Next Article in Journal
Pensions, Ageing and Social Security Research: Literature Review and Global Trends
Next Article in Special Issue
TAID-LCA: Segmentation Algorithm Based on Ternary Trees
Previous Article in Journal
Stochastic Dynamic Response Analysis of the 3D Slopes of Rockfill Dams Based on the Coupling Randomness of Strength Parameters and Seismic Ground Motion
Previous Article in Special Issue
A New Goodness of Fit Test for Multivariate Normality and Comparative Simulation Study
 
 
Font Type:
Arial Georgia Verdana
Font Size:
Aa Aa Aa
Line Spacing:
Column Width:
Background:
Article

Are Worldwide Governance Indicators Stable or Do They Change over Time? A Comparative Study Using Multivariate Analysis

by
Isabel Gallego-Álvarez
1,2,*,
Miguel Rodríguez-Rosa
3,4 and
Purificación Vicente-Galindo
3,4
1
Department of Business Administration, University of Salamanca, 37007 Salamanca, Spain
2
Multidisciplinary Institute of Enterprise (IME), University of Salamanca, 37007 Salamanca, Spain
3
Department of Statistics, University of Salamanca, 37007 Salamanca, Spain
4
Institute for Biomedical Research of Salamanca (IBSAL), University Hospital of Salamanca, 37007 Salamanca, Spain
*
Author to whom correspondence should be addressed.
Mathematics 2021, 9(24), 3257; https://doi.org/10.3390/math9243257
Submission received: 7 September 2021 / Revised: 1 December 2021 / Accepted: 9 December 2021 / Published: 15 December 2021
(This article belongs to the Special Issue Multivariate Statistics: Theory and Its Applications)

Abstract

:
Governance is a characteristic of political systems that indicates the degrees of cooperation and interaction between a state and non-state actors when it comes to decision making that will have an impact on society. The aim of our research focuses on analysing the behaviour of the Worldwide Governance Indicators (WGI) over the 2002–2019 period, since we are interested in learning whether such indicators varied or remained constant. Moreover, we will gain insight into the evolution of these indicators across countries in different geographical areas. The techniques we have chosen for this research are as follows: Partial Triadic Analysis, also known as X-STATIS, to highlight the stable structure of the evolution of the indicators and countries along the years by means of building an average year; Tucker3 to highlight deeper relationships among countries, indicators and years. A comparative analysis of these methods will allow us to check whether the WGI are stable over the years studied or whether they vary over time, providing information about the differences between the Worldwide Governance Indicators (WGI) in several countries or geographical areas.

1. Introduction

Governance is a characteristic of political systems that indicates the degrees of cooperation and interaction between a state and non-state actors regarding decision-making that has an impact on society. This involves the traditions and institutions through which authority is exercised in a country. Among the governance quality measures that have been established over time are the Worldwide Governance Indicators (WGI), which rank countries on six aspects of ‘good governance’. These indicators are defined according to what the authors consider to be ‘fundamental governance concepts’ [1]. According to Kaufmann and Kraay [1], the indicators are as follows: voice and accountability, political stability and absence of violence, government effectiveness, regulatory quality, rule of law, and control of corruption.
A number of studies have used these indicators as explanatory variables to explore possible relationships between aspects of governance and growth, and they are also used by policymakers to monitor the quality of governance in aid recipient countries. The aim of our research focuses on analysing the behaviour of the Worldwide Governance Indicators (WGI) over 18 years, covering the 2002 to 2019 period, to learn whether the indicators varied or remained constant. Moreover, we will obtain information about the evolution of these indicators in countries located in different geographical areas.
The techniques we have chosen for this research are as follows: Partial Triadic Analysis, also known as X-STATIS, to highlight the stable structure of the evolution of the indicators and countries over the years by building an average year; Tucker3 to highlight deeper relationships among countries, indicators, and years.
These techniques have not yet been applied to the WGI, thereby providing the current work with a certain degree of novelty. A comparative analysis of these methods will allow us to check whether the indicators proposed by the WGI are stable along the studied years or whether they vary over time, which provides information about the differences in the Worldwide Governance Indicators (WGI) across several countries or geographical areas.
The most important contributions of this research revolve around the use of the set of indicators known as Worldwide Governance Indicators (WGI). The sample used includes 188 countries, and the study covers a period of 18 years (2002–2019). The statistical techniques used are Partial Triadic Analysis (PTA), to represent the average behaviour of indicators and countries over time and how they move away from such average, and the Tucker3 method, to highlight deeper relationships among countries, indicators, and years than the relationships found using PTA.
The results obtained allow us to draw the following general conclusions: The countries of Europe, Central Asia, and North America are linked to all the WGI indicators, achieving high values in all of them during the studied years, while the countries of the Middle East, North and Sub-Saharan Africa, and South Asia neglect all such indicators, scoring low in all of them over the studied years. The countries of Latin America, the Caribbean, East Asia and the Pacific fall midway, some of them obtaining high values and others scoring low, with no specific pattern. Additionally, all the indicators behave in a similar way, the vectors that represent them are very close and their angles are small, meaning that they all are highly correlated, except for the ‘political stability and absence of violence/terrorism’ indicator.
The structure of the paper is as follows: Section 2 addresses materials and methods, Section 3 includes the results and discussion, and Section 4 presents the conclusions.

2. Materials and Methods

2.1. Background

According to Kaufmann et al. [2], governance can be defined as the traditions and institutions by which authority in a country is exercised, which implies the capacity of governments to formulate and implement effective economic, social and institutional development policies. Governance is also referred to by the World Bank [3] as the way in which power is exercised in the management of a country’s economic and social resources for its development. In short, it could be defined as the form of governing that is aimed at achieving long-lasting economic, social and institutional development, promoting a healthy balance among the state, civil society and the market economy system.
The United Nations Development Program [4] establishes that good governance should ensure that political, social and economic issues are based on broad consensus in society. Moreover, it should also be efficient, equitable, and promote the rule of law, and the voices of the poorest and most vulnerable should be heard when it comes to decision-making regarding the allocation of development resources.
According to Absadykov [5], the Worldwide Governance Indicators (WGI) developed by Kaufmann et al. [2] are probably the most commonly used to measure and compare governance quality. These indicators correspond to around 200 countries and territories starting in 1996 and combine the views of a large number of enterprise, citizen, and expert survey respondents in industrialised and developing countries. They are based on over 30 individual data sources produced by a variety of surveys corresponding to think tanks, non-governmental organisations, international organisations, and private sector firms. The Worldwide Governance Indicators (WGI) cover six broad dimensions of governance: voice and accountability, political stability and absence of violence, government effectiveness, regulatory quality, rule of law, and control of corruption.
Absadykov [5] considers that voice and accountability and political stability and absence of violence should be included in the processes by which governments are selected, monitored and replaced; government effectiveness and regulatory quality correspond to the government’s capacity to effectively formulate and implement sound policies; rule of law and control of corruption involve respect for citizens and the institutions that govern economic and social interactions among them.
Kaufmann et al. [6] (p. 223) establish the meaning of each of the WGI as follows: voice and accountability measures perceptions of the extent to which a country’s citizens can participate in selecting their government, as well as freedom of expression, freedom of association and media freedom; political stability and absence of violence measures perceptions of the likelihood that the government will be destabilised or overthrown by unconstitutional or violent means, including political violence and terrorism; government effectiveness measures the quality of public services, the quality of the civil service and its degree of independence from political pressures, the quality of policy formulation and implementation, and the credibility of the government’s commitment to such policies; regulatory quality attempts to measure perceptions of the government’s ability to formulate and implement sound policies and regulations that enable and promote private sector development; rule of law measures perceptions of the extent to which agents have confidence in and abide by the rules of society, and in particular the quality of contract enforcement, the police and the courts, as well as the likelihood of crime and violence; control of corruption measures perceptions of the extent to which public power is exercised for private gain, including both petty and grand forms of corruption, as well as “capture” of the state by elites and private interests.
According to Thomas [7], several studies have used these indicators as explanatory variables and, therefore, their results depend on the indicators [8,9,10,11]. Certain economists, such as Dollar and Kraay [12], have used the indicators to explore the possible relationship between aspects of governance and growth. Kaufmann and Kraay [13] examined the relationship between the WGI and per capita income for more than 175 countries over the 2000 and 2001 period, their results revealing that good governance is necessary for high levels of per capita income. Other authors such as Hyunh and Jacho-Chavez [14] analysed the relationship between governance and economic growth using nonparametric quantile methods, their results showing that voice and accountability, political stability, and rule of law are significantly correlated with economic growth.
Whereas several studies have focused on analysing the relationship between the WGI and economic aspects, others have focused on studying the WGI in different countries. Hence, Han et al. [15] examined whether countries with above-average governance grew faster than countries with below-average governance. The conclusions drawn are centred on the fact that government effectiveness, political stability, control of corruption and regulatory quality have a more significant positive impact on a country’s growth performance than voice and accountability and rule of law. Precisely, the aim of our research is to analyse the behaviour of the WGI over several years in different countries and geographic areas.

2.2. Population and Sample

The sample used comprises 188 countries (see Appendix A) from all over the world, belonging to different geographical areas, and the data gathered correspond to the 2002–2019 period.

2.3. Principal Component Analysis

Let X be a data matrix with I rows and J columns. Let DI be a matrix with I rows and I columns with the weights for the rows on the main diagonal, that is, I coefficients whose sum equals 1 and 0 otherwise; let DJ be a matrix corresponding to a symmetrical metric in the J-dimensional real space. DI can be a matrix with uniform weights for the rows, and DJ can be the identity matrix (the Euclidean metric) or whatever matrices we choose.
The generalised Principal Component Analysis, gPCA (or simply PCA from now on), corresponds to the eigendecomposition of XtDIXDJ and XDJXtDI (superindex t standing for transpose matrix). Thus, matrix Λ is obtained, a matrix on whose main diagonal the eigenvalues of XtDIXDJ or XDJXtDI are placed decreasingly sorted. The orthonormal basis of the eigenvectors of XtDIXDJ and XDJXtDI can also be computed, namely U and V, which have the eigenvectors as columns in the same order as its associated eigenvalues in Λ.
Theoretically, matrix X can be graphically represented in a J-dimensional space using a scatterplot with I points corresponding to the rows and matching each coordinate axis to one of the variables in the columns, but in practice J can take values that are higher than three and the scatterplot should be plotted using planes that represent the columns pairwise, which is not what we are interested in, since our goal is to graphically represent all the data jointly.
If we want to plot matrix X in a lower dimension subspace, let us say r < I and r < J (typically r = 2 or 3), another matrix with I rows and J columns is sought, but with range r only, one that is similar to X with minimal loss of information in its data, which means that the variability explained by the new matrix is as close as possible to the one explained by X. This procedure is called reduction of the dimensionality of X.
U and V are obtained by means of the eigendecompositions mentioned above, and if we take their first r columns, the orthogonal projections of X and Xt in a subspace of lower dimension r can be computed. The matrix that will yield the new coordinates of the rows in such subspace of dimension r is XDJVr, and the coordinates for the columns will be obtained in the rows of XtDIUr.

2.4. Partial Triadic Analysis

Partial Triadic Analysis, PTA, also known as X-STATIS, belongs to the STATIS methods family used to analyse k-tables (Structuration des Tableaux À Trois Indices de la Statistique). This family can be thought of as providing a PCA for a set of PCAs. Partial Triadic Analysis is the simplest of these methods, but it is also the most restrictive. Its objective is to analyse a sequence of K matrices with the same rows and columns, which means that the same variables must have been measured for the same subjects several times. However, there are other STATIS methods that may be used depending on the aims or design of the study being carried out, some examples being STATIS and STATIS DUAL [16], COVSTATIS [17], DISTATIS [18], Power-STATIS [19], CANOSTATIS [20], k + 1-STATIS [21], DO-ACT [22], or STATIS-4 [23].
Partial Triadic Analysis, as any other STATIS method, follows the following three steps: interstructure, compromise, and intrastructure (also known as ‘trajectories’).
The interstructure step provides the coefficients for a special linear combination for the data matrices, which leads to an optimum representation called ‘compromise’. The second step computes the PCA of this linear combination. The intrastructure step is a projection of the rows and columns from each matrix in the sequence on the multidimensional space obtained after the analysis of the compromise.
The advantage of Partial Triadic Analysis is that it highlights the ‘stable structure’ of a sequence of matrices. The compromise step plots this stable structure (if it exists), and the intrastructure step shows how each matrix separates from it.
The interstructure is based on the concept of ‘vectorial covariance’. A cross table matrix among all the matrices in the sequence is computed, the vectorial covariances matrix Covv, which can be written in a simple way as:
Covvk1,k2 = Covv(Xk1,Xk2) = <Xk1,Xk2> = by definition = Tr[Xk1tDIXk2DJ],
where Xk1 and Xk2 are the k1-th and the k2-th matrices in the sequence. The eigendecomposition of this vectorial covariances matrix (weighted according to the weights for the third dimension) provides a first eigenvector, and the coordinates αk of this first eigenvector (with the same weights for the third dimension) are used as the weights to compute the compromise. Moreover, this interstructure can also be graphically represented in a two-dimensional subspace with vectors from the origin to the points given by the rows of CovvDKV2 where V2 are the first two eigenvectors of the vectorial covariances matrix, and DK is the matrix with K rows and K columns with the weights for the third dimension on the main diagonal and 0 otherwise.
Compromise Xc is a linear combination of the original matrices, weighted by the coordinates of the first eigenvector of the interstructure and by DK (since the vectorial covariances matrix is symmetrical with positive entries, if DK is the matrix with uniform weights for the third dimension, the first eigenvector has all of its coordinates with the same sign, which we assume to be positive).
The variability explained by this compromise is maximal, and the main property is that it maximises similarity with all the original matrices.
The weight for each matrix is proportional to its explained variability, so matrices that are different from the others will be poorly weighted. That property ensures that the compromise is similar to all the matrices in the sequence in ‘the best possible’ way, in the sense of the minimum squares.
Therefore, the rows and the columns of Xc, that is, the compromise analysis, have XcDJVr and XctDIUr as coordinates, where Ur and Vr are the first r columns in the eigenvector basis from the eigendecomposition of XcDJXctDI and XctDIXcDJ, respectively.
The interstructure is obtained by projecting the rows and columns of each matrix in the sequence in the compromise analysis. The coordinates for the rows and columns of each matrix Xk are XkDJVr and XktDIUr.

2.5. Tucker Methods

Before discovering three-dimensional (or multidimensional) data analysis techniques, this kind of data were analysed by unfolding the content of the cube (the sequence of matrices). The idea was to build a two-dimensional data matrix from the three-dimensional cube by removing one of the dimensions to only explore interactions between two types of units instead of among the three types. Unfolding is the procedure where a matrix is built from a cube by concatenating the matrices from the cube in only one tall matrix, so that the relationships between the first and third dimension are lost. Sometimes this procedure may not work and is, therefore, not a suitable simplification.
Another technique was to treat the data cube as a sequence of matrices and to apply a Principal Component Analysis to the matrix for each repetition of the three-dimensional cube. This technique is poorly recommended because in it all the analyses are independent and, therefore, no repetition would be related to any of the others.
Nowadays, one way to analyse a data cube XIxJxK (subindexes stand for the dimensions of the cube or the matrix) is through using one of the so-called Tucker methods, whose objectives are to reduce the dimensionality of the problem, IxJxK, and summarise the information by building a simplified model, PxQxR, to easily describe the data. Moreover, plots that show the three dimensions jointly can be very useful for this purpose.
These methods will provide answers to questions such as: which subject groups (first dimension) behave in a different way? Which variables are affected (second dimension) and during which repetitions (third dimension)? What are the relationships among the variables? What trends can be found over time? Are there different types of subjects? Answers are also needed to more complex questions, such as whether the relationships among variables vary over time, or if the structure of the variables changes in a different way for different subject groups over time.
From the algebraic point of view, Tucker methods are used to find a decomposition of data cube XIxJxK to obtain orthogonal matrices (or matrix) and other data cubes (or cube), the most used case being three orthogonal matrices, AIxP, (I rows and P columns) BJxQ (J rows and Q columns) and CKxR (K rows and R columns), and another data cube, GPxQxR, called core array, where PxQxR is simpler than IxJxK, so that the tensorial product of G, At, Bt and Ct will be the best approximation for X, whose ijk-th entry is:
[ ( ( Gx 1 A t ) x 2 B t ) x 3 C t ] ijk = p = 1 P q = 1 Q r = 1 R a ip b jq c kr g pqr
where A = (aip), B = (bjq), C = (ckr), G = (gpqr) are the entries of the matrices and the cube and the subindex in the product stands for the tensorial product along the corresponding first, second or third dimensions.
Depending on the demands of the problem that is the object of study, three Tucker models are defined, Tucker3 being the most frequently used because it considers the three dimensions jointly and in an independent way for the repetitions, therefore providing a more detailed algebraic description.
The process to find the best approximation for X with PxQxR components is the following iterative algorithm developed by Kiers et al. [24]. On it, An represents the matrix for the first dimension obtained in the n-th iteration; specifically, A1 is the matrix as computed in the initial iteration; Bn, Cn and Gn are analogously defined.
1. A1, B1 and C1 are computed as the set of the first P, Q and R left-singular vectors of the unfolding of X along the first, second and third dimension.
2. G1 is computed as the tensorial product of X, A1, B1 and C1:
[ G 1 ] pqr = [ ( ( Xx 1 A 1 ) x 2 B 1 ) x 3 C 1 ] pqr = i = 1 I j = 1 J k = 1 K [ A 1 ] ip [ B 1 ] jq [ C 1 ] kr x ijk
That is, in this step, the core array is sought, what A1, B1 and C1 are lacking to obtain the approximation for X.
3. Iteration step, n = 1, 2, …:
(a) An+1 is computed as the first P left-singular vectors of the unfolding of along the first dimension.
( Xx 2 B n ) x 3 C n
(b) Bn+1 is computed as the first Q left-singular vectors of the unfolding of along the second dimension.
( Xx 1 A n + 1 ) x 3 C n
(c) Cn+1 is computed as the first R left-singular vectors of the unfolding of along the third dimension.
( Xx 1 A n + 1 ) x 2 B n + 1
(d) Gn+1 is computed as the tensorial product of X, An+1, Bn+1 and Cn+1.
(e) Step 3 stops when the differences between An+1, Bn+1, Cn+1, Gn+1 and An, Bn, Cn, Gn are lower than a value established from the beginning.
4. Matrices A, B, C and core array G are defined as those obtained after the n-th iteration: A = An+1, B = Bn+1, C = Cn+1, G = Gn+1.
The way of choosing which PxQxR model to consider is by computing the previous decomposition for every combination PxQxR with P, Q, R lower or equal to I, J, K, respectively.
Once that has been completed, it is necessary to find the simplest combination among the most stable ones and among the ones that reach a high enough percentage of explained variation. The sum of the number of components S = P + Q + R is computed for each model and, for each value of S, the model with the lowest value for the residual quadratic sum will be chosen. Thus, a list of models is obtained, one for each value of S. Next, the increasing ratio between the residual quadratic sum and S for each of the previous models is computed in increasing order for S, and those models whose increasing ratio is similar to the next one are chosen, that is, the most stable models. Finally, the model chosen for the analysis will be the one that has the lowest value of S among the most stable ones, that is, the simplest among the most stable ones.
The core array can be interpreted as the strength of the relationships among the components for the different dimensions, as well as the weights for the combination of the components, or as measure of the interactions, and the square of each element as the explained variation.
However, the final interpretation of the subjects, variables and repetitions for a combination of components, PxQxR, not only depends on whether the element of G has a high value, but also on the combination of the signs of the four factors in the term aipbjqckrgpqr. For example, if gpqr presents a positive sign, the i-th subject presents a positive sign in the p-th component, the j-th variable presents a positive sign in the q-th component and the k-th repetition presents a positive sign in the r-th component, the interaction among the i-th subject, the j-th variable and the k-th repetition will be positive, and during the k-th repetition, the i-th subject will have a high value in the j-th variable. If an entry in the core array is small, the interpretation of that combination will not be needed.
The possibility of a huge number of combinations and interpretations using the Tucker3 technique for this type of three-dimensional data make it an undoubtedly attractive method to be considered.
As mentioned above, most of the results obtained after using the Tucker3 model are focused on the understanding of the interactions according to the signs for the four factors. However, these results can be difficult to interpret. The plots for the three dimensions, called joint biplots, are an easy way to visually understand these interactions. They are construed as the classic biplots developed by Gabriel [25], except for the fact that each biplot is built for two combinations of components, one on the horizontal axes and another on the vertical ones.
Therefore, each of the plots has three sub-plots, one for each dimension, with two components in all of them, and they represent the corresponding columns of matrices A, B, C from the decomposition of X. Thus, visual interpretations of the relationships can be obtained by jointly representing the three dimensions in only one plot.
The two methods (PTA and Tucker3) used for analysing data matrices sequences (even sets with clear structures) have different advantages [17] which we will proceed to summarise. The main advantage of PTA is optimum compromise (a maximisation of the similarity with all the original matrices), which means that it represents the stable component of the variations among the variables and subjects in the cube; moreover, it is also easy to use and can provide very detailed graphic results. On the other hand, Tucker3 shares the same advantages but with a difference: while PTA is good to highlight the stable part of a data cube structure, Tucker3 can yield deeper interactions than those obtained with PTA and can, therefore, be used to describe the interactions among the different rows, columns and repetitions in a more specialised way. Thus, the level of specialisation obtained by using Tucker3 is higher than that reached by visualizing and interpreting the groups obtained from the compromise analysis, which means that we can find and study an interaction where different numbers of components for the three dimensions are retained; for example, the first component combination for the rows, the third component for the columns and the second component for the repetitions.

3. Results and Discussion

Our data are sorted in a cube comprising 188 rows for the countries, with 6 columns for the WGI indicators, for 18 repetitions, representing the 18 years covered by the analysed period (2002–2019).
The objective of the Partial Triadic Analysis performed is to highlight the stable structure of the countries and the indicators over the 18 years; that is, to find an ‘average year’ to represent the countries and indicators in this stable structure, and to show how each one of them separates from that stable structure. On the other hand, the purpose of the Tucker3 method is to reduce the dimensionality of the data, which in this case is for 188 countries × 6 indicators × 18 years, by means of three matrices, one for each dimension, and one smaller data cube containing the interactions among rows, columns, and repetitions. This method differs from Partial Triadic Analysis in the fact that the interactions that can be found are deeper.
The first plot obtained after the PTA (Figure 1) is the interstructure, which is a graphic representation that illustrates the similarities and differences among the analysed repetitions, which in our case are the different years. It also shows which of the repetitions are the most relevant to build the compromise matrix; that is, the years that are closer to an ‘average year’ that will highlight the stable part of the evolution of the data over time.
This graph is useful to find the most similar year on average to all the others, that is, the most similar year to the most stable configuration, which is the one nearest to the horizontal axis, the abscissa axis: 2011 in this case. Similarly, it also shows how the years are grouped; several years will belong to the same group if they form small angles among them: on the one hand, the 2002 to 2010 period, in the fourth quadrant, is far from 2011 to 2019, in the first quadrant, which means that there is significative evidence to prove that something could have happened between 2010 and 2011 to justify the different values of the WGI indicators between the two groups of years. Moreover, subgroups of even more similar years can be found, such as 2002 to 2003, 2004 to 2005, or 2016 to 2019, forming even smaller angles among them.
Once the similarities and differences among the repetitions and the ‘average year’ are known, a second step allows us to explicitly obtain this ‘average year’ as a combination of all the repetitions, which is how the compromise matrix was computed, a matrix including the countries and the most stable values they take in the WGI indicators. This matrix can be analysed using PCA (Figure 2).
This plot is interpreted as follows, with Countries represented according to the region they belong to using different colours: Sub-Saharan Africa in red, North America in orange, Latin America and Caribbean in yellow, South Asia in green, East Asia and Pacific in turquoise, Europe and Central Asia in blue, and the Middle East and North Africa in violet. The WGI indicators are represented with vectors.
The left part of Figure 2 shows how most of the countries located in the same region are close to each other (Europe and Central Asia, North America, the Middle East and North Africa, South Asia, and Sub-Saharan Africa). Moreover, the groups arranged by regions are placed on the plot forming a left-to-right gradient: the Middle East and North Africa, South Asia, and Sub-Saharan Africa on the left, and Europe and Central Asia and North America on the right. This means that the main reason for country separation is the region they belong to or their income level, which is the feature that is represented on the abscissa axis, that is, the first axis from the eigendecomposition of the corresponding matrix and the one that retains the highest variability due to its being associated with the highest eigenvalue.
The right side of the figure illustrates how the WGI indicators are related to each other. It can be interpreted as follows: indicators that are placed forming small angles among them are positively correlated, in this case all of them except political stability and absence of violence/terrorism (PSAVT). Therefore, PSAVT is independent from the others because it forms an almost 90-degree angle with the rest of vectors (vectors forming 180-degree angles would have meant a negative correlation). Hence, the interpretation is about the angles, not about where the indicators are located; for example, the CC indicator is below the horizontal axis, but the important thing is that it forms small angles with the other indicators (except PSAVT). The lengths of the vectors that represent the indicators can be interpreted too; generally speaking, all the indicators present long vectors, which means that the countries present a high variability in the values they take in them.
Similarities among countries and indicators can be interpreted from both parts of the figure jointly, according to which half-plane or quadrant the countries and indicators are located on. Therefore, countries from Europe, Central Asia, and North America lean toward all the WGI indicators, because both the countries and indicators appear on the right half-plane, on the first and fourth quadrants. On the other hand, countries from the Middle East and North Africa, South Asia, and Sub-Saharan Africa are hardly concerned about the WGI indicators, since they appear on the left half-plane, on the second and third quadrants. Regarding the political stability and absence of violence/terrorism indicator, according to the countries that are placed on its quadrant, which is the fourth one, and also according to the countries that form a small angle with this indicator, certain countries, such as Namibia, Cape Verde, Botswana, Seychelles (from Sub-Saharan Africa), the United Arab Emirates, Qatar, Oman, Kuwait (from the Middle East), and Bhutan (from South Asia) present higher values, which can also be observed in certain countries from East Asia and the Pacific, such as Samoa, Brunei Darussalam, or Vanuatu.
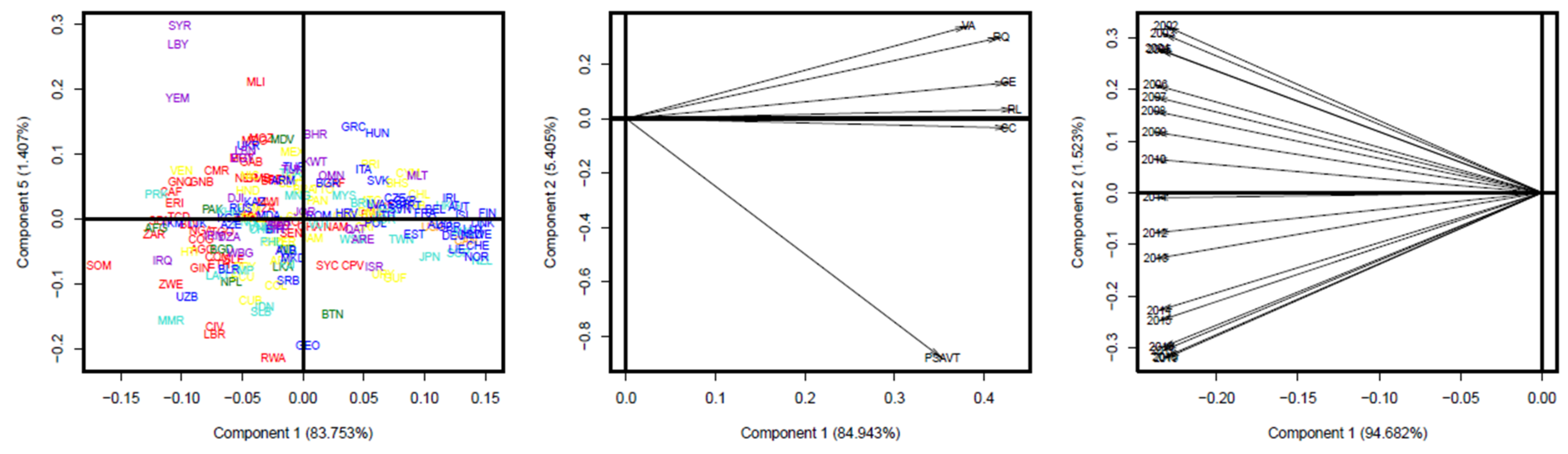
Finally, the countries and indicators corresponding to all the years are projected onto the same subspace as the compromise matrix (Figure 3), the representation of the so-called intrastructure or trajectories, and with it the evolution of the countries and the WGI indicators over time can be interpreted in a more detailed way. For example, the countries with the longest trajectories, which are those that have evolved the most over time, belong to Sub-Saharan Africa, South Asia, the Middle East, and North Africa. The indicators that varied the most are political stability and absence of violence/terrorism (PSAVT) and, to a lesser extent, voice and accountability (VA) and regulatory quality (RQ).
Let us now present the results obtained after performing the Tucker3 analysis. First, we must choose how many components to retain for each of the following dimensions: countries, indicators, and years. Of the two resulting tables, Table 1 shows every possible combination of components with the percentages of explained variability, and Table 2 summarises the previous table for those combinations that have the best explained variability for a fixed sum of components.
The second table shows that the percentages of fit of combinations 4 × 4 × 1, 5 × 3 × 2, and 5 × 4 × 2 are 94.961%, 95.064% and 96.205%, respectively, which are high enough considering that a 188 × 6 × 18 data cube has been simplified by means of 4 × 4 × 1, 5 × 3 × 2, or 5 × 4 × 2 data cubes. Moreover, the increase in explained variability, if the next most complex model were to be considered (5 × 4 × 3), would only be 0.042%, as shown in the Difference in Percentage of Fit column, which can be considered insignificant from a statistical point of view.
Similarly, a graph where all the models are represented according to the sum of the number of their components against the residual sum of squares can be used to choose the combination of components, as explained in the previous section. In this study, the plot would be as follows (Figure 4):
Here, model 4 × 4 × 1 appears as one of the simplest (it has the lowest residual sum of squares for the models that have the same sum of the number of components), and also as the first of the most stable ones, which are to the right of the pink line (the subsequent models have a statistically insignificant decrease in the residual sum of squares).
Nonetheless, 5 × 4 × 2 is the model chosen because of what was explained for Table 1 and Table 2 above, and because if two components are not considered for the third dimension, no differences will be seen among the years, and it is interesting to see how our data evolve over time.
The following results are obtained after performing the same Tucker3 analysis, but now choosing the 5 × 4 × 2 model as components. Table 3 shows the first result obtained, the so-called core array, and the core matrix presented as a table. It is associated with the explained variability and considers the different combinations of the dimension components. The signs for interpreting the interactions among the components of the dimensions are also shown, although only those of them that are statistically significant, meaning not zero, will be interpreted.
For example, by retaining one component for each dimension, an explained variability of 83.747% is obtained out of the total of 96.205%.
The following two plots will be interpreted: the one corresponding to the combinations of components 1 × 1 × 1 and 2 × 2 × 1 (Figure 5); the one corresponding to combination 5 × 1 × 2 (Figure 6).
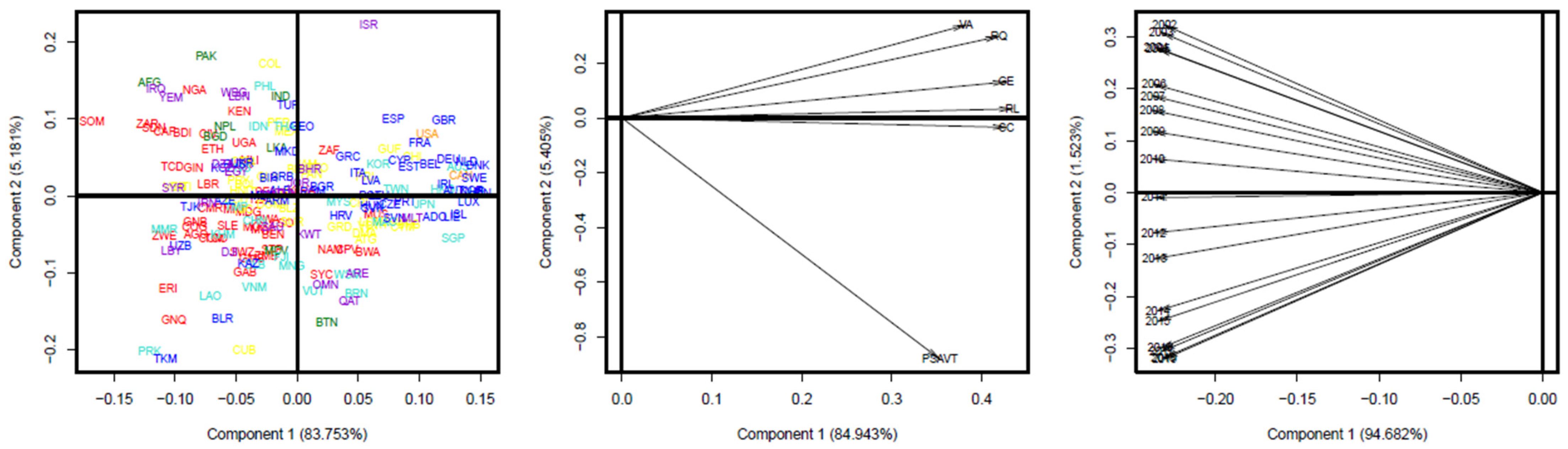
Since the 1 × 1 × 1 element in the core matrix (Table 3) is negative (−130.607), the countries with positive coordinates in the first component, which are those on the right half-plane (quadrants I and IV) in Figure 5, have a positive interaction with all the indicators (because they appear on the right half-plane, they have positive coordinates) in every year (because they are on the left half-plane, they have negative coordinates).
Countries (first axis +) x indicators (first axis +) × years (first axis −) × core matrix (−) = interaction (+)
Thus, most of the countries of Europe, Central Asia, and North America score high on all the indicators during all the analysed years. Conversely, most of the countries of the Middle East and North Africa, South Asia, and Sub-Saharan Africa take low values in all the indicators during all the analysed years.
Countries (first axis −) × indicators (first axis +) × years (first axis −) × core matrix (−) = interaction (−)
The two conclusions above, drawn from the product of the signs, are clearly illustrated in Figure 5, where countries, indicators, and years are represented.
Additionally, using Figure 5, and being aware that the element 2 × 2 × 1 in the core matrix is negative too (−32,438), an interpretation similar to that of the previous case can be made, but this time considering the vertical axes on the subplots for the countries and the indicators, so that the countries can be differentiated in detail depending on which variables they take higher values in. For example, Slovenia, Andorra, Liechtenstein, Croatia, Iceland, and the Slovak Republic are located on the fourth quadrant and, therefore, have a negative sign in the coordinate for the second component. Although they still take high values in all the indicators, such values are slightly higher in political stability and absence of violence/terrorism (PSAVT) and, to a lesser extent, in control of corruption (CC), these indicators being on the lower half-plane (quadrant IV).
Countries (second axis −) × indicators (second axis −) × years (first axis −) × core matrix (−) = interaction (+)
On the other hand, countries such as Spain, the United Kingdom, the United States, France, Greece or Cyprus take higher values in the rest of the indicators.
Countries (second axis +) × indicators (second axis +) × years (first axis −) × core matrix (−) = interaction (+)
These two differentiations, that have been obtained with the signs of the components 2 × 2 × 1, have an explained variability of 5.166%, similar to those obtained after studying the signs for the combination 1 × 1 × 1 have an explained variability of 83.747%.
Again, these two conclusions drawn from the product of the signs can be easily observed in Figure 5, which represents the countries, indicators, and years.
As an example of how to interpret the second component for the years dimension, we will now discuss combination 5 × 1 × 2, which means that the fifth component of the countries will have to be considered, as well as the first one of the indicators and the second one of the years. Figure 6 shows the fifth component of the countries on the vertical axis and the first one of the indicators on the horizontal axis.
Figure 6 shows the first and fifth components of the first dimension after the Tucker3 analysis. It can be observed that element 5 × 1 × 2 in the core matrix is positive (14.357).
Over the 2002–2010 period, countries of Europe, Central Asia, and North America, such as Greece, Hungary, Ukraine, Turkey, Italy, or the Slovak Republic, as well as countries of the Middle East, North Africa, South Asia, and Sub-Saharan Africa, such as the Syrian Arab Republic, Libya, Mali, Yemen (Rep.), Bahrain, or Mozambique, achieve slightly high values in all the indicators:
Countries (second axis +) × indicators (first axis +) × years (second axis +) × core matrix (+) = interaction (+)
On the other hand, during the same years, countries such as Georgia, Uzbekistan, Serbia, or Belarus, and Rwanda, Liberia, Côte d’Ivoire, Bhutan, Zimbabwe, Nepal, Guinea, or Sri Lanka take low values in all the indicators:
Countries (second axis −) × indicators (first axis +) × years (second axis +) × core matrix (+) = interaction (−)
While over the 2011–2019 period the topics of interest reverse when compared to the previous years, 2002–2010 being on the upper half-plane and 2011–2019 on the lower one, the interstructure plot from the PTA analysis (Figure 1) also shows how the 2002–2010 period is different from the 2011–2019 period. Once again, evidence has been found to prove that something could have happened between 2010 and 2011 that could justify the different values of the WGI indicators between the two sets of years, something that did not depend on the countries or their income level, since countries in different regions and with different income levels changed their topics of interest from 2010 to 2011.
Note that these last results explain a variability of 1.012%, so they should only be interpreted after addressing all the elements in the core matrix with higher explained variability, and by understanding that these results are useful to explain a less evident differentiation among countries, indicators, and years.
The conclusions drawn from the product of the signs can be easily observed in Figure 6, in which the countries, indicators, and years are represented.

4. Conclusions

The aim of this study was to check whether the values obtained from the indicators belonging to the Worldwide Governance Indicators (WGI) were similar across the world and over the years, or whether there are differences, and, if so, their level. For this purpose, a sample of 188 countries was analysed over a period of 18 years (2002–2019) using the following two statistical techniques: Partial Triadic Analysis (PTA) to represent the average behaviour of the indicators and the countries over time and how they separated from such average; the Tucker3 method to highlight deeper relationships among countries, indicators, and years than those that can be found with PTA.
Unlike other techniques, the results obtained after performing a PTA and a Tucker3 analysis (interstructure, compromise and trajectories plots, tables, and figures with all the possible combinations of models, a table with the strength of the interactions among the dimensions, and graphs illustrating those interactions) can help us to visually represent differences in the behaviour, separations from the average or noticeable alterations for the three dimensions of the data cube (countries in rows, WGI indicators in columns, years of study in frontal layers).
The Partial Triadic Analysis performed using the sample leads to the following general conclusions: the countries from Europe, Central Asia, and North America are linked to all the WGI indicators and take high values in all of them during all the years of study, while the countries from the Middle East, North and Sub-Saharan Africa, and South Asia pay attention to none of the indicators and take low values in all of them, again, during all the years of study. The countries from Latin America, the Caribbean, East Asia, and the Pacific are placed in a middle point with no clear pattern, since some of them take high values and others score low.
Additionally, all the indicators behave in a similar way, the vectors that represent them are very close and their angles are small, which means that they are all highly correlated, except for the ‘political stability and absence of violence/terrorism’.
Regarding the years covered, there is a clear evolution in the WGI, with a marked difference between the first and last years, each year being only similar to the previous and the subsequent years. Moreover, the largest gaps are found between 2010 and 2011, so that there is a significant difference between the 2002–2010 and the 2011–2019 period.
The Tucker3 method performed using the same sample leads to deeper conclusions (see the last paragraphs of the previous section), such as how several countries are more closely associated with certain indicators during certain periods, while others pay more attention to the rest of the indicators during the same years, or how some countries are more related to certain indicators during certain years, while the same countries pay more attention to other indicators during other years. Hence, the difference between Partial Triadic Analysis and the Tucker3 method is about general conclusions versus deeper relationships.
Among the weaknesses of this research are the lack of information for a greater number of years, as well as the fact that there are no other studies where these methodologies are applied to the Worldwide Governance Indicators (WGI), so that our results cannot be checked against those of other investigations.
Regarding future research, we intend to continue along this line using other statistical techniques that have not been tried, with the aim of learning the behaviour of the Worldwide Governance Indicators (WGI), for example Tucker3 with Categorical Principal Component Analysis, Power-Statis, or STATIS-4. Additionally, we would like to subject a larger number of years to study, and analyse how other macroeconomic variables, such as GDP, can influence the WGI.

Author Contributions

Conceptualisation I.G.-Á.; data, I.G.-Á.; methodology, M.R.-R.; software, M.R.-R.; validation, M.R.-R.; formal analysis and data, M.R.-R.; investigation, P.V.-G.; data curation, P.V.-G.; writing, P.V.-G.; writing–review and editing, I.G.-Á., M.R.-R. and P.V.-G. All authors have read and agreed to the published version of the manuscript.

Funding

The authors wish to acknowledge the Junta de Castilla y León and the European Regional Development Fund (Grant CLU-2019–03) for the financial support to the Research Unit of Excellence “Economic Management for Sustainability” (GECOS).

Institutional Review Board Statement

Not applicable.

Informed Consent Statement

Not applicable.

Data Availability Statement

The data analysed in this paper to compare the techniques performed can be found in http://info.worldbank.org/governance/wgi/ (accessed on 7 September 2021).

Conflicts of Interest

The authors declare no conflict of interest.

Appendix A

Table A1. Countries/Territories in the Sample by Region.
Table A1. Countries/Territories in the Sample by Region.
Country/TerritoryCodeRegionCountry/TerritoryCodeRegionCountry/TerritoryCodeRegion
AngolaAGO1EcuadorECU3BelarusBLR6
BurundiBDI1GrenadaGRD3SwitzerlandCHE6
BeninBEN1GuatemalaGTM3CyprusCYP6
Burkina FasoBFA1French GuianaGUF3Czech RepublicCZE6
BotswanaBWA1GuyanaGUY3GermanyDEU6
Central African RepublicCAF1HondurasHND3DenmarkDNK6
Côte d’IvoireCIV1HaitiHTI3SpainESP6
CameroonCMR1JamaicaJAM3EstoniaEST6
Congo, Rep.COG1St. LuciaLCA3FinlandFIN6
ComorosCOM1MexicoMEX3FranceFRA6
Cape VerdeCPV1NicaraguaNIC3United KingdomGBR6
EritreaERI1PanamaPAN3GeorgiaGEO6
EthiopiaETH1PeruPER3GreeceGRC6
GabonGAB1Puerto RicoPRI3CroatiaHRV6
GhanaGHA1ParaguayPRY3HungaryHUN6
GuineaGIN1El SalvadorSLV3IrelandIRL6
Gambia, TheGMB1SurinameSUR3IcelandISL6
Guinea-BissauGNB1Trinidad and TobagoTTO3ItalyITA6
Equatorial GuineaGNQ1UruguayURY3KazakhstanKAZ6
KenyaKEN1St. Vincent and the GrenadinesVCT3Kyrgyz RepublicKGZ6
LiberiaLBR1Venezuela, RBVEN3LiechtensteinLIE6
LesothoLSO1AfghanistanAFG4LithuaniaLTU6
MadagascarMDG1BangladeshBGD4LuxembourgLUX6
MaliMLI1BhutanBTN4LatviaLVA6
MozambiqueMOZ1IndiaIND4MoldovaMDA6
MauritaniaMRT1Sri LankaLKA4North MacedoniaMKD6
MauritiusMUS1MaldivesMDV4NetherlandsNLD6
MalawiMWI1NepalNPL4NorwayNOR6
NamibiaNAM1PakistanPAK4PolandPOL6
NigerNER1AustraliaAUS5PortugalPRT6
NigeriaNGA1Brunei DarussalamBRN5RomaniaROM6
RwandaRWA1ChinaCHN5Russian FederationRUS6
SudanSDN1FijiFJI5SerbiaSRB6
SenegalSEN1Hong Kong SAR, ChinaHKG5Slovak RepublicSVK6
Sierra LeoneSLE1IndonesiaIDN5SloveniaSVN6
SomaliaSOM1JapanJPN5SwedenSWE6
São Tomé and PrincipeSTP1CambodiaKHM5TajikistanTJK6
SwazilandSWZ1Korea, Rep.KOR5TurkmenistanTKM6
SeychellesSYC1Lao PDRLAO5TurkeyTUR6
ChadTCD1Macao SAR, ChinaMAC5UkraineUKR6
TogoTGO1MyanmarMMR5UzbekistanUZB6
TanzaniaTZA1MongoliaMNG5United Arab EmiratesARE7
UgandaUGA1MalaysiaMYS5BahrainBHR7
South AfricaZAF1New ZealandNZL5DjiboutiDJI7
Congo, Dem. Rep.ZAR1PhilippinesPHL5AlgeriaDZA7
ZambiaZMB1Papua New GuineaPNG5Egypt, Arab Rep.EGY7
ZimbabweZWE1Korea, Dem. Rep.PRK5Iran, Islamic Rep.IRN7
CanadaCAN2SingaporeSGP5IraqIRQ7
United StatesUSA2Solomon IslandsSLB5IsraelISR7
ArgentinaARG3ThailandTHA5JordanJOR7
Antigua and BarbudaATG3Timor-LesteTMP5KuwaitKWT7
Bahamas, TheBHS3Taiwan, ChinaTWN5LebanonLBN7
BelizeBLZ3VietnamVNM5LibyaLBY7
BoliviaBOL3VanuatuVUT5MoroccoMAR7
BrazilBRA3SamoaWSM5MaltaMLT7
BarbadosBRB3AndorraADO6OmanOMN7
ChileCHL3AlbaniaALB6QatarQAT7
ColombiaCOL3ArmeniaARM6Saudi ArabiaSAU7
Costa RicaCRI3AustriaAUT6Syrian Arab RepublicSYR7
CubaCUB3AzerbaijanAZE6TunisiaTUN7
Cayman IslandsCYM3BelgiumBEL6West Bank and GazaWBG7
DominicaDMA3BulgariaBGR6Yemen, Rep.YEM7
Dominican RepublicDOM3Bosnia and HerzegovinaBIH6
1: Sub-Saharan Africa; 2: North America; 3: Latin America and Caribbean; 4: South Asia; 5: East Asia and the Pacific; 6: Europe and Central Asia; 7: the Middle East and North Africa.

References

  1. Kaufmann, D.; Kraay, A. Governance indicators: Where are we, where should we be going? World. Bank. Res. Obser. 2008, 23, 1–30. [Google Scholar] [CrossRef] [Green Version]
  2. Kaufmann, D.; Kraay, A.; Zoido-Lobatan, P. Policy Research, Working Paper 2196. In Governance Matters; World Bank: Washington, DC, USA, 1999. [Google Scholar]
  3. World Bank. Governance and Development. The World Bank. 1992. Available online: http://documents.worldbank.org/curated/en/604951468739447676/Governance-and-development (accessed on 15 June 2021).
  4. United Nations Development Program. Governance for Sustainable Development. 1997. Available online: http://mirror.undp.org/magnet/policy/chapter1.htm (accessed on 26 May 2021).
  5. Absadykov, A. Does Good Governance Matter? Kazakhstan’s Economic Growth and Worldwide Governance Indicators. Otoritas J. Ilmu Pemer. 2020, 10, 1–13. [Google Scholar] [CrossRef]
  6. Kaufmann, D.; Kraay, A.; Mastruzzi, M. The Worldwide Governance Indicators: Methodology and Analytical Issues. Hague J. Rule Law 2011, 3, 220–246. [Google Scholar] [CrossRef]
  7. Thomas, M.A. What Do the Worldwide Governance Indicators Measure? Eur. J. Dev. Res. 2010, 22, 31–54. [Google Scholar] [CrossRef]
  8. Das, G.G.; Andriamananjara, S. Hub-and-spokes free trade agreements in the presence of technology spillovers: An application to the western hemisphere. Rev. World Econ. 2006, 142, 33–66. [Google Scholar] [CrossRef] [Green Version]
  9. Neumayer, E. Do democracies exhibit stronger international environmental commitment? A cross-country analysis. J. Peace Res. 2002, 39, 139–164. [Google Scholar] [CrossRef] [Green Version]
  10. Kurtz, M.; Schrank, A. Growth and governance: Models, measures and mechanisms. J. Polit. 2006, 69, 538–554. [Google Scholar] [CrossRef]
  11. Iqbal, K.; Shah, A. How Do the Worldwide Governance Indicators Measure Up? 2008. Available online: http://siteresources.worldbank.org/PSGLP/Resources/Howdoworldwidegovernanceindicatorsmeasureup.pdf (accessed on 25 June 2021).
  12. Dollar, D.; Kraay, A. Institutions, trade and growth. J. Monet. Econ. 2003, 50, 133–162. [Google Scholar] [CrossRef]
  13. Kaufmann, D.; Kraay, A. Growth without Governance, World Bank Policy Research; Working Paper; World Bank: Washington, DC, USA, 2002; Volume 2928. [Google Scholar]
  14. Huynh, K.P.; Jacho-Chavez, D.T. Growth and governance: A non-parametric analysis. J. Comp. Econ. 2009, 37, 121–143. [Google Scholar] [CrossRef]
  15. Han, X.; Khan, H.A.; Zhuang, J. Do Governance Indicators Explain Development Performance? A Cross-Country Analysis. (November 2014); Asian Development Bank Economics Working Paper Series; Asian Development Bank: Mandaluyong, Philippines, 2014; Volume 417. [Google Scholar]
  16. L’Hermier des Plantes, H. Structuration des Tableaux à Trois Indices de la Statistique. Thèse de Troisième Cycle; Université des Sciences et Techniques du Languedoc: Montepellier, France, 1976. [Google Scholar]
  17. Thioulouse, J. Simultaneous Analysis of a Sequence of Paired Ecological Tables: A Comparison of Several Methods. Ann. Appl. Stat. 2011, 5, 2300–2325. [Google Scholar] [CrossRef] [Green Version]
  18. Abdi, H.; Valentin, D.; Chollet, S.; Chrea, C. Analyzing assessors and products in sorting tasks: DISTATIS, theory and applications. Food Qual. Pref. 2007, 18, 627–640. [Google Scholar] [CrossRef]
  19. Benasseni, J.; Dosse, M.B. Analyzing multiset data by the Power STATIS-ACT method. 2012. Adv. Data Analy. Classif. 2012, 6, 49–65. [Google Scholar] [CrossRef]
  20. Vallejo-Arboleda, A.; Vicente-Villardón, J.L.; Galindo-Villardón, M.P. Canonical STATIS: Biplot analysis of multi-table group structured data based on STATIS-ACT methodology. Comput. Stat. Data Anal. 2007, 51, 4193–4205. [Google Scholar] [CrossRef]
  21. Sauzay, L.; Hanafi, M.; Qannari, E.M.; Schlich, P. Analyse de K + 1 tabléaux a l’aide de la méthode STATIS: Application en evaluation sensorielle. In Proceedings of the Agro-Industrie et Méthodes Statistiques—9èmes Journées Européennes, Montpellier, France, 25–27 January 2006; pp. 1–23. [Google Scholar]
  22. Vivien, M.; Sabatier, R. A Generalization of STATIS-ACT strategy: DO-ACT for two multiblocks tables. Comput. Stat. Data Anal. 2004, 46, 155–171. [Google Scholar] [CrossRef]
  23. Sabatier, R.; Vivien, M. A new linear method for analyzing four-way multiblocks tables: STATIS-4. J. Chemom. 2008, 22, 399–407. [Google Scholar] [CrossRef]
  24. Kiers, H.A.L.; Kroonenberg, P.M.; Ten Berge, J.M.F. An Efficient Algorithm for TUCKALS3 on Data with Large Numbers of Observation Units. Psychometrika 1992, 57, 415–422. [Google Scholar] [CrossRef]
  25. Gabriel, K.R. The Biplot Graphic Display of Matrices with Applications to Principal Component Analysis. Biometrika 1971, 58, 453–467. [Google Scholar] [CrossRef]
Figure 1. Interstructure from the Partial Triadic Analysis.
Figure 1. Interstructure from the Partial Triadic Analysis.
Mathematics 09 03257 g001
Figure 2. Compromise from the Partial Triadic Analysis. Red: Sub-Saharan Africa; Orange: North America; Yellow: Latin America and Caribbean; Green: South Asia; Turquoise: East Asia and Pacific; Blue: Europe and Central Asia; Violet: the Middle East and North Africa. VA: voice and accountability; PSAVT: political stability and absence of violence/terrorism; GE: government effectiveness; RQ: regulatory quality; CC: control of corruption; RL: rule of law.
Figure 2. Compromise from the Partial Triadic Analysis. Red: Sub-Saharan Africa; Orange: North America; Yellow: Latin America and Caribbean; Green: South Asia; Turquoise: East Asia and Pacific; Blue: Europe and Central Asia; Violet: the Middle East and North Africa. VA: voice and accountability; PSAVT: political stability and absence of violence/terrorism; GE: government effectiveness; RQ: regulatory quality; CC: control of corruption; RL: rule of law.
Mathematics 09 03257 g002
Figure 3. Intrastructure from the Partial Triadic Analysis. Red: Sub-Saharan Africa; Orange: North America; Yellow: Latin America and Caribbean; Green: South Asia; Turquoise: East Asia and Pacific; Blue: Europe and Central Asia; Violet: the Middle East and North Africa. VA: voice and accountability; PSAVT: political stability and absence of violence/terrorism; GE: government effectiveness; RQ: regulatory quality; CC: control of corruption; RL: rule of law.
Figure 3. Intrastructure from the Partial Triadic Analysis. Red: Sub-Saharan Africa; Orange: North America; Yellow: Latin America and Caribbean; Green: South Asia; Turquoise: East Asia and Pacific; Blue: Europe and Central Asia; Violet: the Middle East and North Africa. VA: voice and accountability; PSAVT: political stability and absence of violence/terrorism; GE: government effectiveness; RQ: regulatory quality; CC: control of corruption; RL: rule of law.
Mathematics 09 03257 g003
Figure 4. Sum of the number of components vs. residual sum of squares from the Tucker3 analysis.
Figure 4. Sum of the number of components vs. residual sum of squares from the Tucker3 analysis.
Mathematics 09 03257 g004
Figure 5. Plot for the first two components of each dimension as obtained from the Tucker3 analysis. Red: Sub-Saharan Africa; Orange: North America; Yellow: Latin America and Caribbean; Green: South Asia; Turquoise: East Asia and Pacific; Blue: Europe and Central Asia; Violet: the Middle East and North Africa. VA: voice and accountability; PSAVT: political stability and absence of violence/terrorism; GE: government effectiveness; RQ: regulatory quality; CC: control of corruption; RL: rule of law.
Figure 5. Plot for the first two components of each dimension as obtained from the Tucker3 analysis. Red: Sub-Saharan Africa; Orange: North America; Yellow: Latin America and Caribbean; Green: South Asia; Turquoise: East Asia and Pacific; Blue: Europe and Central Asia; Violet: the Middle East and North Africa. VA: voice and accountability; PSAVT: political stability and absence of violence/terrorism; GE: government effectiveness; RQ: regulatory quality; CC: control of corruption; RL: rule of law.
Mathematics 09 03257 g005
Figure 6. Plot for the first two components of the second and third dimensions. Red: Sub-Saharan Africa; Orange: North America; Yellow: Latin America and Caribbean; Green: South Asia; Turquoise: East Asia and Pacific; Blue: Europe and Central Asia; Violet: the Middle East and North Africa. VA: voice and accountability; PSAVT: political stability and absence of violence/terrorism; GE: government effectiveness; RQ: regulatory quality; CC: control of corruption; RL: rule of law.
Figure 6. Plot for the first two components of the second and third dimensions. Red: Sub-Saharan Africa; Orange: North America; Yellow: Latin America and Caribbean; Green: South Asia; Turquoise: East Asia and Pacific; Blue: Europe and Central Asia; Violet: the Middle East and North Africa. VA: voice and accountability; PSAVT: political stability and absence of violence/terrorism; GE: government effectiveness; RQ: regulatory quality; CC: control of corruption; RL: rule of law.
Mathematics 09 03257 g006
Table 1. All the combinations from the Tucker3 analysis.
Table 1. All the combinations from the Tucker3 analysis.
Model SizeSumBest Given SumSS(Res)Prop. SS(Fit)Model SizeSumBest Given SumSS(Res)Prop. SS(Fit)
1 × 1 × 13*3308.95883.7553 × 5 × 412 1376.77793.241
1 × 2 × 25 3307.82683.7603 × 5 × 513 1375.00493.249
1 × 3 × 37 3307.03883.7644 × 1 × 49 2957.38485.481
1 × 4 × 49 3306.54483.7674 × 2 × 28 1868.31590.828
1 × 5 × 511 3306.42083.7674 × 2 × 39 1855.01190.893
2 × 1 × 25 3048.53385.0334 × 2 × 410 1851.12290.912
2 × 2 × 15*2255.79188.9254 × 2 × 511 1850.41690.915
2 × 2 × 26*2250.08188.9534 × 3 × 29 1105.53294.572
2 × 2 × 37 2248.86388.9594 × 3 × 310 1098.44994.607
2 × 2 × 48 2248.69588.9604 × 3 × 411 1093.31994.632
2 × 3 × 27 2249.42588.9574 × 3 × 512 1090.71494.645
2 × 3 × 38 2246.41788.9714 × 4 × 19*1081.45794.691
2 × 3 × 49 2245.39288.9764 × 4 × 210 1057.79094.807
2 × 3 × 510 2245.13688.9784 × 4 × 311 1050.20194.844
2 × 4 × 28 2249.35188.9574 × 4 × 412 1046.17994.864
2 × 4 × 39 2246.05188.9734 × 4 × 513 1043.41994.877
2 × 4 × 410 2244.66588.9804 × 5 × 211 1055.47594.818
2 × 4 × 511 2243.71388.9854 × 5 × 312 1047.25794.859
2 × 5 × 310 2245.84188.9744 × 5 × 413 1042.76794.881
2 × 5 × 411 2244.35788.9814 × 5 × 514 1039.88894.895
2 × 5 × 512 2243.34388.9865 × 1 × 511 2945.58085.539
3 × 1 × 37 2978.88785.3755 × 2 × 310 1788.16991.221
3 × 2 × 27 1968.21590.3375 × 2 × 411 1781.84191.252
3 × 2 × 38 1962.87090.3635 × 2 × 512 1780.77391.257
3 × 2 × 49 1959.27290.3815 × 3 × 210*1005.36895.064
3 × 2 × 510 1958.70590.3845 × 3 × 311 988.93095.145
3 × 3 × 17*1401.00993.1225 × 3 × 412 982.68995.176
3 × 3 × 28*1390.89393.1715 × 3 × 513 979.88195.189
3 × 3 × 39 1384.19693.2045 × 4 × 211*773.08196.205
3 × 3 × 410 1381.16293.2195 × 4 × 312*764.42496.247
3 × 3 × 511 1379.47593.2285 × 4 × 413 757.95096.279
3 × 4 × 29 1388.38693.1845 × 4 × 514 754.84496.294
3 × 4 × 310 1381.55293.2175 × 5 × 111 984.56695.166
3 × 4 × 411 1378.01993.2355 × 5 × 212 765.53196.242
3 × 4 × 512 1376.26393.2435 × 5 × 313*756.73996.285
3 × 5 × 210 1387.60793.1885 × 5 × 414*749.89296.318
3 × 5 × 311 1380.31793.2235 × 5 × 515*746.56496.335
* Combinations with the highest explained variability for each sum of components.
Table 2. Combinations with the best fit from the Tucker3 analysis.
Table 2. Combinations with the best fit from the Tucker3 analysis.
Model SizeSSS(Res)Prop. SS(Fit)DifFit
1 × 1 × 133308.95813783.75583.755
2 × 2 × 152255.79099288.9255.170
2 × 2 × 262250.08065388.9530.028
3 × 3 × 171401.00877693.1224.168
3 × 3 × 281390.89317993.1710.050
4 × 4 × 191081.45697894.6911.519
5 × 3 × 2101005.36810795.0640.374
5 × 4 × 211773.080876696.2051.140
5 × 4 × 312764.424491996.2470.042
5 × 5 × 313756.739013196.2850.038
5 × 5 × 414749.892233496.3180.034
5 × 5 × 515746.563583196.3350.016
Table 3. Core matrix from the Tucker3 analysis.
Table 3. Core matrix from the Tucker3 analysis.
Mode 2 ComponentsMode 2 Components
Residual Sums of SquaresExplained Variability
12341234
Mode 3, Component 1Mode 1 components1−130.607−0.832−0.0390.30183.7470.0030.0000.000
20.206−32.438−0.668−0.7420.0005.1660.0020.003
30.0030.663−29.2220.0910.0000.0024.1920.000
4−0.0440.491−0.092−16.7260.0000.0010.0001.373
50.014−0.149−0.399−6.2250.0000.0000.0010.190
Mode 3, Component 2Mode 1 components10.3770.3530.449−0.0160.0010.0010.0010.000
2−0.1500.814−0.373−1.1080.0000.0030.0010.006
30.1051.918−2.1700.2780.0000.0180.0230.000
4−6.1162.5282.454−1.2810.1840.0310.0300.008
514.357−6.0370.7032.1481.0120.1790.0020.023
Publisher’s Note: MDPI stays neutral with regard to jurisdictional claims in published maps and institutional affiliations.

Share and Cite

MDPI and ACS Style

Gallego-Álvarez, I.; Rodríguez-Rosa, M.; Vicente-Galindo, P. Are Worldwide Governance Indicators Stable or Do They Change over Time? A Comparative Study Using Multivariate Analysis. Mathematics 2021, 9, 3257. https://doi.org/10.3390/math9243257

AMA Style

Gallego-Álvarez I, Rodríguez-Rosa M, Vicente-Galindo P. Are Worldwide Governance Indicators Stable or Do They Change over Time? A Comparative Study Using Multivariate Analysis. Mathematics. 2021; 9(24):3257. https://doi.org/10.3390/math9243257

Chicago/Turabian Style

Gallego-Álvarez, Isabel, Miguel Rodríguez-Rosa, and Purificación Vicente-Galindo. 2021. "Are Worldwide Governance Indicators Stable or Do They Change over Time? A Comparative Study Using Multivariate Analysis" Mathematics 9, no. 24: 3257. https://doi.org/10.3390/math9243257

APA Style

Gallego-Álvarez, I., Rodríguez-Rosa, M., & Vicente-Galindo, P. (2021). Are Worldwide Governance Indicators Stable or Do They Change over Time? A Comparative Study Using Multivariate Analysis. Mathematics, 9(24), 3257. https://doi.org/10.3390/math9243257

Note that from the first issue of 2016, this journal uses article numbers instead of page numbers. See further details here.

Article Metrics

Back to TopTop