Development of a Novel Electrochemical Biosensor Based on Organized Mesoporous Carbon and Laccase for the Detection of Serotonin in Food Supplements
Abstract
:1. Introduction
2. Materials and Methods
2.1. Materials, Reagents, and Solutions
2.2. Electrodes and Equipment
2.3. Biosensor Preparation
2.4. Real Samples Analyzed
2.5. Methods of Analysis
3. Results
3.1. FTIR Characterization of Sensor and Biosensor
3.2. Preliminary Studies
3.3. Determination of the Active Area of OMC-SPE and OMC-SPE/Lac
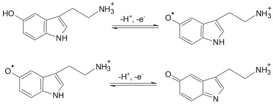
3.4. Voltammetric Responses of the Unmodified Sensor and Biosensor in Serotonin Solutions
3.5. Realization of the Calibration Curve
3.6. Stability, Repeatability and Interference Studies
3.7. Determination of Serotonin from Real Samples
4. Conclusions
Author Contributions
Funding
Institutional Review Board Statement
Informed Consent Statement
Data Availability Statement
Conflicts of Interest
References
- Shajib, M.S.; Baranov, A.; Khan, W.I. Diverse Effects of Gut-Derived Serotonin in Intestinal Inflammation. ACS Chem. Neurosci. 2017, 8, 920–931. [Google Scholar] [CrossRef] [PubMed]
- Ramage, A.G. The Role of Central 5-Hydroxytryptamine (5-HT, Serotonin) Receptors in the Control of Micturition: 5-HT Receptors and Micturition. Br. J. Pharmacol. 2006, 147, S120–S131. [Google Scholar] [CrossRef] [PubMed]
- Lindström, M.; Tohmola, N.; Renkonen, R.; Hämäläinen, E.; Schalin-Jäntti, C.; Itkonen, O. Comparison of Serum Serotonin and Serum 5-HIAA LC-MS/MS Assays in the Diagnosis of Serotonin Producing Neuroendocrine Neoplasms: A Pilot Study. Clin. Chim. Acta 2018, 482, 78–83. [Google Scholar] [CrossRef] [PubMed]
- Brand, T.; Anderson, G.M. The Measurement of Platelet-Poor Plasma Serotonin: A Systematic Review of Prior Reports and Recommendations for Improved Analysis. Clin. Chem. 2011, 57, 1376–1386. [Google Scholar] [CrossRef]
- Huang, H.; Chen, Z.; Yan, X. Simultaneous Determination of Serotonin and Creatinine in Urine by Combining Two Ultrasound-Assisted Emulsification Microextractions with on-Column Stacking in Capillary Electrophoresis: Electrodriven Separations. J. Sep. Sci. 2012, 35, 436–444. [Google Scholar] [CrossRef]
- Rognum, I.J.; Tran, H.; Haas, E.A.; Hyland, K.; Paterson, D.S.; Haynes, R.L.; Broadbelt, K.G.; Harty, B.J.; Mena, O.; Krous, H.F.; et al. Serotonin Metabolites in the Cerebrospinal Fluid in Sudden Infant Death Syndrome. J. Neuropathol. Exp. Neurol. 2014, 73, 115–122. [Google Scholar] [CrossRef]
- Jones, B.J.; Blackburn, T.P. The Medical Benefit of 5-HT Research. Pharmacol. Biochem. Behav. 2002, 71, 555–568. [Google Scholar] [CrossRef]
- Lin, S.H.; Lee, L.T.; Yang, Y.K. Serotonin and Mental Disorders: A Concise Review on Molecular Neuroimaging Evidence. Clin. Psychopharmacol. Neurosci. 2014, 12, 196–202. [Google Scholar] [CrossRef]
- Squires, L.N.; Talbot, K.N.; Rubakhin, S.S.; Sweedler, J.V. Serotonin Catabolism in the Central and Enteric Nervous Systems of Rats upon Induction of Serotonin Syndrome. J. Neurochem. 2007, 103, 174–180. [Google Scholar] [CrossRef]
- Feldman, J.M.; Lee, E.M. Serotonin Content of Foods: Effect on Urinary Excretion of 5-Hydroxyindoleacetic Acid. Am. J. Clin. Nutr. 1985, 42, 639–643. [Google Scholar] [CrossRef] [Green Version]
- Ávila, M.; Crevillén, A.G.; González, M.C.; Escarpa, A.; Hortigüela, L.V.; de Lorenzo Carretero, C.; Pérez Martín, R.A. Electroanalytical Approach to Evaluate Antioxidant Capacity in Honeys: Proposal of an Antioxidant Index. Electroanalysis 2006, 18, 1821–1826. [Google Scholar] [CrossRef]
- Ghosal, S.; Singh, S.; Bhattacharya, S. Alkaloids of Mucuna pruriens chemistry and pharmacology. Planta Med. 1971, 19, 279–284. [Google Scholar] [CrossRef]
- Bottiglieri, T.; Lim, C.K.; Peters, T.J. Isocratic Analysis of 3-Methoxy-4-Hydroxyphenyl Glycol, 5-Hydroxyindole-3-Acetic Acid and 4-Hydroxy-3-Methoxyphenylacetic Acid in Cerebrospinal Fluid by High-Performance Liquid Chromatography with Amperometric Detection. J. Chromatogr. B Biomed. Sci. Appl. 1984, 311, 354–360. [Google Scholar] [CrossRef]
- Brashear, J.; Zeitvogel, C.; Jackson, J.; Flentge, C.; Janulis, L.; Cantrell, L.; Schmidt, B.; Adamczyk, M.; Betebenner, D.; Vaughan, K. Fluorescence Polarization Immunoassay of Urinary 5-Hydroxy-3-Indoleacetic Acid. Clin. Chem. 1989, 35, 355–359. [Google Scholar] [CrossRef]
- He, Q.; Li, M.; Wang, X.; Xia, Z.; Du, Y.; Li, Y.; Wei, L.; Shang, J. A Simple, Efficient and Rapid HPLC–UV Method for the Detection of 5-HT in RIN-14B Cell Extract and Cell Culture Medium. BMC Chem. 2019, 13, 76. [Google Scholar] [CrossRef]
- Ma, L.; Zhao, T.; Zhang, P.; Liu, M.; Shi, H.; Kang, W. Determination of Monoamine Neurotransmitters and Metabolites by High-Performance Liquid Chromatography Based on Ag(III) Complex Chemiluminescence Detection. Anal. Biochem. 2020, 593, 113594. [Google Scholar] [CrossRef] [PubMed]
- Roychoudhury, A.; Francis, K.A.; Patel, J.; Jha, S.K.; Basu, S. A Decoupler-Free Simple Paper Microchip Capillary Electrophoresis Device for Simultaneous Detection of Dopamine, Epinephrine and Serotonin. RSC Adv. 2020, 10, 25487–25495. [Google Scholar] [CrossRef]
- Piešťanský, J.; Maráková, K.; Mikuš, P. Two-Dimensional Capillary Electrophoresis with On-Line Sample Preparation and Cyclodextrin Separation Environment for Direct Determination of Serotonin in Human Urine. Molecules 2017, 22, 1668. [Google Scholar] [CrossRef]
- Zhang, L.; Zhao, Y.; Huang, J.; Zhao, S. Simultaneous Quantification of 5-Hydroxyindoleacetic Acid and 5-Hydroxytryptamine by Capillary Electrophoresis with Quantum Dot and Horseradish Peroxidase Enhanced Chemiluminescence Detection. J. Chromatogr. B 2014, 967, 190–194. [Google Scholar] [CrossRef]
- Zinellu, A.; Sotgia, S.; Deiana, L.; Carru, C. Reverse Injection Capillary Electrophoresis UV Detection for Serotonin Quantification in Human Whole Blood. J. Chromatogr. B 2012, 895–896, 182–185. [Google Scholar] [CrossRef]
- Darwish, I.A.; Refaat, I.H. Spectrophotometric Analysis of Selective Serotonin Reuptake Inhibitors Based on Formation of Charge-Transfer Complexes with Tetracyanoquinodimethane and Chloranilic Acid. J. AOAC Int. 2006, 89, 326–333. [Google Scholar] [CrossRef] [PubMed]
- Zhao, Y.Y.; Li, H.; Ge, Q.M.; Cong, H.; Liu, M.; Tao, Z.; Zhao, J.L. A Chemo-Sensor Constructed by Nanohybrid of Multifarene[3,3] and RGO for Serotonin Hydrochloride with Dual Response in Both Fluorescence and Voltammetry. Microchem. J. 2020, 158, 105145. [Google Scholar] [CrossRef]
- Sha, Q.; Sun, B.; Yi, C.; Guan, R.; Fei, J.; Hu, Z.; Liu, B.; Liu, X. A Fluorescence Turn-on Biosensor Based on Transferrin Encapsulated Gold Nanoclusters for 5-Hydroxytryptamine Detection. Sens. Actuators B Chem. 2019, 294, 177–184. [Google Scholar] [CrossRef]
- Wang, Z.; Zhang, Y.; Zhang, B.; Lu, X. Mn2+ Doped ZnS QDs Modified Fluorescence Sensor Based on Molecularly Imprinted Polymer/Sol-Gel Chemistry for Detection of Serotonin. Talanta 2018, 190, 1–8. [Google Scholar] [CrossRef] [PubMed]
- Wu, D.; Xie, H.; Lu, H.; Li, W.; Zhang, Q. Sensitive Determination of Norepinephrine, Epinephrine, Dopamine and 5-Hydroxytryptamine by Coupling HPLC with [Ag(HIO6)2]5−-Luminol Chemiluminescence Detection: Sensitive Detection of Monoamine Neurotransmitters by HPLC-CL Method. Biomed. Chromatogr. 2016, 30, 1458–1466. [Google Scholar] [CrossRef]
- Labib, M.; Sargent, E.H.; Kelley, S.O. Electrochemical Methods for the Analysis of Clinically Relevant Biomolecules. Chem. Rev. 2016, 116, 9001–9090. [Google Scholar] [CrossRef]
- Vilas-Boas, Â.; Valderrama, P.; Fontes, N.; Geraldo, D.; Bento, F. Evaluation of Total Polyphenol Content of Wines by Means of Voltammetric Techniques: Cyclic Voltammetry vs Differential Pulse Voltammetry. Food Chem. 2019, 276, 719–725. [Google Scholar] [CrossRef]
- Mirceski, V.; Skrzypek, S.; Stojanov, L. Square-Wave Voltammetry. ChemTexts 2018, 4, 101–110. [Google Scholar] [CrossRef]
- Bounegru, A.V.; Apetrei, C. Sensitive Detection of Hydroxytyrosol in Extra Virgin Olive Oils with a Novel Biosensor Based on Single-Walled Carbon Nanotubes and Tyrosinase. IJMS 2022, 23, 9132. [Google Scholar] [CrossRef]
- Wu, B.; Yeasmin, S.; Liu, Y.; Cheng, L.J. Sensitive and Selective Electrochemical Sensor for Serotonin Detection Based on Ferrocene-Gold Nanoparticles Decorated Multiwall Carbon Nanotubes. Sens. Actuators B Chem. 2022, 354, 131216. [Google Scholar] [CrossRef]
- Moslah, M.; Fredj, Z.; Dridi, C. Development of a New Highly Sensitive Serotonin Sensor Based on Green Synthesized Silver Nanoparticle Decorated Reduced Graphene Oxide. Anal. Methods 2021, 13, 5187–5194. [Google Scholar] [CrossRef] [PubMed]
- Panneer Selvam, S.; Yun, K. A Self-Assembled Silver Chalcogenide Electrochemical Sensor Based on RGO-Ag2Se for Highly Selective Detection of Serotonin. Sens. Actuators B Chem. 2020, 302, 127161. [Google Scholar] [CrossRef]
- Uwaya, G.E.; Fayemi, O.E. Electrochemical Detection of Serotonin in Banana at Green Mediated PPy/Fe3O4NPs Nanocomposites Modified Electrodes. Sens. Bio-Sens. Res. 2020, 28, 100338. [Google Scholar] [CrossRef]
- Selvarajan, S.; Suganthi, A.; Rajarajan, M. A Novel Highly Selective and Sensitive Detection of Serotonin Based on Ag/Polypyrrole/Cu2O Nanocomposite Modified Glassy Carbon Electrode. Ultrason. Sonochem. 2018, 44, 319–330. [Google Scholar] [CrossRef]
- Lavanya, N.; Sekar, C. SnO2-SnS2 Nanocomposite as Electrocatalyst for Simultaneous Determination of Depression Biomarkers Serotonin and Tryptophan. J. Electroanal. Chem. 2019, 840, 1–9. [Google Scholar] [CrossRef]
- Arvand, M.; Samie, H.A. Electrospun CeO2–Au Nanofibers/Graphene Oxide 3D Nanonetwork Structure for the Electrocatalytic Detection of Amlodipine. Ionics 2018, 24, 1813–1826. [Google Scholar] [CrossRef]
- Ramos, M.M.V.; Carvalho, J.H.S.; de Oliveira, P.R.; Janegitz, B.C. Determination of Serotonin by Using a Thin Film Containing Graphite, Nanodiamonds and Gold Nanoparticles Anchored in Casein. Measurement 2020, 149, 106979. [Google Scholar] [CrossRef]
- Castilho, T.J.; Sotomayor, M.D.P.T.; Kubota, L.T. Amperometric Biosensor Based on Horseradish Peroxidase for Biogenic Amine Determinations in Biological Samples. J. Pharm. Biomed. Anal. 2005, 37, 785–791. [Google Scholar] [CrossRef]
- Baluta, S.; Zając, D.; Szyszka, A.; Malecha, K.; Cabaj, J. Enzymatic Platforms for Sensitive Neurotransmitter Detection. Sensors 2020, 20, 423. [Google Scholar] [CrossRef]
- Chávez, J.; Hagen, J.; Kelley-Loughnane, N. Fast and Selective Plasmonic Serotonin Detection with Aptamer-Gold Nanoparticle Conjugates. Sensors 2017, 17, 681. [Google Scholar] [CrossRef] [Green Version]
- Freire, R.S.; Pessoa, C.A.; Mello, L.D.; Kubota, L.T. Direct Electron Transfer: An Approach for Electrochemical Biosensors with Higher Selectivity and Sensitivity. J. Braz. Chem. Soc. 2003, 14, 230–243. [Google Scholar] [CrossRef]
- Xu, F.; Shin, W.; Brown, S.H.; Wahleithner, J.A.; Sundaram, U.M.; Solomon, E.I. A Study of a Series of Recombinant Fungal Laccases and Bilirubin Oxidase That Exhibit Significant Differences in Redox Potential, Substrate Specificity, and Stability. Biochim. Biophys. Acta (BBA)-Protein Struct. Mol. Enzymol. 1996, 1292, 303–311. [Google Scholar] [CrossRef]
- Varfolomeev, S.D.; Kurochkin, I.N.; Yaropolov, A.I. Direct Electron Transfer Effect Biosensors. Biosens. Bioelectron. 1996, 11, 863–871. [Google Scholar] [CrossRef]
- Lee, C.W.; Gray, H.B.; Anson, F.C.; Malmström, B.G. Catalysis of the Reduction of Dioxygen at Graphite Electrodes Coated with Fungal Laccase A. J. Electroanal. Chem. Interfac. Electrochem. 1984, 172, 289–300. [Google Scholar] [CrossRef]
- Gallaway, J.W.; Calabrese Barton, S.A. Kinetics of Redox Polymer-Mediated Enzyme Electrodes. J. Am. Chem. Soc. 2008, 130, 8527–8536. [Google Scholar] [CrossRef]
- Mano, N.; Soukharev, V.; Heller, A. A Laccase-Wiring Redox Hydrogel for Efficient Catalysis of O2 Electroreduction. J. Phys. Chem. B 2006, 110, 11180–11187. [Google Scholar] [CrossRef]
- Solomon, E.I.; Sundaram, U.M.; Machonkin, T.E. Multicopper Oxidases and Oxygenases. Chem. Rev. 1996, 96, 2563–2606. [Google Scholar] [CrossRef] [PubMed]
- Bounegru, A.V.; Apetrei, C. Development of a Novel Electrochemical Biosensor Based on Carbon Nanofibers–Cobalt Phthalocyanine–Laccase for the Detection of p-Coumaric Acid in Phytoproducts. Int. J. Mol. Sci. 2021, 22, 9302. [Google Scholar] [CrossRef] [PubMed]
- Sun, J.; Yang, L.; Jiang, M.; Shi, Y.; Xu, B.; Ma, H. Stability and Activity of Immobilized Trypsin on Carboxymethyl Chitosan-Functionalized Magnetic Nanoparticles Cross-Linked with Carbodiimide and Glutaraldehyde. J. Chromatogr. B 2017, 1054, 57–63. [Google Scholar] [CrossRef]
- Mucuna Pruriens Pulbere Ecologica/Bio 125 g Obio-Natural-Vegis.ro. Available online: https://vegis.ro/suplimente-pulbere/obio/11253-mucuna-pruriens-pulbere-ecologica-bio-125g/ (accessed on 11 July 2022).
- Borah, M.M.; Devi, T.G. Vibrational Study and Natural Bond Orbital Analysis of Serotonin in Monomer and Dimer States by Density Functional Theory. J. Mol. Struct. 2018, 1161, 464–476. [Google Scholar] [CrossRef]
- Pan, M.; Shan, C.; Zhang, X.; Zhang, Y.; Zhu, C.; Gao, G.; Pan, B. Environmentally Friendly in Situ Regeneration of Graphene Aerogel as a Model Conductive Adsorbent. Environ. Sci. Technol. 2018, 52, 739–746. [Google Scholar] [CrossRef] [PubMed]
- Li, X.; Zhang, W.; Xie, D.; Wang, X.; Ye, W.; Liang, W. Electrochemical Treatment of Humic Acid Using Particle Electrodes Ensembled by Ordered Mesoporous Carbon. Environ. Sci. Pollut. Res. 2018, 25, 20071–20083. [Google Scholar] [CrossRef] [PubMed]
- Mosallanejad, S.; Dlugogorski, B.Z.; Kennedy, E.M.; Stockenhuber, M. Adsorption of 2-Chlorophenol on the Surface of Silica- and Alumina-Supported Iron Oxide: An FTIR and XPS Study. ChemCatChem 2017, 9, 481–491. [Google Scholar] [CrossRef]
- Kong, J.; Yu, S. Fourier Transform Infrared Spectroscopic Analysis of Protein Secondary Structures. Acta Biochim. Biophys. Sin. 2007, 39, 549–559. [Google Scholar] [CrossRef]
- Susi, H.; Byler, D.M. [13] Resolution-Enhanced Fourier Transform Infrared Spectroscopy of Enzymes. In Methods in Enzymology; Elsevier: Amsterdam, The Netherlands, 1986; Volume 130, pp. 290–311. ISBN 978-0-12-182030-5. [Google Scholar]
- Surewicz, W.K.; Mantsch, H.H. New Insight into Protein Secondary Structure from Resolution-Enhanced Infrared Spectra. Biochim. Biophys. Acta (BBA)-Protein Struct. Mol. Enzymol. 1988, 952, 115–130. [Google Scholar] [CrossRef]
- Krimm, S.; Bandekar, J. Vibrational Spectroscopy and Conformation of Peptides, Polypeptides, and Proteins. In Advances in Protein Chemistry; Elsevier: Amsterdam, The Netherlands, 1986; Volume 38, pp. 181–364. ISBN 978-0-12-034238-9. [Google Scholar]
- Ramasubramaniam, S.; Govindarajan, C.; Nasreen, K.; Sudha, P.N. Removal of Cadmium (II) Ions from Aqueous Solution Using Chitosan/Starch Polymer Blend. Compos. Interfaces 2014, 21, 95–109. [Google Scholar] [CrossRef]
- Thiyagarajan, P.; Selvam, K.; Sudhakar, C.; Selvankumar, T. Enhancement of Adsorption of Magenta Dye by Immobilized Laccase on Functionalized Biosynthesized Activated Carbon Nanotubes. Water Air Soil Pollut. 2020, 231, 364. [Google Scholar] [CrossRef]
- Huang, H.; Chen, Y.; Chen, Z.; Chen, J.; Hu, Y.; Zhu, J.J. Electrochemical Sensor Based on Ce-MOF/Carbon Nanotube Composite for the Simultaneous Discrimination of Hydroquinone and Catechol. J. Hazard. Mater. 2021, 416, 125895. [Google Scholar] [CrossRef]
- Wang, F.; Wu, Y.; Lu, K.; Ye, B. A Simple but Highly Sensitive and Selective Calixarene-Based Voltammetric Sensor for Serotonin. Electrochim. Acta 2013, 87, 756–762. [Google Scholar] [CrossRef]
- Han, S.; Zhang, T.; Li, T.; Kong, L.; Lv, Y.; He, L. A Sensitive HPLC-ECD Method for Detecting Serotonin Released by RBL-2H3 Cells Stimulated by Potential Allergens. Anal. Methods 2015, 7, 8918–8924. [Google Scholar] [CrossRef]
- Gunache (Roșca), R.O.; Bounegru, A.V.; Apetrei, C. Determination of Atorvastatin with Voltammetric Sensors Based on Nanomaterials. Inventions 2021, 6, 57. [Google Scholar] [CrossRef]
- Munteanu, I.G.; Apetrei, C. Electrochemical Determination of Chlorogenic Acid in Nutraceuticals Using Voltammetric Sensors Based on Screen-Printed Carbon Electrode Modified with Graphene and Gold Nanoparticles. Int. J. Mol. Sci. 2021, 22, 8897. [Google Scholar] [CrossRef] [PubMed]
- Burestedt, E.; Narvaez, A.; Ruzgas, T.; Gorton, L.; Emnéus, J.; Domínguez, E.; Marko-Varga, G. Rate-Limiting Steps of Tyrosinase-Modified Electrodes for the Detection of Catechol. Anal. Chem. 1996, 68, 1605–1611. [Google Scholar] [CrossRef] [PubMed]
- Łukaszewski, M.; Soszko, M.; Czerwiński, A. Electrochemical Methods of Real Surface Area Determination of Noble Metal Electrodes—An Overview. Int. J. Electrochem. Sci. 2016, 11, 4442–4469. [Google Scholar] [CrossRef]
- Anithaa, A.C.; Asokan, K.; Sekar, C. Highly Sensitive and Selective Serotonin Sensor Based on Gamma Ray Irradiated Tungsten Trioxide Nanoparticles. Sens. Actuators B Chem. 2017, 238, 667–675. [Google Scholar] [CrossRef]
- Adam, C.; Scodeller, P.; Grattieri, M.; Villalba, M.; Calvo, E.J. Revisiting Direct Electron Transfer in Nanostructured Carbon Laccase Oxygen Cathodes. Bioelectrochemistry 2016, 109, 101–107. [Google Scholar] [CrossRef]
- Sarada, B.V.; Rao, T.N.; Tryk, D.A.; Fujishima, A. Electrochemical Oxidation of Histamine and Serotonin at Highly Boron-Doped Diamond Electrodes. Anal. Chem. 2000, 72, 1632–1638. [Google Scholar] [CrossRef]
- Yaropolov, A.I.; Skorobogat’ko, O.V.; Vartanov, S.S.; Varfolomeyev, S.D. Laccase: Properties, Catalytic Mechanism, and Applicability. Appl. Biochem. Biotechnol. 1994, 49, 257–280. [Google Scholar] [CrossRef]
- Xu, F.; Kulys, J.J.; Duke, K.; Li, K.; Krikstopaitis, K.; Deussen, H.J.W.; Abbate, E.; Galinyte, V.; Schneider, P. Redox Chemistry in Laccase-Catalyzed Oxidation of N-Hydroxy Compounds. Appl. Environ. Microbiol 2000, 66, 2052–2056. [Google Scholar] [CrossRef]
- Ghindilis, A.L.; Atanasov, P.; Wilkins, E. Enzyme-Catalyzed Direct Electron Transfer: Fundamentals and Analytical Applications. Electroanalysis 1997, 9, 661–674. [Google Scholar] [CrossRef]
- Dăscălescu, D.; Apetrei, C. Nanomaterials Based Electrochemical Sensors for Serotonin Detection: A Review. Chemosensors 2021, 9, 14. [Google Scholar] [CrossRef]
- Apetrei, R.M.; Cârâc, G.; Bahrim, G.; Camurlu, P. Sensitivity Enhancement for Microbial Biosensors through Cell Self-Coating with Polypyrrole. Int. J. Polym. Mater. Polym. Biomater. 2019, 68, 1058–1067. [Google Scholar] [CrossRef]
- Bounegru, A.V.; Apetrei, C. Development of a Novel Electrochemical Biosensor Based on Carbon Nanofibers–Gold Nanoparticles–Tyrosinase for the Detection of Ferulic Acid in Cosmetics. Sensors 2020, 20, 6724. [Google Scholar] [CrossRef] [PubMed]
- Bounegru, A.V.; Apetrei, C. Simultaneous Determination of Caffeic Acid and Ferulic Acid Using a Carbon Nanofiber-Based Screen-Printed Sensor. Sensors 2022, 22, 4689. [Google Scholar] [CrossRef] [PubMed]
- Rand, E.; Periyakaruppan, A.; Tanaka, Z.; Zhang, D.A.; Marsh, M.P.; Andrews, R.J.; Lee, K.H.; Chen, B.; Meyyappan, M.; Koehne, J.E. A Carbon Nanofiber Based Biosensor for Simultaneous Detection of Dopamine and Serotonin in the Presence of Ascorbicacid. Biosens. Bioelectron. 2013, 42, 434–438. [Google Scholar] [CrossRef]
- Fayemi, O.E.; Adekunle, A.S.; Ebenso, E.E. Electrochemical Determination of Serotonin in Urine Samples Based on Metal Oxide Nanoparticles/MWCNT on Modified Glassy Carbon Electrode. Sens. Bio-Sens. Res. 2017, 13, 17–27. [Google Scholar] [CrossRef]
- Ran, G.; Chen, X.; Xia, Y. Electrochemical Detection of Serotonin Based on a Poly(Bromocresol Green) Film and Fe3O4 Nanoparticles in a Chitosan Matrix. RSC Adv. 2017, 7, 1847–1851. [Google Scholar] [CrossRef]
- Satyanarayana, M.; Koteshwara Reddy, K.; Vengatajalabathy Gobi, K. Nanobiocomposite Based Electrochemical Sensor for Sensitive Determination of Serotonin in Presence of Dopamine, Ascorbic Acid and Uric Acid In Vitro. Electroanalysis 2014, 26, 2365–2372. [Google Scholar] [CrossRef]
- Dinesh, B.; Veeramani, V.; Chen, S.M.; Saraswathi, R. In Situ Electrochemical Synthesis of Reduced Graphene Oxide-Cobalt Oxide Nanocomposite Modified Electrode for Selective Sensing of Depression Biomarker in the Presence of Ascorbic Acid and Dopamine. J. Electroanal. Chem. 2017, 786, 169–176. [Google Scholar] [CrossRef]
- Dăscălescu, D.; Apetrei, C. Voltammetric Determination of Levodopa Using Mesoporous Carbon—Modified Screen-Printed Carbon Sensors. Sensors 2021, 21, 6301. [Google Scholar] [CrossRef]
- Application of Fourier Transform Infrared (FTIR) Spectroscopy Coupled with Multivariate Calibration for Quantitative Analysis of Curcuminoid in Tablet Dosage Form. J. Appl. Pharm. Sci. 2018, 8, 151–156. [CrossRef]
- Bel’skaya, L.V.; Sarf, E.A.; Solomatin, D.V. Application of FTIR Spectroscopy for Quantitative Analysis of Blood Serum: A Preliminary Study. Diagnostics 2021, 11, 2391. [Google Scholar] [CrossRef] [PubMed]















| Sensor | Ia1 (µA) | Ic2 (µA) | Ic/Ia | Epa3 (V) | Epc4 (V) | E1/25 (V) | ΔE 6 (V) |
|---|---|---|---|---|---|---|---|
| OMC-SPE | 58.95 | −49.34 | 0.83 | 0.135 | 0.105 | 0.170 | 0.130 |
| OMC-SPE/Lac | 88.08 | −56.76 | 0.64 | 0.482 | 0.299 | 0.390 | 0.183 |
| Electrode | Ipa vs. v1/2 | R2 | A (cm2) | Roughness Factor |
|---|---|---|---|---|
| OMC-SPE | Ipa (A)= 3.15 × 10−4 v1/2(V·s−1)1/2 − 4.53 × 10−5 | 0.9944 | 0.144 | 1.146 |
| OMC-SPE/Lac | Ipa (A) = 4.40 × 10−4 v1/2(V·s−1)1/2 − 6.26 × 10−5 | 0.9962 | 0.201 | 1.600 |
| Electrode | Linear Equation | R2 | Γ (mol·cm−2) |
|---|---|---|---|
| OMC-SPE | I = −1.053 × 10−4v −8.111 × 10−5 | 0.9944 | 3.09 × 10−10 |
| OMC-SPE/Lac | I = −2.596 × 10−4v −1.852 × 10−5 | 0.9959 | 5.45 × 10−10 |
| Modified Electrode | Detection Technique | Linearity | LOD | Ref. |
|---|---|---|---|---|
| rGO-Ag2Se (1) | DPV | 0.1–15 µM | 29.6 nM | [32] |
| GCE/CNFs (2) | DPV | 0.1–10 µM | 250 nM | [78] |
| MWCNT (3) doped with Ni, Zn, and Fe | CV, SWV | 0.006–62.8 μM | 118 nM | [79] |
| Fe3O4NPs-MWCNT-poly(BOG) (4) | DPV | 0.5–100 µM | 80 nM | [80] |
| MWCNT/CHT (5) | CV, DPV | 0.05–16 µM | 50 nM | [81] |
| Pt-E/bisEDOTDTSi/Lac (6) | CV | 0.1–200 µM | 48 nM | [39] |
| RGO/Co3O4 nanocomposite (7) | CV, DPV | 0.1–51 µM | 48.7 nM | [82] |
| OMC-SPE/Lac | SWV | 0.1–1.2 µM | 316 nM | This work |
| Studied Compound | OMC-SPE/Lac | ||
|---|---|---|---|
| h (Hill Coefficient) | Imax/μA | ||
| Serotonin | 0.90 | 108.6957 | 0.01087 |
| Interfering Compound | Concentration/M | Recovery/% | RSD/% | Tolerance Limit/M (Concentration of Interferent That Determined an RSD of 5%) |
|---|---|---|---|---|
| Tyrosine | 10−5 | 99.8 | 2.7 | 1.85 × 10−5 |
| Tryptophan | 10−5 | 97.4 | 3.2 | 1.56 × 10−5 |
| Phenylalanine | 10−5 | 100.2 | 2.9 | 1.72 × 10−5 |
| Food Supplement | c% Serotonin FTIR Method | c% Serotonin Voltammetric Method |
|---|---|---|
| Now Foods | 1.42 | 1.50 |
| Bio Raw Foods | 1.25 | 1.52 |
| Haya Labs | 1.48 | 1.44 |
Publisher’s Note: MDPI stays neutral with regard to jurisdictional claims in published maps and institutional affiliations. |
© 2022 by the authors. Licensee MDPI, Basel, Switzerland. This article is an open access article distributed under the terms and conditions of the Creative Commons Attribution (CC BY) license (https://creativecommons.org/licenses/by/4.0/).
Share and Cite
Dăscălescu, D.; Apetrei, C. Development of a Novel Electrochemical Biosensor Based on Organized Mesoporous Carbon and Laccase for the Detection of Serotonin in Food Supplements. Chemosensors 2022, 10, 365. https://doi.org/10.3390/chemosensors10090365
Dăscălescu D, Apetrei C. Development of a Novel Electrochemical Biosensor Based on Organized Mesoporous Carbon and Laccase for the Detection of Serotonin in Food Supplements. Chemosensors. 2022; 10(9):365. https://doi.org/10.3390/chemosensors10090365
Chicago/Turabian StyleDăscălescu, Dorin, and Constantin Apetrei. 2022. "Development of a Novel Electrochemical Biosensor Based on Organized Mesoporous Carbon and Laccase for the Detection of Serotonin in Food Supplements" Chemosensors 10, no. 9: 365. https://doi.org/10.3390/chemosensors10090365
APA StyleDăscălescu, D., & Apetrei, C. (2022). Development of a Novel Electrochemical Biosensor Based on Organized Mesoporous Carbon and Laccase for the Detection of Serotonin in Food Supplements. Chemosensors, 10(9), 365. https://doi.org/10.3390/chemosensors10090365

