Modelling Short- and Long-Term Dependencies of Clustered High-Threshold Exceedances in Significant Wave Heights
Abstract
1. Introduction
2. Peaks-over-Threshold Modelling
3. Modelling Approaches for Dependent Data
3.1. Models Capturing Short-Range Dependence
3.2. Models Capturing Long-Range Dependence
3.3. Two-Step ARFIMA-POT Approach Capturing Both Short- and Long-Range Dependence
- Fit an ARFIMA model to the original dataset making no assumptions about the distribution of the innovations . Calculate the implied model residuals to retrieve a series resembling an iid white noise process.
- Use the classical POT model on the ARFIMA residuals to describe the tail of the residual distribution .
4. Application to Significant Wave Heights
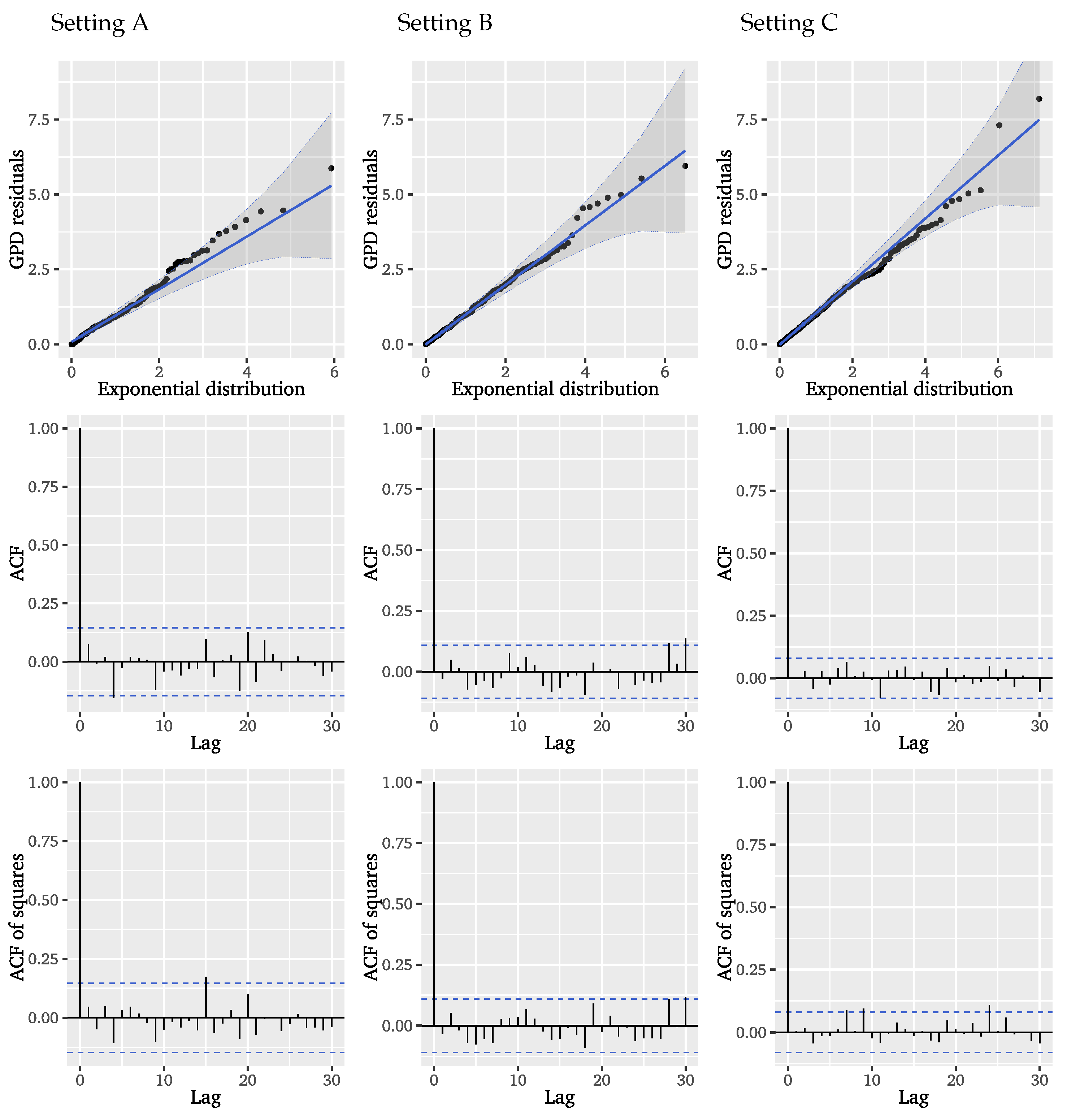
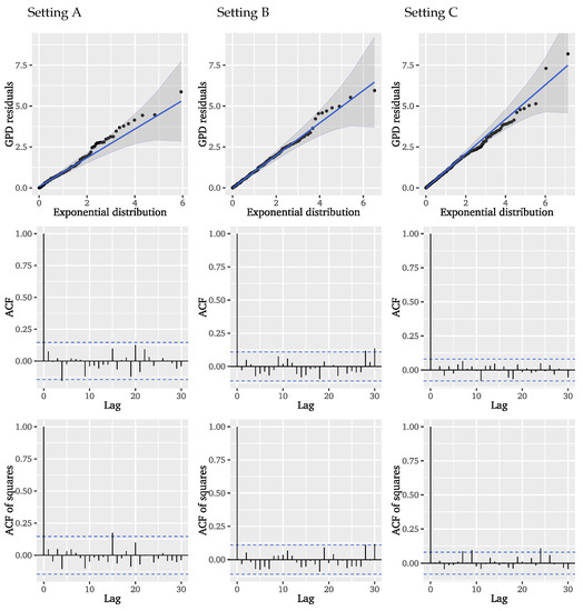
4.1. Results: Conditional POT Models
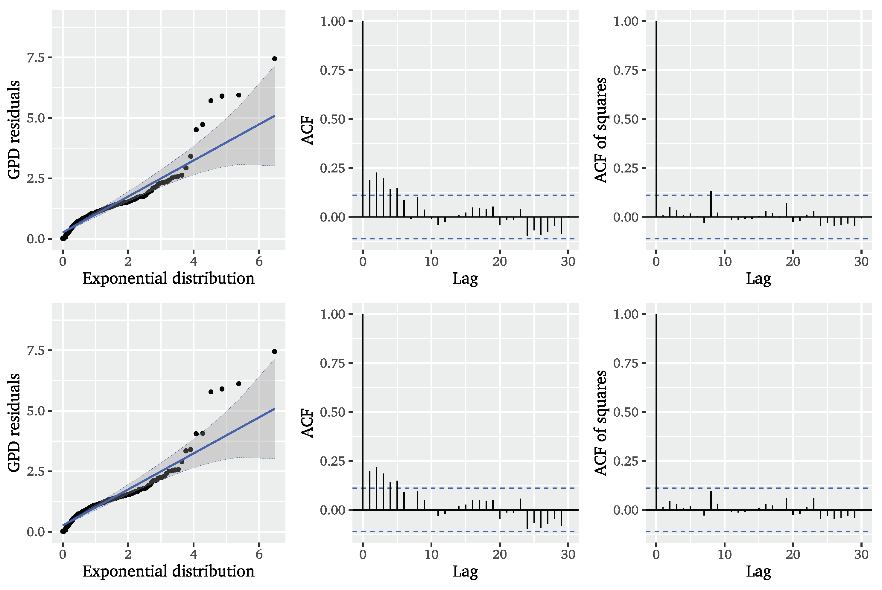
4.2. Results: Mittag–Leffler Distribution
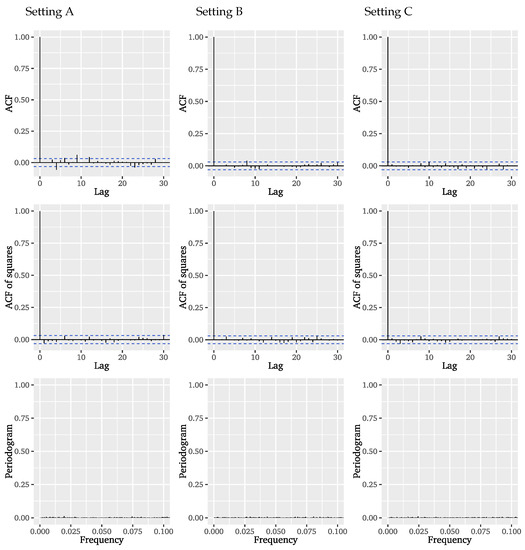
4.3. Results: Two-Step ARFIMA-POT Approach
5. Simulation Study
5.1. Simulation Results: Conditional POT Models
5.2. Simulation Results: Mittag–Leffler Distribution
5.3. Simulation Results: Two-Step ARFIMA-POT Approach
6. Conclusions
Author Contributions
Funding
Institutional Review Board Statement
Informed Consent Statement
Data Availability Statement
Acknowledgments
Conflicts of Interest
Abbreviations
| ACF | Autocorrelation function |
| AIC | Akaike information criterion |
| AR | Autoregressive |
| ARFIMA | Autoregressive fractionally integrated moving average |
| BIC | Bayesian information criterion |
| CCF | Cross-correlation function |
| CTRE | Continuous time random exceedance |
| ETAS | Epidemic-type aftershock sequence |
| EVT | Extreme value statistics |
| GARCH | Generalised autoregressive conditional heteroscedasticity |
| GPD | Generalised Pareto distribution |
| iid | Independently and identically distributed |
| MA | Moving average |
| MPP | Marked point process |
| POT | Peaks-over-threshold |
| Quantile-quantile | |
| SEPOT | Self-exciting peaks-over-threshold |
Appendix A
Appendix A.1


Appendix A.2

| Setting A | 0.7272 | 0.2389 | 0.2577 | ||||||
| (0.0255) | (0.0219) | (0.0232) | |||||||
| Setting B | 1.1527 | −0.2355 | 0.8372 | −0.7609 | 0.0842 | 0.3924 | −0.1814 | 0.7920 | −0.1216 |
| (0.0495) | (0.0912) | (0.0936) | (0.0487) | (0.0786) | (0.1025) | (0.0640) | (0.0732) | (0.0607) | |
| Setting C | 0.1549 | ||||||||
| (0.0122) | |||||||||
| Setting A | 9228.0 | −18445.9 | −18414.5 | ||||||
| Setting B | 10355.7 | −20689.4 | −20619.3 | ||||||
| Setting C | 10353.8 | −20701.7 | −20682.5 | ||||||

| Setting A | 0.0486 (0.0048) | −0.1962 (0.0684) |
| Setting B | 0.0451 (0.0034) | −0.1014 (0.0528) |
| Setting C | 0.0514 (0.0026) | −0.1224 (0.0324) |

References
- Ferreira, A.; de Haan, L. On the block maxima method in extreme value theory: PWM estimators. Ann. Stat. 2015, 43, 276–298. [Google Scholar] [CrossRef]
- Chavez-Demoulin, V.; Davison, A.C.; McNeil, A.J. Estimating value-at-risk: A point process approach. Quant. Financ. 2005, 5, 227–234. [Google Scholar] [CrossRef]
- Herrera, R.; Schipp, B. Statistics of extreme events in risk management: The impact of the subprime and global financial crisis on the German stock market. N. Am. J. Econ. Financ. 2014, 29, 218–238. [Google Scholar] [CrossRef]
- Lee, D.; Li, W.K.; Wong, T.S.T. Modeling insurance claims via a mixture exponential model combined with peaks-over-threshold approach. Insur. Math. Econ. 2012, 51, 538–550. [Google Scholar] [CrossRef]
- Bernardara, P.; Andreewsky, M.; Benoit, M. Application of regional frequency analysis to the estimation of extreme storm surges. J. Geophys. Res. 2011, 116, C2. [Google Scholar] [CrossRef]
- Dissanayake, P.; Brown, J.; Sibbertsen, P.; Winter, C. Using a two-step framework for the investigation of storm impacted beach/dune erosion. Coast. Eng. 2021, 168, 103939. [Google Scholar] [CrossRef]
- Méndez, F.J.; Menéndez, M.; Luceño, A.; Losada, I.J. Estimation of the long-term variability of extreme significant wave height using a time-dependent Peak Over Threshold (POT) model. J. Geophys. Res. 2006, 111, C7. [Google Scholar] [CrossRef]
- Cañellas, B.; Orfila, A.; Méndez, F.J.; Menéndez, M.; Gómez-Pujol, L.; Tintoré, J. Application of a POT Model to Estimate the Extreme Significant Wave Height Levels around the Balearic Sea (Western Mediterranean); Coastal Education and Research Foundation: Coconut Creek, FL, USA, 2007. [Google Scholar]
- Davison, A.C.; Smith, R.L. Models for exceedances over high thresholds. J. R. Stat. Soc. Ser. B Methodol. 1990, 52, 393–425. [Google Scholar] [CrossRef]
- Smith, R.L.; Weissman, I. Estimating the extremal index. J. R. Stat. Soc. Ser. B Methodol. 1994, 56, 515–528. [Google Scholar] [CrossRef]
- Laurini, F.; Tawn, J.A. New estimators for the extremal index and other cluster characteristics. Extremes 2003, 6, 189–211. [Google Scholar] [CrossRef]
- Leadbetter, M.R.; Rootzén, H.; Lindgren, G. Extremes and Related Properties of Random Sequences and Processes; Springer Series in Statistics; Springer International Publishing: Cham, Swizerland, 1983. [Google Scholar] [CrossRef]
- Ferro, C.A.T.; Segers, J. Inference for clusters of extreme values. J. R. Stat. Soc. Ser. B Methodol. 2003, 65, 545–556. [Google Scholar] [CrossRef]
- Embrechts, P.; Klüppelberg, C.; Mikosch, T. Modelling extremal events for insurance and finance: For insurance and finance. In Applications of Mathematics; Springer: Berlin/Heidelberg, Germany, 2012; Volume 33. [Google Scholar]
- Davis, R.A.; Mikosch, T.; Zhao, Y. Measures of serial extremal dependence and their estimation. Stoch. Process. Their Appl. 2013, 123, 2575–2602. [Google Scholar] [CrossRef]
- Leadbetter, M.R.; Weissman, I.; de Haan, L.; Rootzén, H. On clustering of high values in statistically stationary series. In Proceedings of the 4th International Meeting Statistical Climatology, Rotorua, New Zealand, 27–31 March 1989; Sanson, J., Ed.; New Zealand Meteorological Service: Wellington, New Zealand, 1989. [Google Scholar]
- Ledford, A.W.; Tawn, J.A. Diagnostics for dependence within time series extremes. J. R. Stat. Soc. Ser. B Stat. Methodol. 2003, 65, 521–543. [Google Scholar] [CrossRef]
- Mazas, F.; Hamm, L. A multi-distribution approach to POT methods for determining extreme wave heights. Coast. Eng. 2011, 58, 385–394. [Google Scholar] [CrossRef]
- Bernardara, P.; Mazas, F.; Kergadallan, X.; Hamm, L. A two-step framework for over-threshold modelling of environmental extremes. Nat. Hazards Earth Syst. Sci. 2014, 14, 635–647. [Google Scholar] [CrossRef]
- Hawkes, A.G. Spectra of some self-exciting and mutually exciting point processes. Biometrika 1971, 58, 83–90. [Google Scholar] [CrossRef]
- McNeil, A.J.; Frey, R.; Embrechts, P. Quantitative Risk Management: Concepts, Techniques and Tools; Princeton Series in Finance; Princeton University Press: Princeton, NJ, USA, 2015. [Google Scholar]
- Herrera, R.; Schipp, B. Self-exciting extreme value models for stock market crashes. In Statistical Inference, Econometric Analysis and Matrix Algebra; Schipp, B., Krämer, W., Trenkler, G., Eds.; Physica and Springer [distributor]: Heidelberg, Germany; London, UK, 2009; pp. 209–231. [Google Scholar] [CrossRef]
- Chavez-Demoulin, V.; McGill, J.A. High-frequency financial data modeling using Hawkes processes. J. Bank. Financ. 2012, 36, 3415–3426. [Google Scholar] [CrossRef]
- Gresnigt, F.; Kole, E.; Franses, P.H. Interpreting financial market crashes as earthquakes: A new Early Warning System for medium term crashes. J. Bank. Financ. 2015, 56, 123–139. [Google Scholar] [CrossRef]
- Grothe, O.; Korniichuk, V.; Manner, H. Modeling multivariate extreme events using self-exciting point processes. J. Econom. 2014, 182, 269–289. [Google Scholar] [CrossRef]
- Hautsch, N.; Herrera, R. Multivariate dynamic intensity peaks–over–threshold models. J. Appl. Econom. 2020, 35, 248–272. [Google Scholar] [CrossRef]
- Ogata, Y. Statistical models for earthquake occurrences and residual analysis for point processes. J. Am. Stat. Assoc. 1988, 83, 9–27. [Google Scholar] [CrossRef]
- Helmstetter, A.; Sornette, D. Subcritical and supercritical regimes in epidemic models of earthquake aftershocks. J. Geophys. Res. Solid Earth 2002, 107, ESE 10-1–ESE 10-21. [Google Scholar] [CrossRef]
- Geweke, J.; Porter-Hudak, S. The estimation and application of long memory time series models. J. Time Ser. Anal. 1983, 4, 221–238. [Google Scholar] [CrossRef]
- Hurst, H.E. Long-term storage capacity of reservoirs. Trans. Am. Soc. Civ. Eng. 1951, 116, 770–799. [Google Scholar] [CrossRef]
- Contreras-Reyes, J.E.; Palma, W. Statistical analysis of autoregressive fractionally integrated moving average models in R. Comput. Stat. 2013, 28, 2309–2331. [Google Scholar] [CrossRef]
- Hassler, U.; Kokoszka, P. Impulse responses of fractionally integrated processes with long memory. Econom. Theory 2010, 26, 1855–1861. [Google Scholar] [CrossRef]
- Beran, J.; Feng, Y.; Ghosh, S.; Kulik, R. Long-Memory Processes: Probabilistic Properties and Statistical Methods; Springer: Berlin/Heidelberg, Germany, 2013. [Google Scholar] [CrossRef]
- Bunde, A.; Eichner, J.F.; Kantelhardt, J.W.; Havlin, S. Long-term memory: A natural mechanism for the clustering of extreme events and anomalous residual times in climate records. Phys. Rev. Lett. 2005, 94, 048701. [Google Scholar] [CrossRef]
- Eichner, J.F.; Kantelhardt, J.W.; Bunde, A.; Havlin, S. Statistics of return intervals in long-term correlated records. Phys. Rev. E 2007, 75, 011128. [Google Scholar] [CrossRef]
- Blender, R.; Fraedrich, K.; Sienz, F. Extreme event return times in long-term memory processes near 1/f. Nonlinear Process. Geophys. 2008, 15, 557–565. [Google Scholar] [CrossRef]
- Bunde, A.F.; Eichner, J.; Havlin, S.; Kantelhardt, J.W. The effect of long-term correlations on the return periods of rare events. Phys. A Stat. Mech. Its Appl. 2003, 330, 1–7. [Google Scholar] [CrossRef]
- Altmann, E.G.; Kantz, H. Recurrence time analysis, long-term correlations, and extreme events. Phys. Rev. E 2005, 71, 056106. [Google Scholar] [CrossRef] [PubMed]
- Wang, F.; Yamasaki, K.; Havlin, S.; Stanley, H.E. Scaling and memory of intraday volatility return intervals in stock markets. Phys. Rev. E 2006, 73, 026117. [Google Scholar] [CrossRef] [PubMed]
- Santhanam, M.S.; Kantz, H. Return interval distribution of extreme events and long-term memory. Phys. Rev. E Stat. Nonlinear Soft Matter Phys. 2008, 78, 051113. [Google Scholar] [CrossRef] [PubMed]
- Bogachev, M.I.; Eichner, J.F.; Bunde, A. Effect of nonlinear correlations on the statistics of return intervals in multifractal data sets. Phys. Rev. Lett. 2007, 99, 240601. [Google Scholar] [CrossRef] [PubMed]
- Eichner, J.F.; Kantelhardt, J.W.; Bunde, A.; Havlin, S. Extreme value statistics in records with long-term persistence. Phys. Rev. E Stat. Nonlinear Soft Matter Phys. 2006, 73, 016130. [Google Scholar] [CrossRef] [PubMed]
- Hees, K.; Nayak, S.; Straka, P. Statistical inference for inter-arrival times of extreme events in bursty time series. Comput. Stat. Data Anal. 2021, 155, 107096. [Google Scholar] [CrossRef]
- Biard, R.; Saussereau, B. Fractional Poisson process: Long-range dependence and applications in ruin theory. J. Appl. Probab. 2014, 51, 727–740. [Google Scholar] [CrossRef]
- Laskin, N. Fractional Poisson process. Commun. Nonlinear Sci. Numer. Simul. 2003, 8, 201–213. [Google Scholar] [CrossRef]
- Meerschaert, M.; Nane, E.; Vellaisamy, P. The fractional Poisson process and the inverse stable subordinator. Electron. J. Probab. 2011, 16, 1600–1620. [Google Scholar] [CrossRef]
- Barbosa, S.M.; Fernandes, M.J.; Silva, M.E. Long-range dependence in North Atlantic sea level. Phys. A Stat. Mech. Its Appl. 2006, 371, 725–731. [Google Scholar] [CrossRef]
- Ercan, A.; Kavvas, M.L.; Abbasov, R.K. Long-Range Dependence and Sea Level Forecasting; Springer Briefs in Statistics; Springer International Publishing: Cham, Swizerland, 2013. [Google Scholar] [CrossRef]
- Lewis, P.A.W.; Ray, B.K. Modeling long-range dependence, nonlinearity, and periodic phenomena in sea surface temperatures using TSMARS. J. Am. Stat. Assoc. 1997, 92, 881–893. [Google Scholar] [CrossRef]
- Jiang, L.; Zhao, X.; Wang, L. Long-range correlations of global sea surface temperature. PLoS ONE 2016, 11, e0153774. [Google Scholar] [CrossRef][Green Version]
- Percival, D.B.; Rothrock, D.A.; Thorndike, A.S.; Gneiting, T. The variance of mean sea-ice thickness: Effect of long-range dependence. J. Geophys. Res. 2008, 113. [Google Scholar] [CrossRef]
- Ozger, M. Scaling characteristics of ocean wave height time series. Phys. A Stat. Mech. Its Appl. 2011, 390, 981–989. [Google Scholar] [CrossRef]
- Cabrera, L.; Rodríguez, G. Detrended fluctuation analysis of significant wave height time series. Coastal Processes II. In WIT Transactions on Ecology and the Environment; Brebbia, C.A., Benassai, G., Rodriguez, G.R., Eds.; WIT Press: Southampton, UK, 2011; pp. 333–341. [Google Scholar] [CrossRef]
- Wang, L.; Xu, X.; Liu, G.; Chen, B.; Chen, Z. A new method to estimate wave height of specified return period. Chin. J. Oceanol. Limnol. 2017, 35, 1002–1009. [Google Scholar] [CrossRef]
- McNeil, A.J.; Frey, R. Estimation of tail-related risk measures for heteroscedastic financial time series: An extreme value approach. J. Empir. Financ. 2000, 7, 271–300. [Google Scholar] [CrossRef]
- Mikosch, T. Modeling dependence and tails of financial time series. In Extreme Values in Finance, Telecommunications, and the Environment; Finkenstädt, B., Rootzén, H., Eds.; Monographs on Statistics and Applied Probability; CRC Press: Boca Raton, FL, USA, 2004; pp. 185–286. [Google Scholar]
- Byström, H.N. Managing extreme risks in tranquil and volatile markets using conditional extreme value theory. Int. Rev. Financ. Anal. 2004, 13, 133–152. [Google Scholar] [CrossRef]
- Krehbiel, T.; Adkins, L.C. Price risk in the NYMEX energy complex: An extreme value approach. J. Futur. Mark. 2005, 25, 309–337. [Google Scholar] [CrossRef]
- Fong Chan, K.; Gray, P. Using extreme value theory to measure value-at-risk for daily electricity spot prices. Int. J. Forecast. 2006, 22, 283–300. [Google Scholar] [CrossRef]
- Marimoutou, V.; Raggad, B.; Trabelsi, A. Extreme Value Theory and Value at Risk: Application to oil market. Energy Econ. 2009, 31, 519–530. [Google Scholar] [CrossRef]
- Chiu, Y.C.; Chuang, I.Y.; Lai, J.Y. The performance of composite forecast models of value-at-risk in the energy market. Energy Econ. 2010, 32, 423–431. [Google Scholar] [CrossRef]
- Granger, C.W.J.; Joyeux, R. An introduction to long-memory time series models and fractional differencing. J. Time Ser. Anal. 1980, 1, 15–29. [Google Scholar] [CrossRef]
- Hosking, J.R.M. Fractional differencing. Biometrika 1981, 68, 165–176. [Google Scholar] [CrossRef]
- Resnick, S.; Stărică, C. Consistency of Hill’s estimator for dependent data. J. Appl. Probab. 1995, 32, 139–167. [Google Scholar] [CrossRef]
- Resnick, S.; Stărică, C. Asymptotic behavior of hill’s estimator for autoregressive data. Commun. Stat. Stoch. Model. 1997, 13, 703–721. [Google Scholar] [CrossRef]
- Visser, H.; Petersen, A.C. Inferences on weather extremes and weather-related disasters: A review of statistical methods. Clim. Past 2012, 8, 265–286. [Google Scholar] [CrossRef]
- Pickands, J. Statistical inference using extreme order statistics. Ann. Stat. 1975, 3, 119–131. [Google Scholar] [CrossRef]
- Smith, R.L. Extreme value analysis of environmental time series: An application to trend detection in ground-level ozone. Stat. Sci. 1989, 4, 367–377. [Google Scholar]
- Coles, S. An Introduction to Statistical Modeling of Extreme Values; Springer Series in Statistics Ser; Springer London, Limited: London, UK, 2013. [Google Scholar] [CrossRef]
- Leadbetter, M.R. Extremes and local dependence in stationary sequences. Z. Wahrscheinlichkeitstheorie Verwandte Geb. 1983, 65, 291–306. [Google Scholar] [CrossRef]
- Beirlant, J.; Goegebeur, Y.; Segers, J.; Teugels, J.L. Statistics of Extremes: Theory and Applications; Wiley Series in Probability and Statistics; John Wiley & Sons: Hoboken, NJ, USA, 2005. [Google Scholar] [CrossRef]
- Daley, D.J.; Vere-Jones, D. An Introduction to the Theory of Point Processes, 2nd ed.; Probability and Its Applications; Springer: New York, NY, USA, 2003. [Google Scholar] [CrossRef]
- Brockwell, P.J.; Davis, R.A. Time Series: Theory and Methods, 2nd ed.; Springer Series in Statistics; Springer: New York, NY, USA, 1991. [Google Scholar] [CrossRef]
- Whittle, P. Estimation and information in stationary time series. Ark. Mat. 1953, 2, 423–434. [Google Scholar] [CrossRef]
- Fox, R.; Taqqu, M.S. Large-sample properties of parameter estimates for strongly dependent stationary Gaussian time series. Ann. Stat. 1986, 14, 517–532. [Google Scholar] [CrossRef]
- Giraitis, L.; Surgailis, D. A central limit theorem for quadratic forms in strongly dependent linear variables and its application to asymptotical normality of Whittle’s estimate. Z. Wahrscheinlichkeitstheorie Verwandte Geb. 1990, 86, 87–104. [Google Scholar] [CrossRef]
- Schwarz, G. Estimating the dimension of a model. Ann. Stat. 1978, 6, 461–464. [Google Scholar] [CrossRef]
- Akaike, H. A new look at the statistical model identification. IEEE Trans. Autom. Control 1974, 19, 716–723. [Google Scholar] [CrossRef]
- Youssef, M.; Belkacem, L.; Mokni, K. Value-at-Risk estimation of energy commodities: A long-memory GARCH–EVT approach. Energy Econ. 2015, 51, 99–110. [Google Scholar] [CrossRef]
- Zhao, L.T.; Liu, K.; Duan, X.L.; Li, M.F. Oil price risk evaluation using a novel hybrid model based on time-varying long memory. Energy Econ. 2019, 81, 70–78. [Google Scholar] [CrossRef]
- He, J.; Wang, J.; Jiang, X. The Effects of Long Memory in Price Volatility of Inventories Pledged on Portfolio Optimization of Supply Chain Finance. J. Math. Financ. 2016, 06, 134–155. [Google Scholar] [CrossRef]
- Elek, P.; Márkus, L. A light-tailed conditionally heteroscedastic model with applications to river flows. J. Time Ser. Anal. 2008, 29, 14–36. [Google Scholar] [CrossRef]
- Guedes Soares, C.; Scotto, M. Long term and extreme value models of wave data. In Marine Technology and Engineering; Taylor & Francis Group: London, UK, 2012; Volume 1, pp. 97–108. [Google Scholar]
- Vanem, E. Long-term time-dependent stochastic modelling of extreme waves. Stoch. Environ. Res. Risk Assess. 2011, 25, 185–209. [Google Scholar] [CrossRef]
- Guedes Soares, C.; Cunha, C. Bivariate autoregressive models for the time series of significant wave height and mean period. Coast. Eng. 2000, 40, 297–311. [Google Scholar] [CrossRef]
- Dissanayake, P.; Brown, J.; Wisse, P.; Karunarathna, H. Effects of storm clustering on beach/dune evolution. Mar. Geol. 2015, 370, 63–75. [Google Scholar] [CrossRef]
- Davison, A.C. Statistical Models; Cambridge University Press: Cambridge, UK, 2003. [Google Scholar]
- Gill, G.; Straka, P. MittagLeffleR: Using the Mittag–Leffler Distributions in R. 2018. Available online: https://strakaps.github.io/MittagLeffleR/ (accessed on 20 August 2021).
- Hees, K.; Straka, P. CTRE: Thresholding Bursty Time Series. 2018. Available online: https://strakaps.github.io/CTRE/ (accessed on 20 August 2021).
- Veenstra, J.Q. Persistence and Anti-Persistence: Theory and Software. Ph.D. Thesis, Western University, London, ON, Canada, 2012. [Google Scholar]
- Ljung, G.M.; Box, G.E.P. On a measure of lack of fit in time series models. Biometrika 1978, 65, 297–303. [Google Scholar] [CrossRef]
- Ribatet, M.; Dutang, C. POT: Generalized Pareto Distribution and Peaks over Threshold. 2019. Available online: https://cran.r-project.org/web/packages/POT/index.html (accessed on 20 August 2021).
- Gilleland, E.; Katz, R.W. extRemes 2.0: An extreme value analysis package in R. J. Stat. Softw. 2016, 72, 1–39. [Google Scholar] [CrossRef]


















| Model | Parameter Estimates | ||||||||
|---|---|---|---|---|---|---|---|---|---|
| Hawkes-POT (ETAS) | 0.0037 | 9.5390 | 1.1520 | 0.1410 | 2.6007 | −0.9431 | 0.9932 | −0.5907 | −442.81 |
| Hawkes-POT (exp.) | 0.0040 | 1.6529 | 1.0623 | 0.1452 | −0.9431 | 0.9932 | −0.5907 | −443.38 | |
| SEPOT (ETAS) | 0.0040 | 0.4018 | 0.0000 | 1.0078 | 1.8276 | 0.1461 | 0.2811 | −0.6850 | −445.25 |
| SEPOT (exp.) | 0.0043 | 1.8542 | 1.5402 | 0.9819 | 0.1445 | 1.2888 | −0.6741 | −446.85 | |
| 1.1787 | −0.3177 | 0.8687 | −0.7375 | 0.1398 | 0.3660 | −0.2593 | 0.7555 | −0.1270 |
| (0.0874) | (0.1591) | (0.1126) | (0.0528) | (0.1634) | (0.2104) | (0.1041) | (0.1138) | (0.0905) |
| 10,354.4 | −20,686.8 | −20,616.6 | ||||||
| Model | Parameter Estimates | ||||||||
|---|---|---|---|---|---|---|---|---|---|
| Setting A | |||||||||
| Hawkes-POT (ETAS) | 0.0032 | 1.5319 | 0.4026 | 0.1131 | 1.6573 | −1.4181 | 1.7329 | −0.7442 | −284.34 |
| Hawkes-POT (exp.) | 0.0039 | 1.2625 | 0.8652 | 0.1151 | −1.4181 | 1.7329 | −0.7442 | −287.29 | |
| Setting B | |||||||||
| Hawkes-POT (ETAS) | 0.0061 | 25.0000 | 1.6975 | 0.5433 | 2.8912 | −2.0768 | 3.0946 | −0.4550 | −244.51 |
| Hawkes-POT (exp.) | 0.0063 | 1.1710 | 0.8903 | 0.5201 | −2.0768 | 3.0946 | −0.4550 | −243.66 | |
| Setting C | |||||||||
| Hawkes-POT (ETAS) | 0.0631 | 0.2191 | 1.3713 | 4.2724 | 0.6793 | −3.0999 | 0.8702 | −0.1139 | −459.20 |
| Hawkes-POT (exp.) | 0.0686 | 0.0641 | 0.3523 | 4.2263 | −3.0999 | 0.8702 | −0.1139 | −459.80 | |
| Setting A | |||||||||
| SEPOT (ETAS) | 0.0179 | 0.0895 | 0.0769 | 0.9464 | 0.4790 | 0.4468 | 0.4588 | −2.0036 | −746.99 |
| SEPOT (exp.) | 0.0042 | 0.9184 | 1.0045 | 1.3580 | 0.1622 | 0.3504 | −0.6942 | −337.26 | |
| Setting B | |||||||||
| SEPOT (ETAS) | 0.0062 | 0.7576 | 0.2879 | 2.0363 | 1.6669 | 0.1032 | 0.1784 | −0.5555 | −256.88 |
| SEPOT (exp.) | 0.0065 | 0.8785 | 0.9632 | 2.0715 | 0.1014 | 0.2057 | −0.5494 | −254.48 | |
| Setting C | |||||||||
| SEPOT (ETAS) | 0.0677 | 0.2445 | 0.0441 | 0.7526 | 0.4411 | 0.4411 | 0.0442 | −2.1149 | −959.58 |
| SEPOT (exp.) | 0.0688 | 0.0629 | 0.3583 | 4.8278 | 0.0461 | 0.0015 | −0.1118 | −460.01 | |
Publisher’s Note: MDPI stays neutral with regard to jurisdictional claims in published maps and institutional affiliations. |
© 2021 by the authors. Licensee MDPI, Basel, Switzerland. This article is an open access article distributed under the terms and conditions of the Creative Commons Attribution (CC BY) license (https://creativecommons.org/licenses/by/4.0/).
Share and Cite
Dissanayake, P.; Flock, T.; Meier, J.; Sibbertsen, P. Modelling Short- and Long-Term Dependencies of Clustered High-Threshold Exceedances in Significant Wave Heights. Mathematics 2021, 9, 2817. https://doi.org/10.3390/math9212817
Dissanayake P, Flock T, Meier J, Sibbertsen P. Modelling Short- and Long-Term Dependencies of Clustered High-Threshold Exceedances in Significant Wave Heights. Mathematics. 2021; 9(21):2817. https://doi.org/10.3390/math9212817
Chicago/Turabian StyleDissanayake, Pushpa, Teresa Flock, Johanna Meier, and Philipp Sibbertsen. 2021. "Modelling Short- and Long-Term Dependencies of Clustered High-Threshold Exceedances in Significant Wave Heights" Mathematics 9, no. 21: 2817. https://doi.org/10.3390/math9212817
APA StyleDissanayake, P., Flock, T., Meier, J., & Sibbertsen, P. (2021). Modelling Short- and Long-Term Dependencies of Clustered High-Threshold Exceedances in Significant Wave Heights. Mathematics, 9(21), 2817. https://doi.org/10.3390/math9212817

