrospun ZnO–SnO2 Composite Nanofibers and Enhanced Sensing Properties to SF6 Decomposition Byproduct H2S. Front. Chem. 2018, 6, 540. [Google Scholar] [CrossRef]
- Khan, L.A.; Ali, S.; Ali, N.; Zhu, L.; Zulfiqar, S.; Shah, S.; Hussain, S.A.; Shaik, M.R.; Khan, T.; Khan, G.; et al. Investigation of the Fe-doped SnO2 NPs with enhanced H2S gas sensing performance. Ceram. Inter. 2025, 51, 6783–6792. [Google Scholar] [CrossRef]
- Mao, L.-W.; Zhu, L.-Y.; Wu, T.T.; Xu, L.; Jin, X.-H.; Lu, H.-L. Excellent long-term stable H2S gas sensor based on Nb2O5/SnO2 core-shell heterostructure nanorods. Appl. Surf. Sci. 2022, 602, 154339. [Google Scholar] [CrossRef]
- Phuoc, P.H.; Hung, C.M.; Van Toan, N.; Van Duy, N.; Hoa, N.D.; Van Hieu, N. One-step fabrication of SnO2 porous nanofiber gas sensors for sub-ppm H2S detection. Sens. Actuators A Phys. 2020, 303, 111722. [Google Scholar] [CrossRef]
- Yang, T.; Boepple, M.; Hémeryck, A.; Jay, A.; Karwounopoulos, S.; Weimar, U.; Barsan, N. H2S Sensing with SnO2-Based Gas Sensors: Sulfur Poisoning Mechanism Revealed by Operando DRIFTS and DFT Calculations. Angew. Chem. Int. Ed. 2025, 64, e202504696. [Google Scholar] [CrossRef]
- Lantto, V.; Romppainen, P.; Rantala, T.S.; Leppävuori, S. Equilibrium and Non-equilibrium Conductance Response of Sintered SnO2 Samples to H2S. Sens. Actuators B 1991, 4, 451–455. [Google Scholar] [CrossRef]










| Parameter | Tested Range | Final Value |
|---|---|---|
| voltage [kV] | 19–22 | 20 |
| tip-to-collector distance [cm] | 15–20 | 18 |
| solution flow rate [mL/h] | 0.5–1 | 0.7 |
| collector rotational speed [rpm] | 900–1200 | 1000 |
Disclaimer/Publisher’s Note: The statements, opinions and data contained in all publications are solely those of the individual author(s) and contributor(s) and not of MDPI and/or the editor(s). MDPI and/or the editor(s) disclaim responsibility for any injury to people or property resulting from any ideas, methods, instructions or products referred to in the content. |
© 2026 by the authors. Licensee MDPI, Basel, Switzerland. This article is an open access article distributed under the terms and conditions of the Creative Commons Attribution (CC BY) license.
Share and Cite
Počuča-Nešić, M.; Vojisavljević, K.; Savić Ružić, S.; Marinković Stanojević, Z.; Malešević, A.; Tian, T.; Ma, N.; Qian, R.; Huang, M.; Podlogar, M.; et al. Porous-Architecture-Driven Performance of Electrospun SnO2 Nanofibers for Reliable H2S Detection. Chemosensors 2026, 14, 32. https://doi.org/10.3390/chemosensors14020032
Počuča-Nešić M, Vojisavljević K, Savić Ružić S, Marinković Stanojević Z, Malešević A, Tian T, Ma N, Qian R, Huang M, Podlogar M, et al. Porous-Architecture-Driven Performance of Electrospun SnO2 Nanofibers for Reliable H2S Detection. Chemosensors. 2026; 14(2):32. https://doi.org/10.3390/chemosensors14020032
Chicago/Turabian StylePočuča-Nešić, Milica, Katarina Vojisavljević, Slavica Savić Ružić, Zorica Marinković Stanojević, Aleksandar Malešević, Tian Tian, Nan Ma, Rong Qian, Mao Huang, Matejka Podlogar, and et al. 2026. "Porous-Architecture-Driven Performance of Electrospun SnO2 Nanofibers for Reliable H2S Detection" Chemosensors 14, no. 2: 32. https://doi.org/10.3390/chemosensors14020032
APA StylePočuča-Nešić, M., Vojisavljević, K., Savić Ružić, S., Marinković Stanojević, Z., Malešević, A., Tian, T., Ma, N., Qian, R., Huang, M., Podlogar, M., Branković, G., & Branković, Z. (2026). Porous-Architecture-Driven Performance of Electrospun SnO2 Nanofibers for Reliable H2S Detection. Chemosensors, 14(2), 32. https://doi.org/10.3390/chemosensors14020032

