Packing Three Cubes in D-Dimensional Space
Abstract
1. Introduction
2. Main Results
- 1.
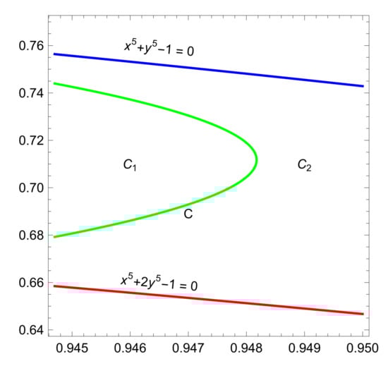
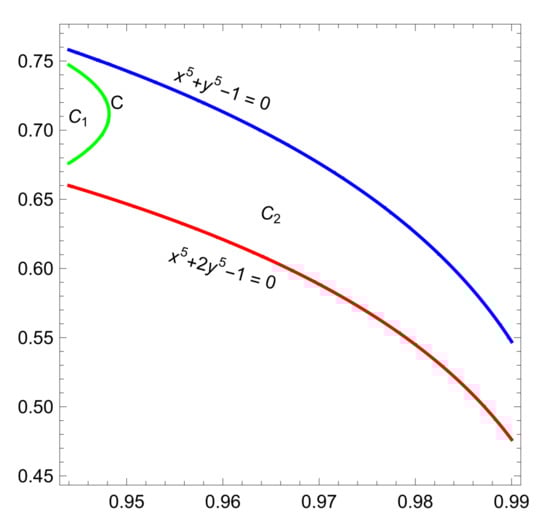
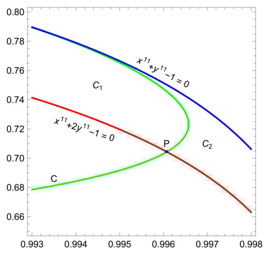
- We show, that there are only two important packing configurations. Their volumes are and , see Figure 1. Firstly, we need to find , for each . The maximum from is the final result, we denote it ;
- 2.
- Cubes with sides , , and have . We prove that this volume is sufficient for packing any three cubes with a total volume of 1 in dimension 5;
- 3.
- We obtain an estimation of the side size of the largest cube: ;
- 4.
- Using and , we obtain constraints and ;
- 5.
- 6.
- We clarify:
- (a)
- holds for . Therefore, , ;
- (b)
- holds for . Therefore, , ;
- 7.
- We show that the asked maximum is on curve C;
- (a)
- We use critical points for region ;
- (b)
- We were unable to use critical points on the whole , so we gradually numerically exclude subregions. We start with comparison of maximum of subregions and 1.8 (packing with exists).
3. Conclusions
Author Contributions
Funding
Institutional Review Board Statement
Informed Consent Statement
Data Availability Statement
Conflicts of Interest
References
- Moser, L. Poorly Formulated Unsolved Problems of Combinatorial Geometry, Mimeographed List. 1966. Available online: https://www.google.com/url?sa=t&rct=j&q=&esrc=s&source=web&cd=&ved=2ahUKEwjNi_6E2MvyAhVQ82EKHXwkDswQFnoECAgQAQ&url=https%3A%2F%2Farxiv.org%2Fpdf%2F2104.09324&usg=AOvVaw04NiNvduVgpLb0NhXT63Zw (accessed on 8 July 2021).
- Brass, P.; Moser, W.O.J.; Pach, J. Research Problems in Discrete Geometry; Springer: New York, NY, USA, 2005. [Google Scholar]
- Croft, H.T.; Falconer, K.J.; Guy, R.K. Unsolved Problems in Geometry; Springer: New York, NY, USA, 1991. [Google Scholar]
- Moon, J.W.; Moser, L. Some packing and covering theorems. Colloq. Math. 1967, 17, 103–110. [Google Scholar] [CrossRef]
- Moser, W. Problems, problems, problems. Discret. Appl. Math. 1991, 31, 201–225. [Google Scholar] [CrossRef][Green Version]
- Moser, W.; Pach, J. Research Problems in Discrete Geometry; McGill University: Montreal, QC, Canada, 1994. [Google Scholar]
- Kleitman, D.J.; Krieger, M.M. An optimal bound for two dimensional bin packing. In Proceedings of the 16th Annual Symposium on Foundations of Computer Science, Berkeley, CA, USA, 13–15 October 1975; pp. 163–168. [Google Scholar]
- Novotný, P. A note on a packing of squares. Stud. Univ. Transp. Commun. Žilina Math.-Phys. Ser. 1995, 10, 35–39. [Google Scholar]
- Novotný, P. On packing of four and five squares into a rectangle. Note Mat. 1999, 19, 199–206. [Google Scholar]
- Novotný, P. Využitie počítača pri riešení ukladacieho problému. In Proceedings of the Symposium on Computational Geometry, Kočovce, Slovak Republic, 9–11 October 2002; pp. 60–62. (In Slovak). [Google Scholar]
- Novotný, P. On packing of squares into a rectangle. Arch. Math. 1996, 32, 75–83. [Google Scholar]
- Hougardy, S. On packing squares into a rectangle. Comput. Geom. 2011, 44, 456–463. [Google Scholar] [CrossRef]
- Meir, A.; Moser, L. On packing of squares and cubes. J. Comb. Theory 1968, 5, 126–134. [Google Scholar] [CrossRef][Green Version]
- Novotný, P. Ukladanie kociek do kvádra. In Proceedings of the Symposium on Computational Geometry, Kočovce, Slovak Republic, 19–21 October 2011; pp. 100–103. (In Slovak). [Google Scholar]
- Novotný, P. Pakovanie troch kociek. In Proceedings of the Symposium on Computational Geometry, Kočovce, Slovak Republic, 27–29 September 2006; pp. 117–119. (In Slovak). [Google Scholar]
- Novotný, P. Najhoršie pakovateľné štyri kocky. In Proceedings of the Symposium on Computational Geometry, Kočovce, Slovak Republic, 24–26 October 2007; pp. 78–81. (In Slovak). [Google Scholar]
- Bálint, V.; Adamko, P. Minimalizácia objemu kvádra pre uloženie troch kociek v dimenzii 4. Slov. Pre Geom. Graf. 2015, 12, 5–16. (In Slovak) [Google Scholar]
- Bálint, V.; Adamko, P. Minimization of the parallelepiped for packing of three cubes in dimension 6. In Proceedings of the Aplimat: 15th Conference on Applied Mathematics, Bratislava, Slovak Republic, 2–4 February 2016; pp. 44–55. [Google Scholar]
- Sedliačková, Z. Packing Three Cubes in 8-Dimensional Space. J. Geom. Graph. 2018, 22, 217–223. [Google Scholar]
- Adamko, P.; Bálint, V. Universal asymptotical results on packing of cubes. Stud. Univ. Žilina Math. Ser. 2016, 28, 1–4. [Google Scholar]







Publisher’s Note: MDPI stays neutral with regard to jurisdictional claims in published maps and institutional affiliations. |
© 2021 by the authors. Licensee MDPI, Basel, Switzerland. This article is an open access article distributed under the terms and conditions of the Creative Commons Attribution (CC BY) license (https://creativecommons.org/licenses/by/4.0/).
Share and Cite
Sedliačková, Z.; Adamko, P. Packing Three Cubes in D-Dimensional Space. Mathematics 2021, 9, 2046. https://doi.org/10.3390/math9172046
Sedliačková Z, Adamko P. Packing Three Cubes in D-Dimensional Space. Mathematics. 2021; 9(17):2046. https://doi.org/10.3390/math9172046
Chicago/Turabian StyleSedliačková, Zuzana, and Peter Adamko. 2021. "Packing Three Cubes in D-Dimensional Space" Mathematics 9, no. 17: 2046. https://doi.org/10.3390/math9172046
APA StyleSedliačková, Z., & Adamko, P. (2021). Packing Three Cubes in D-Dimensional Space. Mathematics, 9(17), 2046. https://doi.org/10.3390/math9172046

