An Examination of the Number of Adolescent Scoliotic Curves That Are Braceable at First Presentation to a Scoliosis Service
Abstract
1. Introduction
2. Methods
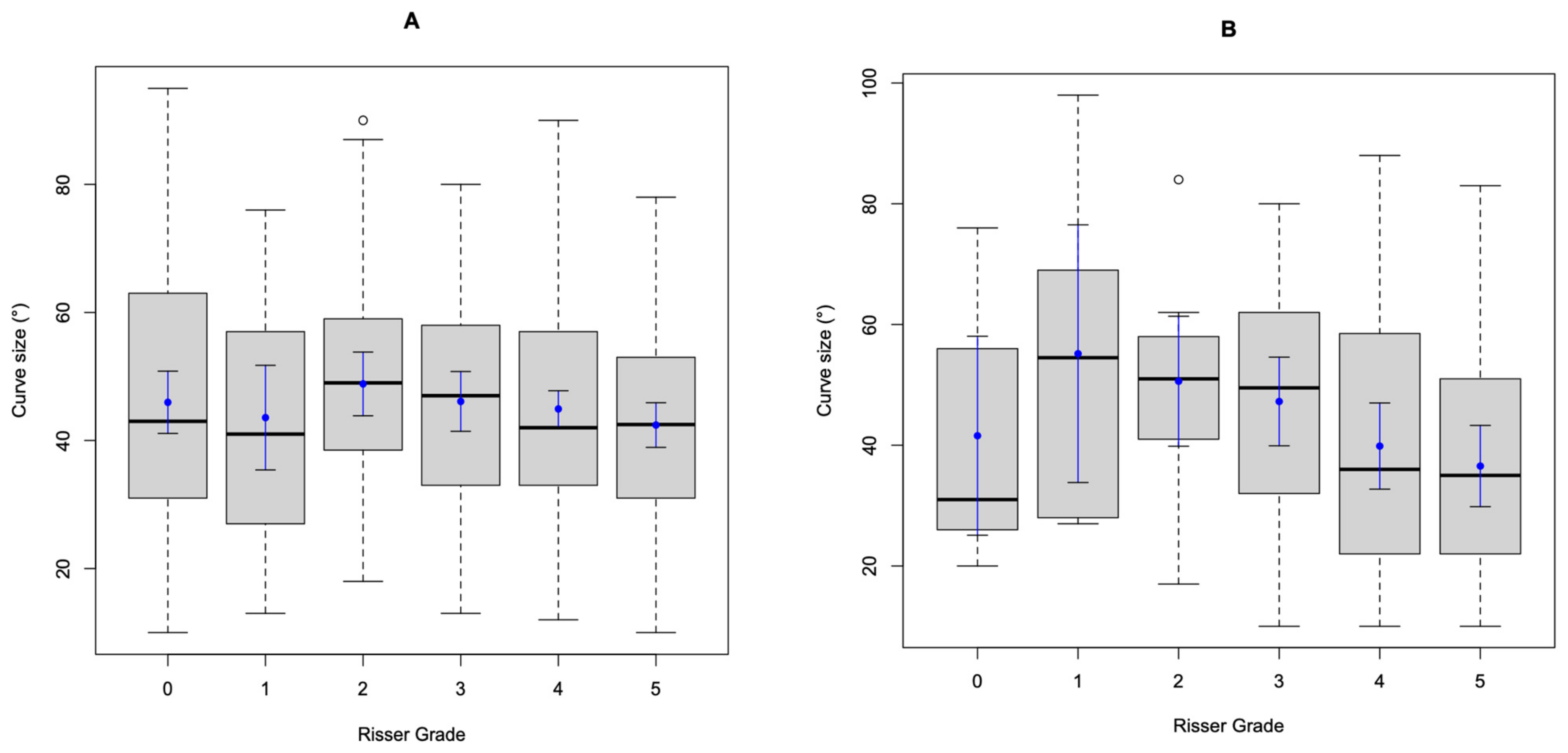
3. Results
4. Discussion
5. Conclusions
Author Contributions
Funding
Institutional Review Board Statement
Informed Consent Statement
Data Availability Statement
Conflicts of Interest
References
- Cheng, J.C.; Castelein, R.M.; Chu, W.C.; Danielsson, A.J.; Dobbs, M.B.; Grivas, T.B.; Gurnett, C.A.; Luk, K.D.; Moreau, A.; Newton, P.O.; et al. Adolescent idiopathic scoliosis. Nat. Rev. Dis. Primers 2015, 1, 15030. [Google Scholar] [CrossRef] [PubMed]
- Fong, D.Y.; Lee, C.F.; Cheung, K.M.; Cheng, J.C.; Ng, B.K.; Lam, T.P.; Mak, K.H.; Yip, P.S.; Luk, K.D. A meta-analysis of the clinical effectiveness of school scoliosis screening. Spine 2010, 35, 1061–1071. [Google Scholar] [CrossRef] [PubMed]
- Cobb, J. Outline for the study of scoliosis. Instr. Course Lect. 1948, 5, 261–275. [Google Scholar]
- Gardner, A.C.; Berryman, F.B.; Pynsent, P.B. A description of three-dimensional shape of the posterior torso comparing those with and without scoliosis. Symmetry 2019, 11, 211. [Google Scholar] [CrossRef]
- Han, J.; Xu, Q.; Yang, Y.; Yao, Z.; Zhang, C. Evaluation of quality of life and risk factors affecting quality of life in adolescent idiopathic scoliosis. Intractable Rare Dis. Res. 2015, 4, 12–16. [Google Scholar] [CrossRef]
- Wong, H.K.; Tan, K.J. The natural history of adolescent idiopathic scoliosis. Indian J. Orthop. 2010, 44, 9–13. [Google Scholar] [CrossRef]
- Ramo, B.; Tran, D.P.; Reddy, A.; Brown, K.; Niswander, C.; Erickson, M.; Garg, S. Delay to surgery greater than 6 months leads to substantial deformity progression and increased Intervention in immature adolescent idiopathic scoliosis (AIS) patients: A retrospective cohort study. Spine Deform. 2019, 7, 428–435. [Google Scholar] [CrossRef]
- Glavaš, J.; Rumboldt, M.; Karin, Ž.; Matković, R.; Kresina, S.; Dragaš-Zubalj, N.; Aljinović, J. The role of school medicine in the early detection and management of adolescent idiopathic scoliosis. Wien. Klin. Wochenschr. 2022, 4, 1. [Google Scholar] [CrossRef]
- Wilson, J.M.; Jungner, G. Principles and Practice of Screening for Disease; World Health Organisation: Geneva, Switzerland, 1968. [Google Scholar]
- UK National Screening Committee. Screening for Adolescent Idiopathic Scoliosis. Available online: https://legacyscreening.phe.org.uk/policydb_download.php?doc=667 (accessed on 19 April 2022).
- US Preventive Services Task Force; Grossman, D.C.; Curry, S.J.; Owens, D.K.; Barry, M.J.; Davidson, K.W.; Doubeni, C.A.; Epling, J.W., Jr.; Kemper, A.R.; Krist, A.H.; et al. Screening for adolescent idiopathic scoliosis: US Preventive Services Task Force recommendation statement. JAMA 2018, 319, 165–172. [Google Scholar]
- Dunn, J.; Henrikson, N.B.; Morrison, C.C.; Blasi, P.R.; Nguyen, M.; Lin, J.S. Screening for adolescent idiopathic scoliosis: Evidence report and systematic review for the US Preventive Services Task Force. JAMA 2018, 319, 173–187. [Google Scholar] [CrossRef]
- Weinstein, S.L.; Dolan, L.A.; Wright, J.G.; Dobbs, M.B. Effects of bracing in adolescents with idiopathic scoliosis. N. Engl. J. Med. 2013, 369, 1512–1521. [Google Scholar] [CrossRef]
- Scoliosis Research Society. The Scoliosis Research Society Brace Manual. Available online: https://www.srs.org/professionals/online-education-and-resources/srs-bracing-manual (accessed on 19 April 2022).
- British Scoliosis Society. Standards for Bracing. Available online: https://britscoliosis.org.uk/resources/Documents/BSS%20Standards%20of%20Care%20for%20Bracing%20in%20Adolescent%20Idiopathic%20Scoliosis.pdf (accessed on 20 December 2022).
- The BASIS Study. Available online: https://basisstudy.org/ (accessed on 20 December 2022).
- James, J. The etiology of scoliosis. J. Bone Jt. Surg. Br. 1970, 52, 410–419. [Google Scholar] [CrossRef]
- Risser, J.C. The iliac apophysis; an invaluable sign in the management of scoliosis. Clin. Orthop. 1958, 11, 111–119. [Google Scholar] [CrossRef]
- Hacquebord, J.H.; Leopold, S.S. In brief: The Risser classification: A classic tool for the clinician treating adolescent idiopathic scoliosis. Clin. Orthop. Relat. Res. 2012, 470, 2335–2338. [Google Scholar] [CrossRef]
- Insignia Medical Systems. InSight PACS (Picture Archiving and Communication System); Insignia Medical Systems: Basingstoke, UK, 2018; Available online: http://www.insigniamedical.co.uk/pacs/ (accessed on 1 September 2022).
- R Core Team. R: A Language and Environment for Statistical Computing; R Foundation for Statistical Computing: Vienna, Austria, 2020; Available online: https://www.R-project.org/ (accessed on 17 May 2022).
- Adobor, R.D.; Riise, R.B.; Sørensen, R.; Kibsgård, T.J.; Steen, H.; Brox, J.I. Scoliosis detection, patient characteristics, referral patterns and treatment in the absence of a screening program in Norway. Scoliosis 2012, 7, 18. [Google Scholar] [CrossRef]
- Beauséjour, M.; Roy-Beaudry, M.; Goulet, L.; Labelle, H. Patient characteristics at the initial visit to a scoliosis clinic: A cross-sectional study in a community without school screening. Spine 2007, 32, 1349–1354. [Google Scholar] [CrossRef]
- Ali Fazal, M.; Edgar, M. Detection of adolescent idiopathic scoliosis. Acta Orthop. Belg. 2006, 72, 184–186. [Google Scholar]
- Ohrt-Nissen, S.; Hallager, D.W.; Henriksen, J.L.; Gehrchen, M.; Dahl, B. Curve magnitude in patients referred for evaluation of adolescent idiopathic scoliosis: Five years’ experience from a system without school screening. Spine Deform. 2016, 4, 120–124. [Google Scholar] [CrossRef]
- Bivona, L.J.; France, J.; Daly-Seiler, C.S.; Burton, D.C.; Dolan, L.A.; Seale, J.J.; de Kleuver, M.; Ferrero, E.; Gurd, D.P.; Konya, D.; et al. Spinał deformity surgery is accompanied by serious complications: Report from the Morbidity and Mortality database of the Scoliosis Research Society from 2013 to 2020. Spine Deform. 2022, 10, 1307–1313. [Google Scholar] [CrossRef]
- Kwan, M.K.; Chiu, C.K.; Hasan, M.S.; Tan, S.H.; Loh, L.H.; Yeo, K.S.; Lee, W.H.; Chan, C.Y. Perioperative outcome of single stage posterior spinal fusion for severe adolescent Idiopathic scoliosis (AIS) (Cobb angle ≥ 90 degrees): The role of a dual attending surgeon strategy. Spine 2019, 44, E348–E356. [Google Scholar] [CrossRef]
- Samdani, A.F.; Ames, R.J.; Kimball, J.S.; Pahys, J.M.; Grewal, H.; Pelletier, G.J.; Betz, R.R. Anterior vertebral body tethering for idiopathic scoliosis: Two-year results. Spine 2014, 39, 1688–1693. [Google Scholar] [CrossRef] [PubMed]
- Tambe, A.D.; Panikkar, S.J.; Millner, P.A.; Tsirikos, A.I. Current concepts in the surgical management of adolescent idiopathic scoliosis. Bone Jt. J. 2018, 100-B, 415–424. [Google Scholar] [CrossRef] [PubMed]
- De Bodman, C.; Miyanji, F.; Borner, B.; Zambelli, P.-Y.; Racloz, G.; Dayer, R. Minimally invasive surgery for adolescent idiopathic scoliosis: Correction of deformity and peri-operative morbidity in 70 consecutive patients. Bone Jt. J. 2017, 99-B, 1651–1657. [Google Scholar] [CrossRef] [PubMed]
- Maruyama, T.; Kitagawa, T.; Takeshita, K.; Mochizuki, K.; Nakamura, K. Conservative treatment for adolescent idiopathic scoliosis: Can it reduce the incidence of surgical treatment? Pediatr. Rehabil. 2003, 6, 215–219. [Google Scholar] [CrossRef]
- Rigo, M.; Reiter, C.; Weiss, H.-R. Effect of conservative management on the prevalence of surgery in patients with adolescent idiopathic scoliosis. Pediatr Rehabil. 2003, 6, 209–214. [Google Scholar] [CrossRef]
- Hresko, M.T.; Schwend, R.M.; Hostin, R.A. Early Detection of Scoliosis-What the USPSTF “I” Means for US. JAMA Pediatr. 2018, 172, 216–217. [Google Scholar] [CrossRef]
- Labelle, H.; Richards, S.B.; de Kleuver, M.; Grivas, T.B.; Luk, K.D.; Wong, H.K.; Thometz, J.; Beauséjour, M.; Turgeon, I.; Fong, D.Y. Screening for adolescent idiopathic scoliosis: An information statement by the Scoliosis Research Society international task force. Scoliosis 2013, 8, 17. [Google Scholar] [CrossRef]
- Nelson, S.; Sanders, J. Idiopathic Scoliosis. Available online: https://educationresources.srs.org/adolescent-idiopathic-scoliosis/idiopathic-scoliosis (accessed on 24 January 2023).
- Thomas, J.; Stans, A.; Muilbandt, T.; Treder, V.; Kremers, H.; Shaughnessy, W.; Larson, A. Does school screening affect scoliosis curve magnitude at presentation to a paediatric orthopaedic clinic? Spine Deform. 2018, 6, 403–408. [Google Scholar] [CrossRef]
- Li, D.T.; Cui, J.J.; DeVries, S.; Nicholson, A.D.; Li, E.; Petit, L.; Kahan, J.B.; Sanders, J.O.; Liu, R.W.; Cooperman, D.R.; et al. Humeral head ossification predicted peak height velocity timing and percentage of growth remaining on children. J. Pediatr. Orthop. 2018, 38, e546–e550. [Google Scholar] [CrossRef]
- Sanders, J.; Khoury, J.; Kishan, S.; Browne, R.; Mooney, J., 3rd; Arnold, K.; McConnell, S.; Bauman, J.; Finegold, D. Predicting scoliosis progression from skeletal maturity: A simplified classification during adolescence. J. Bone Jt. Surg. Am. 2008, 90, 540–553. [Google Scholar] [CrossRef]
- Luk, K.D.; Saw, L.B.; Grozman, S.; Cheung, K.M.; Samartzis, D. Assessment of skeletal maturity in scoliosis patients to determine clinical management: A new classification scheme using distal radius and ulna radiographs. Spine J. 2014, 14, 315–325. [Google Scholar] [CrossRef]
- Charles, Y.P.; Dimeglio, A.; Canavese, F.; Daures, J.P. Skeletal age assessment from the olecranon for idiopathic scoliosis at Risser grade. J. Bone Jt. Surg. Am. 2007, 89, 2737–2744. [Google Scholar] [CrossRef]
- Cheung, P.W.H.; Canavase, F.; Chan, C.Y.W.; Wong, J.S.H.; Shigematsu, H.; Luk, K.D.K.; Cheung, J.P.Y. The utility of a novel proximal femur maturity index for staging skeletal growth in patients with idiopathic scoliosis. J. Bone Jt. Surg. Am. 2022. Online ahead of print. [Google Scholar] [CrossRef]
- Luan, F.; Wan, Y.; Mak, K.-C.; Ma, C.-J.; Wang, H.-Q. Cancer and mortality risks of patients with scoliosis from radiation exposure: A systematic review and meta-analysis. Eur. Spine J. 2020, 29, 3123–3134. [Google Scholar] [CrossRef]
- Jackson, T.; Miller, D.; Nelson, S.; Cahill, P.; Flynn, J. Two for one: A change in hand positioning during low-dose spinal stereo radiography allows for concurrent, reliable Sanders skeletal maturity staging. Spine Deform. 2018, 6, 391–396. [Google Scholar] [CrossRef]
- Cheung, J.; Cheung, P.; Luk, K. When should we wean bracing for adolescent idiopathic scoliosis? Clin. Orthop. Relat. Res. 2019, 477, 2145–2157. [Google Scholar] [CrossRef]
- Li, Y.; Mao, S.; Shi, B.; Liu, Z.; Liu, D.; Sun, X.; Qiu, Y.; Zhu, Z. Utilization of distal radius and ulna classification scheme in predicting growth peak and curve progression in idiopathic scoliosis girls undergoing bracing treatment. Eur. Spine J. 2020, 29, 770–778. [Google Scholar] [CrossRef]
- Li, D.T.; Linderman, G.C.; Cui, J.J.; DeVries, S.; Nicholson, A.; Li, E.; Petit, L.; Kaan, L.; Talty, R.; Kluger, Y.; et al. The proximal humeral ossification system improves assessment of maturity in patients with scoliosis. J. Bone Jt. Surg. Am. 2019, 101, 1868–1874. [Google Scholar] [CrossRef]
- Von Treuheim, T.D.P.; Li, D.T.; Mikhail, C.; Cataldo, D.; Cooperman, D.R.; Smith, B.G.; Bonner, B. Reliable skeletal maturity assessment for an AIS patient cohort: External validation of the proximal humerus ossification system (PHOS) and relevant learning methodology. Spine Deform. 2020, 8, 613–620. [Google Scholar] [CrossRef]
- Babaee, T.; Moradi, V.; Hashemi, H.; Shariat, A.; Anastasio, A.; Khosravi, M.; Bagheripour, B. Does bracing control the progression of adolescent idiopathic scoliosis in curves higher than 40°? A systematic review and meta-analysis. Asian Spine J. 2022; Online ahead of print. [Google Scholar] [CrossRef]
- La Maida, G.; Gallazzi, E.; Peroni, D.; Liccardi, A.; Della Valle, A.; Ferraro, M.; Cecconi, D.; Misaggi, B. Does Risser casting for adolescent idiopathic scoliosis still have a role in the treatment off curves larger than 40°? A case control study with bracing. Children 2022, 9, 760. [Google Scholar] [CrossRef] [PubMed]
- Zhu, Z.; Xu, L.; Jiang, L.; Sun, X.; Qiao, J.; Qian, B.; Mao, S.; Qiu, Y. Is brace treatment appropriate for adolescent idiopathic scoliosis patients refusing surgery with Cobb angler between 40 and 50 degrees? Clin. Spine Surg. 2017, 30, 85–89. [Google Scholar] [CrossRef] [PubMed]
- Aulisa, A.; Guzzanti, V.; Falciglia, F.; Giordano, M.; Galli, M.; Aulisa, L. Brace treatment of idiopathic scoliosis is effective for a curve of over 40 degrees, but is the evaluation of Cobb angle the only parameter for the indication of treament? Eur. J. Pays Rehabil. Med. 2019, 55, 231–240. [Google Scholar] [CrossRef] [PubMed]
- Verhofste, B.; Whitaker, A.; Glotzbecker, M.; Miller, P.; Karlin, L.; Hedquist, D.; Emans, J.; Hresko, M. Efficacy in bracing in skeletally immature patients with moderate-severe idiopathic scoliosis curves between 40° and 60°. Spine Deform. 2020, 8, 911–920. [Google Scholar] [CrossRef] [PubMed]
- Zavatsky, J.; Peters, A.; Nahvi, F.; Bharucha, N.; Trobisch, P.; Kean, K.; Richard, S.; Bucello, Y.; Valdevit, A.; Lønner, B. Disease severity and treatment in adolescent idiopathic scoliosis: The impact of race and economic status. Spine J. 2015, 15, 939–943. [Google Scholar] [CrossRef]
- Heffernan, M.; Younis, M.; Song, B.; Fontenot, B.; Dewitz, R.; Brooks, J.; Leonardi, C.; Barnett, S. Disparities in pediatric scoliosis: The impact of race and insurance type on access to non-operative treatment for adolescent idiopathic scoliosis. J. Pediatr. Orthop. 2022, 42, 427–431. [Google Scholar] [CrossRef]
- De Sousa Pontes, M.; Soeira, T.; Sampaio, M.; Pratali, P.; Pompeu, Y.; de Silva Herrero, C. The impacts of waiting for surgical correct off adolescent idiopathic scoliosis and its repercussions for publicly funded heath systems: Systematic review. Eur. Spine J. 2022; Online ahead of print. [Google Scholar]
- Miyanji, F.; Newton, P.; Samdani, A.; Shah, S.; Varghese, R.; Reilly, C.; Mulpuri, K. Impact of surgical waiting list times on scoliosis surgery: The surgeons perspective. Spine 2015, 40, 823–828. [Google Scholar] [CrossRef]
- Calman, R.; Smithers, T.; Rowan, R. Impact of surgical waiting time on paediatric spinal deformity patients. ANZ J. Surg. 2013, 83, 929–932. [Google Scholar] [CrossRef]
- Aulisa, A.G.; Guzzanti, V.; Perisano, C.; Marzetti, E.; Specchia, A.; Galli, M.; Giordano, M.; Aulisa, L. Determination of quality of life in adolescents with idiopathic scoliosis subjected to conservative treatment. Scoliosis 2010, 5, 21. [Google Scholar] [CrossRef]


| Female | Male | Statistical Significance between Females and Males | |
|---|---|---|---|
| Sex | 414 (79% of total cohort) | 112 (21% of total cohort) | |
| Age (years)—mean, standard deviation and range | 14 (SD 1.9, range 10–18) | 15 (SD 1.6, range 11–18) | p < 0.001 |
| Main thoracic curves (Lenke 1) | 315 (76% of all females) | 95 (85% of all males) | p = 0.064 |
| Double major curves (Lenke 3) | 92 (22% of all females) | 11 (10% of all males) | p = 0.005 |
| Thoracolumbar curves (Lenke 5) | 7 (2% of all females) | 6 (5% of all males) | p = 0.061 |
| Female | Male | Statistical Significance between Females and Males | |
|---|---|---|---|
| SRS—curve 20–40°, Risser 0–1 | 35 (8% of all females) | 6 (5% of all males) | p = 0.376 |
| SRS—curve 30–40°, Risser 2–3 | 18 (4% of all females) | 3 (3% of all males) | p = 0.600 |
| BSS—age 10–15 years, curve 20–40°, Risser 0–2 | 43 (10% of all females) | 7 (6% of all males) | p = 0.253 |
Disclaimer/Publisher’s Note: The statements, opinions and data contained in all publications are solely those of the individual author(s) and contributor(s) and not of MDPI and/or the editor(s). MDPI and/or the editor(s) disclaim responsibility for any injury to people or property resulting from any ideas, methods, instructions or products referred to in the content. |
© 2023 by the authors. Licensee MDPI, Basel, Switzerland. This article is an open access article distributed under the terms and conditions of the Creative Commons Attribution (CC BY) license (https://creativecommons.org/licenses/by/4.0/).
Share and Cite
Hartley, L.; Jones, C.; Lui, D.; Bernard, J.; Bishop, T.; Herzog, J.; Chan, D.; Stokes, O.; Gardner, A. An Examination of the Number of Adolescent Scoliotic Curves That Are Braceable at First Presentation to a Scoliosis Service. Healthcare 2023, 11, 445. https://doi.org/10.3390/healthcare11030445
Hartley L, Jones C, Lui D, Bernard J, Bishop T, Herzog J, Chan D, Stokes O, Gardner A. An Examination of the Number of Adolescent Scoliotic Curves That Are Braceable at First Presentation to a Scoliosis Service. Healthcare. 2023; 11(3):445. https://doi.org/10.3390/healthcare11030445
Chicago/Turabian StyleHartley, Laura, Conor Jones, Darren Lui, Jason Bernard, Timothy Bishop, Jan Herzog, Daniel Chan, Oliver Stokes, and Adrian Gardner. 2023. "An Examination of the Number of Adolescent Scoliotic Curves That Are Braceable at First Presentation to a Scoliosis Service" Healthcare 11, no. 3: 445. https://doi.org/10.3390/healthcare11030445
APA StyleHartley, L., Jones, C., Lui, D., Bernard, J., Bishop, T., Herzog, J., Chan, D., Stokes, O., & Gardner, A. (2023). An Examination of the Number of Adolescent Scoliotic Curves That Are Braceable at First Presentation to a Scoliosis Service. Healthcare, 11(3), 445. https://doi.org/10.3390/healthcare11030445

