Dose–Response Association between Physical Activity and Health-Related Quality of Life in General Population: A Population-Based Pooled Study
Abstract
:1. Introduction
2. Methods
2.1. Study Design
2.2. Physical Activity Variables
2.3. Health-Related Quality of Life
2.4. Potential Confounders
2.5. Statistical Analyses
3. Results
3.1. Descriptive Results
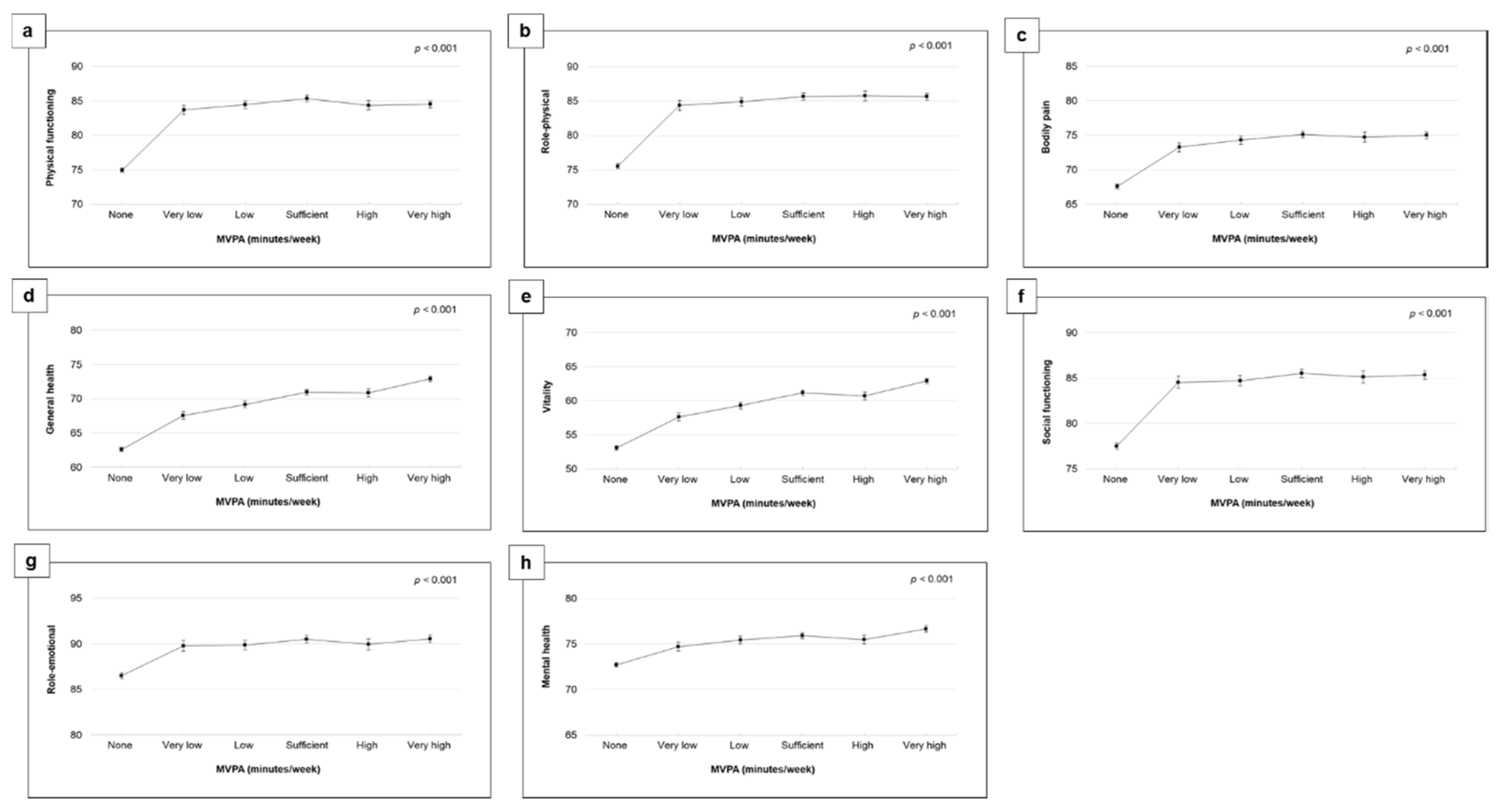
3.2. Associations between Physical Activity and HRQoL
4. Discussion
5. Conclusions
Supplementary Materials
Funding
Institutional Review Board Statement
Informed Consent Statement
Data Availability Statement
Acknowledgments
Conflicts of Interest
References
- US Preventive Services Task Force. Guide to Clinical Preventive Services: Report of the US Preventive Services Task Force; 1883205131; US Department of Health and Human Services, Office of Public Health and Science, Office of Disease Prevention and Health Promotion: Washington, DC, USA, 1996.
- Fox, K. At Least Five a Week: Evidence on the Impact of Physical Activity and Its Relationship to Health–A Report from the Chief Medical Officer. Nutr. Bull. 2004, 29, 350–352. [Google Scholar]
- Lim, S.S.; Vos, T.; Flaxman, A.D.; Danaei, G.; Shibuya, K.; Adair-Rohani, H.; Amann, M.; Anderson, H.R.; Andrews, K.G.; Aryee, M.; et al. A comparative risk assessment of burden of disease and injury attributable to 67 risk factors and risk factor clusters in 21 regions, 1990–2010: A systematic analysis for the Global Burden of Disease Study 2010. Lancet 2012, 380, 2224–2260. [Google Scholar] [CrossRef] [Green Version]
- Piercy, K.L.; Troiano, R.P.; Ballard, R.M.; Carlson, S.A.; Fulton, J.E.; Galuska, D.A.; George, S.M.; Olson, R.D. The physical activity guidelines for Americans. JAMA 2018, 320, 2020–2028. [Google Scholar] [CrossRef] [PubMed]
- Centers for Disease Control Prevention. Measuring Healthy Days: Population Assessment of Health-Related Quality of Life; Centers for Disease Control and Prevention: Atlanta, GA, USA, 2000.
- Karimi, M.; Brazier, J. Health, Health-Related Quality of Life, and Quality of Life: What is the Difference? Pharmacoeconomics 2016, 34, 645–649. [Google Scholar] [CrossRef] [PubMed]
- Tsai, S.Y.; Chi, L.Y.; Lee, C.H.; Chou, P. Health-related quality of life as a predictor of mortality among community-dwelling older persons. Eur. J. Epidemiol. 2007, 22, 19–26. [Google Scholar] [CrossRef]
- Fan, V.S.; Au, D.H.; McDonell, M.B.; Fihn, S.D. Intraindividual change in SF-36 in ambulatory clinic primary care patients predicted mortality and hospitalizations. J. Clin. Epidemiol. 2004, 57, 277–283. [Google Scholar] [CrossRef] [PubMed]
- Phyo, A.Z.Z.; Freak-Poli, R.; Craig, H.; Gasevic, D.; Stocks, N.P.; Gonzalez-Chica, D.A.; Ryan, J. Quality of life and mortality in the general population: A systematic review and meta-analysis. BMC Public Health 2020, 20, 1596. [Google Scholar] [CrossRef]
- Bize, R.; Johnson, J.A.; Plotnikoff, R.C. Physical activity level and health-related quality of life in the general adult population: A systematic review. Prev. Med. 2007, 45, 401–415. [Google Scholar] [CrossRef]
- Alzahrani, H.; Cheng, S.W.M.; Shirley, D.; Mackey, M.; Stamatakis, E. Physical Activity and Health-Related Quality of Life in People With Back Pain: A Population-Based Pooled Study of 27,273 Adults. J. Phys. Act. Health 2020, 17, 177–188. [Google Scholar] [CrossRef] [PubMed]
- Hopman, W.M.; Towheed, T.; Anastassiades, T.; Tenenhouse, A.; Poliquin, S.; Berger, C.; Joseph, L.; Brown, J.P.; Murray, T.M.; Adachi, J.D.; et al. Canadian normative data for the SF-36 health survey. Canadian Multicentre Osteoporosis Study Research Group. CMAJ 2000, 163, 265–271. [Google Scholar] [PubMed]
- Pavey, T.G.; Anokye, N.; Taylor, A.H.; Trueman, P.; Moxham, T.; Fox, K.R.; Hillsdon, M.; Green, C.; Campbell, J.L.; Foster, C.; et al. The clinical effectiveness and cost-effectiveness of exercise referral schemes: A systematic review and economic evaluation. Health Technol. Assess 2011, 15, 1–254. [Google Scholar] [CrossRef] [PubMed] [Green Version]
- Cunningham, C.; O’Sullivan, R.; Caserotti, P.; Tully, M.A. Consequences of physical inactivity in older adults: A systematic review of reviews and meta-analyses. Scand. J. Med. Sci. Sports 2020, 30, 816–827. [Google Scholar] [CrossRef] [PubMed]
- Bull, F.C.; Al-Ansari, S.S.; Biddle, S.; Borodulin, K.; Buman, M.P.; Cardon, G.; Carty, C.; Chaput, J.P.; Chastin, S.; Chou, R. World Health Organization 2020 guidelines on physical activity and sedentary behaviour. Br. J. Sports Med. 2020, 54, 1451–1462. [Google Scholar] [CrossRef] [PubMed]
- World Health Organization. Global Recommendations on Physical Activity for Health; World Health Organization: Geneva, Switzerland, 2010. [Google Scholar]
- GIG Cymru NHS Wales. Health in Wales: The Welsh Health Survey. Available online: http://www.wales.nhs.uk/statisticsanddata/sourcesofdata/thewelshhealthsurvey (accessed on 1 April 2021).
- von Elm, E.; Altman, D.G.; Egger, M.; Pocock, S.J.; Gøtzsche, P.C.; Vandenbroucke, J.P. The Strengthening the Reporting of Observational Studies in Epidemiology (STROBE) Statement: Guidelines for reporting observational studies. Int. J. Surg. 2014, 12, 1495–1499. [Google Scholar] [CrossRef] [PubMed] [Green Version]
- The Welsh Government. Welsh Health Survey. Available online: https://gov.wales/statistics-and-research/welsh-health-survey/?lang=en (accessed on 1 April 2021).
- Brown, D.R.; Carroll, D.D.; Workman, L.M.; Carlson, S.A.; Brown, D.W. Physical activity and health-related quality of life: US adults with and without limitations. Qual. Life Res. 2014, 23, 2673–2680. [Google Scholar] [CrossRef] [Green Version]
- Carlson, S.A.; Fulton, J.E.; Schoenborn, C.A.; Loustalot, F. Trend and prevalence estimates based on the 2008 Physical Activity Guidelines for Americans. Am. J. Prev. Med. 2010, 39, 305–313. [Google Scholar] [CrossRef] [PubMed]
- Alzahrani, H.; Shirley, D.; Cheng, S.W.M.; Mackey, M.; Stamatakis, E. Physical activity and chronic back conditions: A population-based pooled study of 60,134 adults. J. Sport Health Sci. 2019, 8, 386–393. [Google Scholar] [CrossRef] [PubMed]
- Lins, L.; Carvalho, F.M. SF-36 total score as a single measure of health-related quality of life: Scoping review. SAGE Open Med. 2016, 4, 2050312116671725. [Google Scholar] [CrossRef] [Green Version]
- Burholt, V.; Nash, P. Short Form 36 (SF-36) Health Survey Questionnaire: Normative data for Wales. J. Public Health 2011, 33, 587–603. [Google Scholar] [CrossRef] [PubMed] [Green Version]
- Brazier, J.E.; Harper, R.; Jones, N.M.; O’Cathain, A.; Thomas, K.J.; Usherwood, T.; Westlake, L. Validating the SF-36 health survey questionnaire: New outcome measure for primary care. BMJ 1992, 305, 160–164. [Google Scholar] [CrossRef] [Green Version]
- Jenkinson, C.; Coulter, A.; Wright, L. Short form 36 (SF36) health survey questionnaire: Normative data for adults of working age. BMJ 1993, 306, 1437–1440. [Google Scholar] [CrossRef] [PubMed] [Green Version]
- McCallum, J. The SF-36 in an Australian sample: Validating a new, generic health status measure. Aust. J. Public Health 1995, 19, 160–166. [Google Scholar] [CrossRef]
- Stewart, M. The Medical Outcomes Study 36-item short-form health survey (SF-36). Aust. J. Physiother. 2007, 53, 208. [Google Scholar] [CrossRef] [Green Version]
- Busija, L.; Pausenberger, E.; Haines, T.P.; Haymes, S.; Buchbinder, R.; Osborne, R.H. Adult measures of general health and health-related quality of life: Medical Outcomes Study Short Form 36-Item (SF-36) and Short Form 12-Item (SF-12) Health Surveys, Nottingham Health Profile (NHP), Sickness Impact Profile (SIP), Medical Outcomes Study Short Form 6D (SF-6D), Health Utilities Index Mark 3 (HUI3), Quality of Well-Being Scale (QWB), and Assessment of Quality of Life (AQoL). Arthritis Care Res. (Hoboken) 2011, 63, S383–S412. [Google Scholar] [CrossRef] [PubMed] [Green Version]
- Ware, J.E., Jr.; Sherbourne, C.D. The MOS 36-item short-form health survey (SF-36): I. Conceptual framework and item selection. Med. Care 1992, 30, 473–483. [Google Scholar] [CrossRef] [PubMed]
- Picavet, H.S.; Hoeymans, N. Health related quality of life in multiple musculoskeletal diseases: SF-36 and EQ-5D in the DMC3 study. Ann. Rheum. Dis. 2004, 63, 723–729. [Google Scholar] [CrossRef] [Green Version]
- Wilson, D.; Parsons, J.; Wakefield, M. The health-related quality-of-life of never smokers, ex-smokers, and light, moderate, and heavy smokers. Prev. Med. 1999, 29, 139–144. [Google Scholar] [CrossRef]
- Ul-Haq, Z.; Mackay, D.F.; Fenwick, E.; Pell, J.P. Meta-analysis of the association between body mass index and health-related quality of life among adults, assessed by the SF-36. Obesity 2013, 21, E322–E327. [Google Scholar] [CrossRef] [PubMed]
- Matcham, F.; Scott, I.C.; Rayner, L.; Hotopf, M.; Kingsley, G.H.; Norton, S.; Scott, D.L.; Steer, S. The impact of rheumatoid arthritis on quality-of-life assessed using the SF-36: A systematic review and meta-analysis. Semin. Arthritis. Rheum. 2014, 44, 123–130. [Google Scholar] [CrossRef] [Green Version]
- Goldney, R.D.; Phillips, P.J.; Fisher, L.J.; Wilson, D.H. Diabetes, depression, and quality of life: A population study. Diabetes Care 2004, 27, 1066–1070. [Google Scholar] [CrossRef] [Green Version]
- Spitzer, R.L.; Kroenke, K.; Linzer, M.; Hahn, S.R.; Williams, J.B.; de Gruy, F.V., 3rd; Brody, D.; Davies, M. Health-related quality of life in primary care patients with mental disorders. Results from the PRIME-MD 1000 Study. JAMA 1995, 274, 1511–1517. [Google Scholar] [CrossRef] [PubMed]
- Kind, P.; Dolan, P.; Gudex, C.; Williams, A. Variations in population health status: Results from a United Kingdom national questionnaire survey. BMJ 1998, 316, 736–741. [Google Scholar] [CrossRef] [PubMed] [Green Version]
- Demiral, Y.; Ergor, G.; Unal, B.; Semin, S.; Akvardar, Y.; Kivircik, B.; Alptekin, K. Normative data and discriminative properties of short form 36 (SF-36) in Turkish urban population. BMC Public Health 2006, 6, 247. [Google Scholar] [CrossRef] [PubMed] [Green Version]
- Heyland, D.K.; Groll, D.; Caeser, M. Survivors of acute respiratory distress syndrome: Relationship between pulmonary dysfunction and long-term health-related quality of life. Crit. Care Med. 2005, 33, 1549–1556. [Google Scholar] [CrossRef]
- Neugarten, B.L.; Hagestad, G.O.; Binstock, R.H.; Shanas, E. Handbook of Aging and the Social Sciences; Van Nostrand Reinhold: New York, NY, USA, 1976; pp. 35–55. [Google Scholar]
- Jaeschke, R.; Singer, J.; Guyatt, G.H. Measurement of health status. Ascertaining the minimal clinically important difference. Control. Clin. Trials 1989, 10, 407–415. [Google Scholar] [CrossRef]
- Ware, J.; Snoww, K.; Ma, K.; Bg, G. SF36 Health Survey: Manual and Interpretation Guide. Int. J. Ment. Health 1993, 30, 49–73. [Google Scholar]
- Bjorner, J.B.; Wallenstein, G.V.; Martin, M.C.; Lin, P.; Blaisdell-Gross, B.; Tak Piech, C.; Mody, S.H. Interpreting score differences in the SF-36 Vitality scale: Using clinical conditions and functional outcomes to define the minimally important difference. Curr. Med. Res. Opin. 2007, 23, 731–739. [Google Scholar] [CrossRef] [PubMed]
- Brown, D.W.; Balluz, L.S.; Heath, G.W.; Moriarty, D.G.; Ford, E.S.; Giles, W.H.; Mokdad, A.H. Associations between recommended levels of physical activity and health-related quality of life Findings from the 2001 Behavioral Risk Factor Surveillance System (BRFSS) survey. Prev. Med. 2003, 37, 520–528. [Google Scholar] [CrossRef]
- Guthold, R.; Stevens, G.A.; Riley, L.M.; Bull, F.C. Worldwide trends in insufficient physical activity from 2001 to 2016: A pooled analysis of 358 population-based surveys with 1·9 million participants. Lancet Glob Health 2018, 6, e1077–e1086. [Google Scholar] [CrossRef] [Green Version]
- Vuillemin, A.; Boini, S.; Bertrais, S.; Tessier, S.; Oppert, J.M.; Hercberg, S.; Guillemin, F.; Briancon, S. Leisure time physical activity and health-related quality of life. Prev. Med. 2005, 41, 562–569. [Google Scholar] [CrossRef] [PubMed]
- Tessier, S.; Vuillemin, A.; Bertrais, S.; Boini, S.; Le Bihan, E.; Oppert, J.M.; Hercberg, S.; Guillemin, F.; Briancon, S. Association between leisure-time physical activity and health-related quality of life changes over time. Prev. Med. 2007, 44, 202–208. [Google Scholar] [CrossRef] [PubMed]
- Rose, G.; Khaw, K.-T.; Marmot, M. Rose’s Strategy of Preventive Medicine; Oxford University Press: New York, NY, USA, 2009; pp. 1–192. [Google Scholar] [CrossRef]
- Wendel-Vos, G.C.; Schuit, A.J.; Tijhuis, M.A.; Kromhout, D. Leisure time physical activity and health-related quality of life: Cross-sectional and longitudinal associations. Qual. Life Res. 2004, 13, 667–677. [Google Scholar] [CrossRef] [PubMed]
- Laforge, R.G.; Rossi, J.S.; Prochaska, J.O.; Velicer, W.F.; Levesque, D.A.; McHorney, C.A. Stage of regular exercise and health-related quality of life. Prev. Med. 1999, 28, 349–360. [Google Scholar] [CrossRef] [PubMed]
- Shibata, A.; Oka, K.; Nakamura, Y.; Muraoka, I. Recommended level of physical activity and health-related quality of life among Japanese adults. Health Qual. Life Outcomes 2007, 5, 64. [Google Scholar] [CrossRef] [PubMed] [Green Version]
- Kremer, E.F.; Block, A.; Gaylor, M.S. Behavioral approaches to treatment of chronic pain: The inaccuracy of patient self-report measures. Arch. Phys. Med. Rehabil. 1981, 62, 188–191. [Google Scholar] [PubMed]
- Jenkinson, C.; Wright, L.; Coulter, A. Criterion validity and reliability of the SF-36 in a population sample. Qual. Life Res. 1994, 3, 7–12. [Google Scholar] [CrossRef] [PubMed]
- Anokye, N.K.; Trueman, P.; Green, C.; Pavey, T.G.; Taylor, R.S. Physical activity and health related quality of life. BMC Public Health 2012, 12, 624. [Google Scholar] [CrossRef] [PubMed] [Green Version]




| Characteristics | Total No. (%) |
|---|---|
| Age (years) | |
| 16–39 | 22,037 (29.5) |
| 40–59 | 24,911 (33.4) |
| ≥60 | 27,630 (37.0) |
| Gender | |
| Male | 34,587 (46.4) |
| Female | 39,991 (53.6) |
| BMI, kg/m2 | |
| Underweight (<18.5) | 1367 (1.8) |
| Normal (18.5 to 24.9) | 26,409 (35.4) |
| Overweight (25 to 30) | 24,942 (33.4) |
| Obesity condition (≥30) | 15,820 (21.2) |
| Smoking status | |
| Never smoker | 36,390 (48.8) |
| Previous smoker | 22,280 (29.9) |
| Current smoker | 14,857 (19.9) |
| Highest level of education | |
| Degree or above | 11,637 (15.6) |
| Other qualifications | 43,533 (58.4) |
| No qualification | 14,094 (18.9) |
| Employment status | |
| Currently employed | 34,955 (46.9) |
| Not employed | 36,347 (48.7) |
| Prevalent chronic illness | |
| No | 34,547 (46.3) |
| Yes | 38,671 (51.9) |
| Prevalent mental illness | |
| No | 63,078 (84.6) |
| Yes | 8454 (11.3) |
| Prevalent musculoskeletal disorder | |
| No | 47,104 (63.2) |
| Yes | 24,150 (32.4) |
| MVPA (min/week) | |
| None (0) | 32,398 (43.3) |
| Very low (0–<90) | 5437 (7.3) |
| Low (90–<150) | 7250 (9.7) |
| Sufficient (150–<300) | 11,208 (15.0) |
| High (300–<390) | 5273 (7.1) |
| Very high (≥390) | 13,012 (17.4) |
| Model 1 a | Model 2 a | |
|---|---|---|
| Coefficient (95% CI) | Coefficient (95% CI) | |
| HRQoL b | ||
| None | Referent | Referent |
| Very low | 10.821 (10.255, 11.387) | 5.52 (5.00, 6.04) |
| Low | 12.816 (12.313, 13.319) | 6.40 (5.93, 6.88) |
| Sufficient | 14.264 (13.837, 14.692) | 7.33 (6.91, 7.75) |
| High | 14.514 (13.940, 15.088) | 7.03 (6.48, 7.58) |
| Very high | 15.523 (15.113, 15.932) | 7.84 (7.39, 8.29) |
| Trend p value | <0.001 | <0.001 |
| R2 | 0.182 | 0.418 |
| SF-36 domains | ||
| Physical functioning b | ||
| None | Referent | Referent |
| Very low | 16.50 (15.73, 17.26) | 8.75 (8.01, 9.49) |
| Low | 18.70 (18.02, 19.37) | 9.52 (8.85, 10.20) |
| Sufficient | 20.33 (19.75, 20.90) | 10.44 (9.84, 11.04) |
| High | 20.22 (19.44, 20.99) | 9.43 (8.65, 10.22) |
| Very high | 20.66 (20.11, 21.21) | 9.57 (8.93, 10.21) |
| Trend p value | <0.001 | <0.001 |
| R2 | 0.269 | 0.393 |
| Role-physical b | ||
| None | Referent | Referent |
| Very low | 15.90 (15.09, 16.72) | 8.81(8.01, 9.61) |
| Low | 17.92 (17.20, 18.64) | 9.34 (8.61, 10.07) |
| Sufficient | 19.32 (18.71, 19.94) | 10.11 (9.46, 10.76) |
| High | 20.43 (19.60, 21.26) | 10.21 (9.36, 11.06) |
| Very high | 20.76 (20.18, 21.35) | 10.08 (9.39, 10.77) |
| Trend p value | <0.001 | <0.001 |
| R2 | 0.226 | 0.361 |
| Role-emotional b | ||
| None | Referent | Referent |
| Very low | 9.58 (8.84, 10.31) | 3.28 (2.60, 3.96) |
| Low | 10.89 (10.24, 11.54) | 3.38 (2.77, 4.00) |
| Sufficient | 12.04 (11.48, 12.59) | 4.00 (3.45, 4.54) |
| High | 12.47 (11.72, 13.22) | 3.44 (2.72, 4.15) |
| Very high | 13.16 (12.63, 13.69) | 4.03 (3.45, 4.62) |
| Trend p value | <0.001 | <0.001 |
| R2 | 0.068 | 0.297 |
| Vitality b | ||
| None | Referent | Referent |
| Very low | 8.37 (7.75, 8.99) | 4.57 (3.92, 5.21) |
| Low | 10.80 (10.25, 11.35) | 6.24 (5.65, 6.83) |
| Sufficient | 13.17 (12.70, 13.64) | 8.09 (7.57, 8.61) |
| High | 12.86 (12.23, 13.49) | 7.64 (6.96, 8.33) |
| Very high | 15.39 (14.95, 15.84) | 9.86 (9.30, 10.42) |
| Trend p value | <0.001 | <0.001 |
| R2 | 0.113 | 0.265 |
| Mental health b | ||
| None | Referent | Referent |
| Very low | 6.03 (5.47, 6.59) | 1.98 (1.43, 2.54) |
| Low | 7.49 (6.99, 7.98) | 2.71 (2.20, 3.22) |
| Sufficient | 8.32 (7.90, 8.74) | 3.21 (2.76, 3.66) |
| High | 8.20 (7.63, 8.77) | 2.77 (2.18, 3.36) |
| Very high | 9.33 (8.93, 9.74) | 3.92 (3.44, 4.40) |
| Trend p value | <0.001 | <0.001 |
| R2 | 0.049 | 0.261 |
| Social functioning b | ||
| None | Referent | Referent |
| Very low | 14.17 (13.40, 14.95) | 7.05 (6.30, 7.81) |
| Low | 15.87 (15.18, 16.56) | 7.23 (6.54, 7.91) |
| Sufficient | 17.48 (16.90, 18.07) | 8.02 (7.41, 8.63) |
| High | 18.08 (17.29, 18.86) | 7.65 (6.85, 8.45) |
| Very high | 18.45 (17.89, 19.01) | 7.85 (7.20, 8.50) |
| Trend p value | <0.001 | <0.001 |
| R2 | 0.113 | 0.311 |
| Bodily pain b | ||
| None | Referent | Referent |
| Very low | 10.63 (9.87, 11.40) | 5.69 (4.91, 6.46) |
| Low | 12.41(11.73, 13.08) | 6.72 (6.02, 7.43) |
| Sufficient | 14.01(13.44, 14.59) | 7.56 (6.94, 8.19) |
| High | 13.88 (13.10, 14.65) | 7.17 (6.35, 7.99) |
| Very high | 14.50 (13.95, 15.05) | 7.42 (6.75, 8.09) |
| Trend p value | <0.001 | <0.001 |
| R2 | 0.148 | 0.290 |
| General health b | ||
| None | Referent | Referent |
| Very low | 10.10 (9.45, 10.74) | 4.96 (4.32, 5.60) |
| Low | 12.57 (11.99, 13.14) | 6.55 (5.96, 7.13) |
| Sufficient | 14.98 (14.49, 15.46) | 8.34 (7.83, 8.86) |
| High | 15.09 (14.43, 15.75) | 8.24 (7.56, 8.92) |
| Very high | 17.22 (16.75, 17.68) | 10.31 (9.76, 10.87) |
| Trend p value | <0.001 | <0.001 |
| R2 | 0.146 | 0.335 |
Publisher’s Note: MDPI stays neutral with regard to jurisdictional claims in published maps and institutional affiliations. |
© 2022 by the author. Licensee MDPI, Basel, Switzerland. This article is an open access article distributed under the terms and conditions of the Creative Commons Attribution (CC BY) license (https://creativecommons.org/licenses/by/4.0/).
Share and Cite
Alzahrani, H. Dose–Response Association between Physical Activity and Health-Related Quality of Life in General Population: A Population-Based Pooled Study. Healthcare 2022, 10, 1460. https://doi.org/10.3390/healthcare10081460
Alzahrani H. Dose–Response Association between Physical Activity and Health-Related Quality of Life in General Population: A Population-Based Pooled Study. Healthcare. 2022; 10(8):1460. https://doi.org/10.3390/healthcare10081460
Chicago/Turabian StyleAlzahrani, Hosam. 2022. "Dose–Response Association between Physical Activity and Health-Related Quality of Life in General Population: A Population-Based Pooled Study" Healthcare 10, no. 8: 1460. https://doi.org/10.3390/healthcare10081460
APA StyleAlzahrani, H. (2022). Dose–Response Association between Physical Activity and Health-Related Quality of Life in General Population: A Population-Based Pooled Study. Healthcare, 10(8), 1460. https://doi.org/10.3390/healthcare10081460

