Pre-Stroke Frailty and Outcomes following Percutaneous Endoscopic Gastrostomy Tube Insertion
Abstract
1. Introduction
2. Materials and Methods
2.1. Patient Cohort and Setting
2.2. Assessment of Pre-Stroke Frailty
2.3. Clinical Outcomes
2.4. Statistical Analysis
3. Results
3.1. Patient Cohort
3.2. One-Year Mortality
3.3. Aspiration
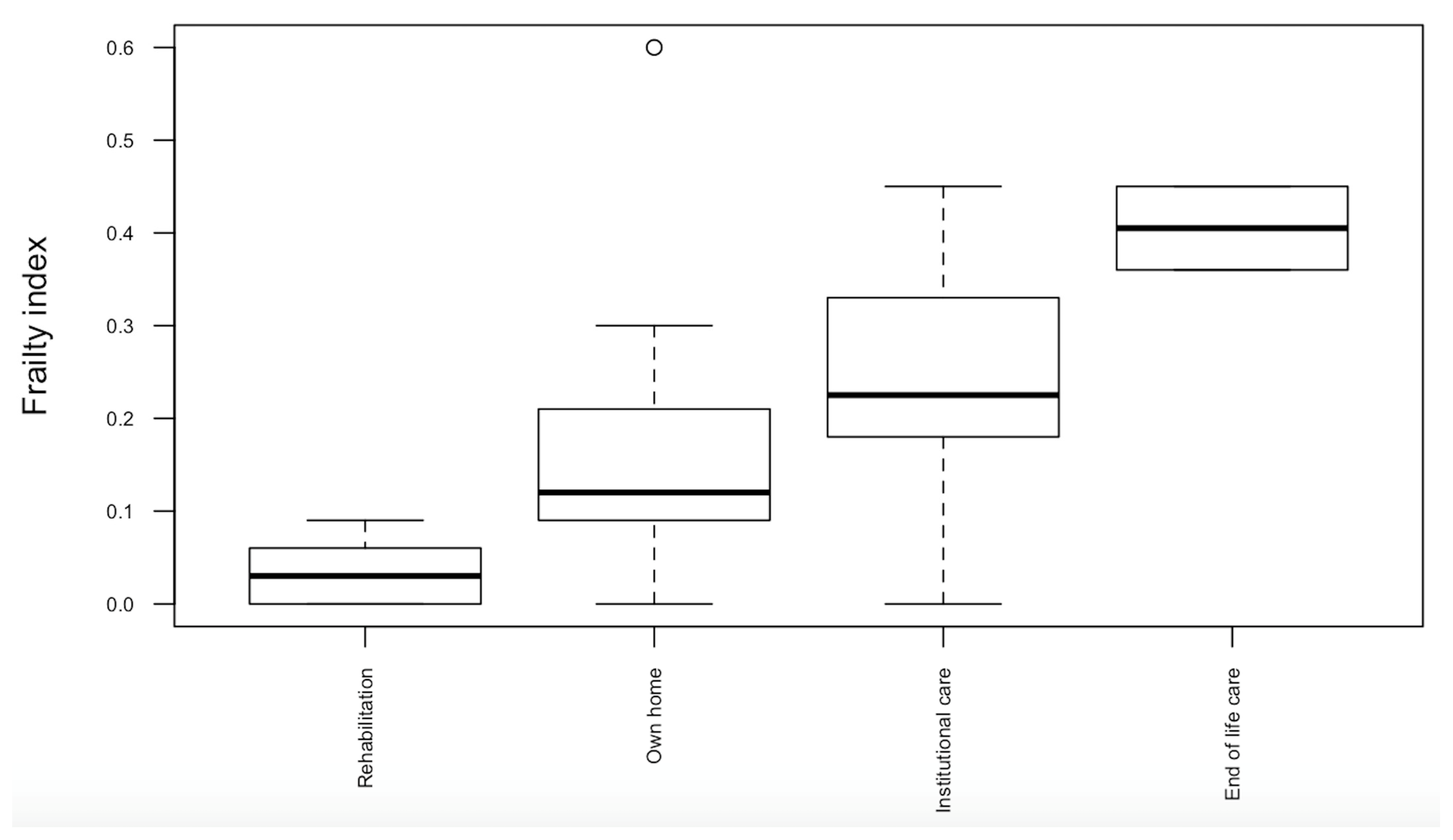
3.4. Discharge Destination
4. Discussion
5. Conclusions
Author Contributions
Funding
Institutional Review Board Statement
Informed Consent Statement
Data Availability Statement
Conflicts of Interest
References
- Banda, K.J.; Chu, H.; Kang, X.L.; Liu, D.; Pien, L.C.; Jen, H.J.; Hsiao, S.S.; Chou, K.R. Prevalence of dysphagia and risk of pneumonia and mortality in acute stroke patients: A meta-analysis. BMC Geriatr. 2022, 22, 420. [Google Scholar] [CrossRef] [PubMed]
- Labeit, B.; Michou, E.; Hamdy, S.; Trapl-Grundschober, M.; Suntrup-Krueger, S.; Muhle, P.; Bath, P.M.; Dziewas, R. The assessment of dysphagia after stroke: State of the art and future directions. Lancet Neurol. 2023, 22, 858–870. [Google Scholar] [CrossRef] [PubMed]
- Clegg, A.; Young, J.; Iliffe, S.; Rikkert, M.O.; Rockwood, K. Frailty in elderly people. Lancet 2013, 381, 752–762. [Google Scholar] [CrossRef]
- Burton, J.K.; Stewart, J.; Blair, M.; Oxley, S.; Wass, A.; Taylor-Rowan, M.; Quinn, T.J. Prevalence and implications of frailty in acute stroke: Systematic review & meta-analysis. Age Ageing 2022, 51, afac064. [Google Scholar] [CrossRef]
- Evans, N.R.; Todd, O.M.; Minhas, J.S.; Fearon, P.; Harston, G.W.; Mant, J.; Mead, G.; Hewitt, J.; Quinn, T.J.; Warburton, E.A. Frailty and cerebrovascular disease: Concepts and clinical implications for stroke medicine. Int. J. Stroke 2021, 17, 251–259. [Google Scholar] [CrossRef]
- Evans, N.R.; Wall, J.; To, B.; Wallis, S.J.; Romero-Ortuno, R.; Warburton, E.A. Clinical frailty independently predicts early mortality after ischaemic stroke. Age Ageing 2020, 49, 588–591. [Google Scholar] [CrossRef] [PubMed]
- Fried, L.P.; Tangen, C.M.; Walston, J.; Newman, A.B.; Hirsch, C.; Gottdiener, J.; Seeman, T.; Tracy, R.; Kop, W.J.; Burke, G.; et al. Frailty in older adults: Evidence for a phenotype. J. Gerontol. Ser. A Biol. Sci. Med. Sci. 2001, 56, M146–M156. [Google Scholar] [CrossRef]
- Rockwood, K.; Mitnitski, A. Frailty in relation to the accumulation of deficits. J. Gerontol. Ser. A Biol. Sci. Med. Sci. 2007, 62, 722–727. [Google Scholar] [CrossRef]
- Street, A.; Maynou, L.; Gilbert, T.; Stone, T.; Mason, S.; Conroy, S. The use of linked routine data to optimise calculation of the Hospital Frailty Risk Score on the basis of previous hospital admissions: A retrospective observational cohort study. Lancet Healthy Longev. 2021, 2, e154–e162. [Google Scholar] [CrossRef]
- Clegg, A.; Bates, C.; Young, J.; Ryan, R.; Nichols, L.; Ann Teale, E.; Mohammed, M.A.; Parry, J.; Marshall, T. Development and validation of an electronic frailty index using routine primary care electronic health record data. Age Ageing 2016, 45, 353–360. [Google Scholar] [CrossRef]
- Dent, E.; Kowal, P.; Hoogendijk, E.O. Frailty measurement in research and clinical practice: A review. Eur. J. Intern. Med. 2016, 31, 3–10. [Google Scholar] [CrossRef] [PubMed]
- Taylor-Rowan, M.; Cuthbertson, G.; Keir, R.; Shaw, R.; Drozdowska, B.; Elliott, E.; Stott, D.; Quinn, T.J. The prevalence of frailty among acute stroke patients, and evaluation of method of assessment. Clin. Rehabil. 2019, 33, 1688–1696. [Google Scholar] [CrossRef]
- Theou, O.; Haviva, C.; Wallace, L.; Searle, S.D.; Rockwood, K. How to construct a frailty index from an existing dataset in 10 steps. Age Ageing 2023, 52, afad221. [Google Scholar] [CrossRef] [PubMed]
- Hanlon, P.; Welsh, S.A.; Evans, N.R. Constructing a quality frailty index: You get out what you put in. Age Ageing 2024, 53, afad248. [Google Scholar] [CrossRef] [PubMed]
- Gordon, E.H.; Reid, N.; Khetani, I.S.; Hubbard, R.E. How frail is frail? A systematic scoping review and synthesis of high impact studies. BMC Geriatr. 2021, 21, 719. [Google Scholar] [CrossRef] [PubMed]
- Rockwood, K.; Andrew, M.; Mitnitski, A. A comparison of two approaches to measuring frailty in elderly people. J. Gerontol. Ser. A Biol. Sci. Med. Sci. 2007, 62, 738–743. [Google Scholar] [CrossRef] [PubMed]
- Cervo, F.A.; Bryan, L.; Farber, S. To PEG or not to PEG: A review of evidence for placing feeding tubes in advanced dementia and the decision-making process. Geriatrics 2006, 61, 30–35. [Google Scholar] [PubMed]
- Murphy, L.M.; Lipman, T.O. Percutaneous endoscopic gastrostomy does not prolong survival in patients with dementia. Arch. Intern. Med. 2003, 163, 1351–1353. [Google Scholar] [CrossRef] [PubMed]
- Fessler, T.A.; Short, T.B.; Willcutts, K.F.; Sawyer, R.G. Physician opinions on decision making for percutaneous endoscopic gastrostomy (PEG) feeding tube placement. Surg. Endosc. 2019, 33, 4089–4097. [Google Scholar] [CrossRef]
- Gieniusz, M.; Sinvani, L.; Kozikowski, A.; Patel, V.; Nouryan, C.; Williams, M.S.; Kohn, N.; Pekmezaris, R.; Wolf-Klein, G. Percutaneous Feeding Tubes in Individuals with Advanced Dementia: Are Physicians “Choosing Wisely”? J. Am. Geriatr. Soc. 2018, 66, 64–69. [Google Scholar] [CrossRef]
- Pih, G.Y.; Na, H.K.; Ahn, J.Y.; Jung, K.W.; Kim, D.H.; Lee, J.H.; Choi, K.D.; Song, H.J.; Lee, G.H.; Jung, H.Y. Risk factors for complications and mortality of percutaneous endoscopic gastrostomy insertion. BMC Gastroenterol. 2018, 18, 101. [Google Scholar] [CrossRef] [PubMed]
- Stenberg, K.; Eriksson, A.; Odensten, C.; Darehed, D. Mortality and complications after percutaneous endoscopic gastrostomy: A retrospective multicentre study. BMC Gastroenterol. 2022, 22, 361. [Google Scholar] [CrossRef] [PubMed]
- Toh Yoon, E.W.; Yoneda, K.; Nishihara, K. Percutaneous endoscopic gastrostomy for enteral nutrition: A 5-year clinical experience with 324 patients. Minerva Gastroenterol. E Dietol. 2019, 65, 20–29. [Google Scholar] [CrossRef] [PubMed]
- Barbosa, M.; Magalhaes, J.; Marinho, C.; Cotter, J. Predictive factors of early mortality after percutaneous endoscopic gastrostomy placement: The importance of C-reactive protein. Clin. Nutr. ESPEN 2016, 14, 19–23. [Google Scholar] [CrossRef] [PubMed]
- Blomberg, J.; Lagergren, P.; Martin, L.; Mattsson, F.; Lagergren, J. Albumin and C-reactive protein levels predict short-term mortality after percutaneous endoscopic gastrostomy in a prospective cohort study. Gastrointest. Endosc. 2011, 73, 29–36. [Google Scholar] [CrossRef] [PubMed]
- Lee, C.; Im, J.P.; Kim, J.W.; Kim, S.E.; Ryu, D.Y.; Cha, J.M.; Kim, E.Y.; Kim, E.R.; Chang, D.K. Risk factors for complications and mortality of percutaneous endoscopic gastrostomy: A multicenter, retrospective study. Surg. Endosc. 2013, 27, 3806–3815. [Google Scholar] [CrossRef] [PubMed]
- Wallis, S.J.; Wall, J.; Biram, R.W.; Romero-Ortuno, R. Association of the clinical frailty scale with hospital outcomes. QJM Mon. J. Assoc. Physicians 2015, 108, 943–949. [Google Scholar] [CrossRef] [PubMed]
- Kilkenny, M.F.; Phan, H.T.; Lindley, R.I.; Kim, J.; Lopez, D.; Dalli, L.L.; Grimley, R.; Sundararajan, V.; Thrift, A.G.; Andrew, N.E.; et al. Utility of the Hospital Frailty Risk Score Derived From Administrative Data and the Association With Stroke Outcomes. Stroke 2021, 52, 2874–2881. [Google Scholar] [CrossRef] [PubMed]
- George, B.P.; Kelly, A.G.; Albert, G.P.; Hwang, D.Y.; Holloway, R.G. Timing of Percutaneous Endoscopic Gastrostomy for Acute Ischemic Stroke: An Observational Study From the US Nationwide Inpatient Sample. Stroke 2017, 48, 420–427. [Google Scholar] [CrossRef]
- Bommena, S.; Rangan, P.; Lee-Iannotti, J.; Wassef, W.; Nanda, R. Timing and Outcomes of Percutaneous Endoscopic Gastrostomy After Ischemic Stroke. Gastroenterol. Res. 2023, 16, 281–288. [Google Scholar] [CrossRef]
- Joundi, R.A.; Saposnik, G.; Martino, R.; Fang, J.; Kapral, M.K. Timing of Direct Enteral Tube Placement and Outcomes after Acute Stroke. J. Stroke Cerebrovasc. Dis. 2019, 28, 104401. [Google Scholar] [CrossRef] [PubMed]
- Sutcliffe, L.; Flynn, D.; Price, C.I. Percutaneous Endoscopic Gastrostomy and Mortality After Stroke in England From 2007 to 2018: A Retrospective Cohort Study. Stroke 2020, 51, 3658–3663. [Google Scholar] [CrossRef] [PubMed]
- Crisan, D.; Shaban, A.; Boehme, A.; Dubin, P.; Juengling, J.; Schluter, L.A.; Albright, K.C.; Beasley, T.M.; Martin-Schild, S. Predictors of Recovery of Functional Swallow After Gastrostomy Tube Placement for Dysphagia in Stroke Patients After Inpatient Rehabilitation: A Pilot Study. Ann. Rehabil. Med. 2014, 38, 467–475. [Google Scholar] [CrossRef] [PubMed][Green Version]
- Cosentino, C.B.; Mitchell, B.G.; Brewster, D.J.; Russo, P.L. The utility of frailty indices in predicting the risk of health care associated infections: A systematic review. Am. J. Infect. Control 2021, 49, 1078–1084. [Google Scholar] [CrossRef]
- Smithard, D.G.; Yoshimatsu, Y. Pneumonia, Aspiration Pneumonia, or Frailty-Associated Pneumonia? Geriatrics 2022, 7, 115. [Google Scholar] [CrossRef]

| Depression | Haemoglobin (Low) | Liver Disease |
| Anxiety | Care-home resident | Peptic ulcer |
| Polypharmacy | Carers | Arthritis |
| Previous cerebrovascular disease | Sensory impairment (e.g., blindness) | Impaired external ADL |
| Atrial fibrillation | Hearing aid | Impaired ADL |
| Diabetes | Bladder incontinence | Mobility aid |
| Hypertension | Bowel incontinence | Assistance walking |
| Hyperlipideaemia | Falls | Calcium |
| Heart failure | Fracture | Albumin (low) |
| Vascular disease | Cancer | High glucose (>10 mg/L) |
| Previous myocardial infarction | Chronic obstructive pulmonary disease | Renal failure |
| All Patients (n = 29) | Patients without Frailty (n = 21) | Patients with Frailty (n = 8) | Significance (between Patients with and without Frailty) | |
|---|---|---|---|---|
| Mean age (SD) (years) | 63.8 (20.0) | 60.0 (±21.8) | 73.6 (±9.5) | p = 0.03 |
| Male sex (%) | 20 (69.0) | 16 (76.2) | 4 (50.0) | p = 0.17 |
| Smoking (%) | 15 (51.7) | 10 (47.6) | 5 (62.5) | p = 0.47 |
| Hypertension (%) | 19 (65.5) | 12 (57.1) | 7 (87.5) | p = 0.12 |
| Diabetes (%) | 6 (20.7) | 3 (14.3) | 3 (37.5) | p = 0.17 |
| Atrial fibrillation (%) | 5 (17.2) | 2 (9.5) | 3 (37.5) | p = 0.08 |
| Mean NIHSS (IQR) | 12 (13.0) | 18 (3.5) | 6 (4) | p = 0.13 |
| Haemorrhagic stroke (%) | 11 (37.9) | 10 (47.6) | 1 (12.5) | p = 0.08 |
| Median Stroke to PEG interval (days) (IQR) | 63 (21.0) | 63 (26) | 63.5 (17.8) | p = 0.77 |
| Mortality (%) | 11 (37.9) | 5 (23.8) | 6 (75.0) | p = 0.01 |
| Survival at One Year Post-PEG Tube Insertion (n = 18) | Death by One Year Post-PEG Tube Insertion (n = 11) | Significance | |
|---|---|---|---|
| Mean age (SD) (years) | 59.6 (±23.0) | 70.7 (±11.3) | p = 0.09 |
| Male sex (%) | 14 (77.8) | 6 (54.5) | p = 0.19 |
| Smoking (%) | 8 (44.4) | 7 (63.6) | p = 0.32 |
| Hypertension (%) | 11 (61.1) | 8 (72.7) | p = 0.52 |
| Diabetes (%) | 4 (22.2) | 2 (18.2) | p = 0.79 |
| Atrial fibrillation (%) | 2 (0.11) | 3 (27.3) | p = 0.26 |
| Mean NIHSS (SD) | 13.5 (±8.3) | 10.3 (±5.2) | p = 0.43 |
| Haemorrhagic stroke (%) | 9 (50) | 2 (18.2) | p = 0.09 |
| Median Stroke to PEG interval (days) (IQR) | 65.5 (22.75) | 53 (20) | p = 0.01 |
| Mean FI (SD) | 0.1 (±0.09) | 0.27 (±0.19) | p = 0.02 |
| Adjusted Odds Ratio | Significance | |
|---|---|---|
| FI (per 0.1 increase) | 1.39 (1.17–1.67) | p = 0.04 |
| Age | 1.02 (0.85–1.22) | p = 0.29 |
| Male sex | 0.71 (0.42–1.22) | p = 0.10 |
| NIHSS | 1.01 (0.98–1.05) | p = 0.51 |
| Smoking | 0.85 (0.51–1.42) | p = 0.21 |
| Diabetes mellitus | 0.81 (0.44–1.47) | p = 0.52 |
| Hypertension | 0.70 (0.35–1.40) | p = 0.37 |
| Stroke to PEG interval | 1.00 (1.00–1.00) | p = 0.70 |
| No Aspiration (n = 10) | Aspiration (n = 19) | Significance | |
|---|---|---|---|
| Mean age (SD) (years) | 70.7 (±14.4) | 60.2 (±21.8) | p = 0.13 |
| Male sex (%) | 8 (80) | 13 (68.4) | p = 0.51 |
| Smoking (%) | 5 (50) | 10 (52.6) | p = 0.90 |
| Hypertension (%) | 6 (60) | 13 (68.4) | p = 0.65 |
| Diabetes (%) | 2 (20) | 4 (21.1) | p = 0.94 |
| Atrial fibrillation (%) | 2 (20) | 3 (15.8) | p = 0.77 |
| Mean NIHSS (SD) | 9.8 (±7.8) | 13.4 (±5.62) | p = 0.37 |
| Haemorrhagic stroke (%) | 3 (30) | 8 (42.1) | p = 0.36 |
| Median stroke to PEG interval (days) (IQR) | 64.5 (24) | 59 (28) | p = 0.10 |
| Median FI (IQR) | 0.11 (0.18) | 0.12 (0.21) | p = 0.75 |
Disclaimer/Publisher’s Note: The statements, opinions and data contained in all publications are solely those of the individual author(s) and contributor(s) and not of MDPI and/or the editor(s). MDPI and/or the editor(s) disclaim responsibility for any injury to people or property resulting from any ideas, methods, instructions or products referred to in the content. |
© 2024 by the authors. Licensee MDPI, Basel, Switzerland. This article is an open access article distributed under the terms and conditions of the Creative Commons Attribution (CC BY) license (https://creativecommons.org/licenses/by/4.0/).
Share and Cite
Gupta, K.; Williams, E.; Warburton, E.A.; Evans, N.R. Pre-Stroke Frailty and Outcomes following Percutaneous Endoscopic Gastrostomy Tube Insertion. Healthcare 2024, 12, 1557. https://doi.org/10.3390/healthcare12161557
Gupta K, Williams E, Warburton EA, Evans NR. Pre-Stroke Frailty and Outcomes following Percutaneous Endoscopic Gastrostomy Tube Insertion. Healthcare. 2024; 12(16):1557. https://doi.org/10.3390/healthcare12161557
Chicago/Turabian StyleGupta, Karan, Eleanor Williams, Elizabeth A. Warburton, and Nicholas Richard Evans. 2024. "Pre-Stroke Frailty and Outcomes following Percutaneous Endoscopic Gastrostomy Tube Insertion" Healthcare 12, no. 16: 1557. https://doi.org/10.3390/healthcare12161557
APA StyleGupta, K., Williams, E., Warburton, E. A., & Evans, N. R. (2024). Pre-Stroke Frailty and Outcomes following Percutaneous Endoscopic Gastrostomy Tube Insertion. Healthcare, 12(16), 1557. https://doi.org/10.3390/healthcare12161557

