A Two-Dimensional Thermoelasticity Solution for Bimodular Material Beams under the Combination Action of Thermal and Mechanical Loads
Abstract
1. Introduction
2. Mechanical Model Based on Neutral Layer
3. Displacement Governing Equation
4. Composition of Solution
5. Obtainment of Solution
5.1. Special Solution
5.2. Supplement Solution and Superposition with Special Solution
6. Results and Discussions
6.1. A Computational Example
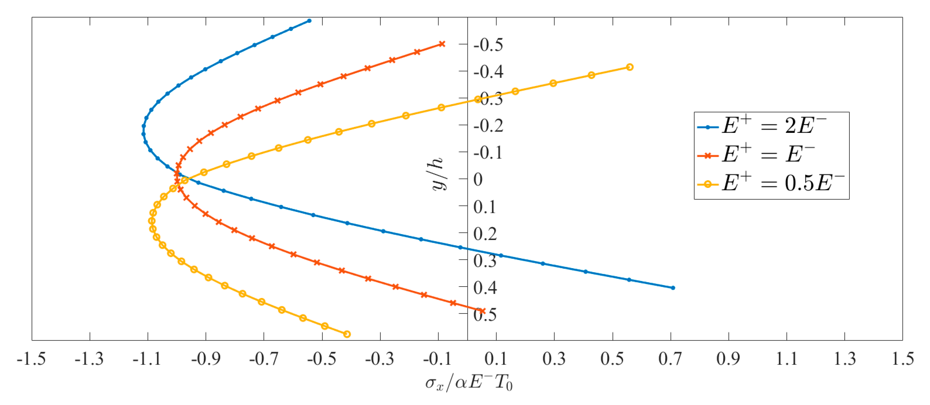
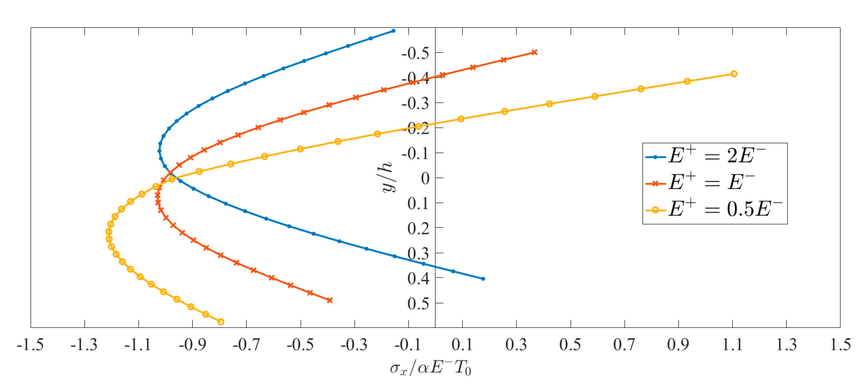
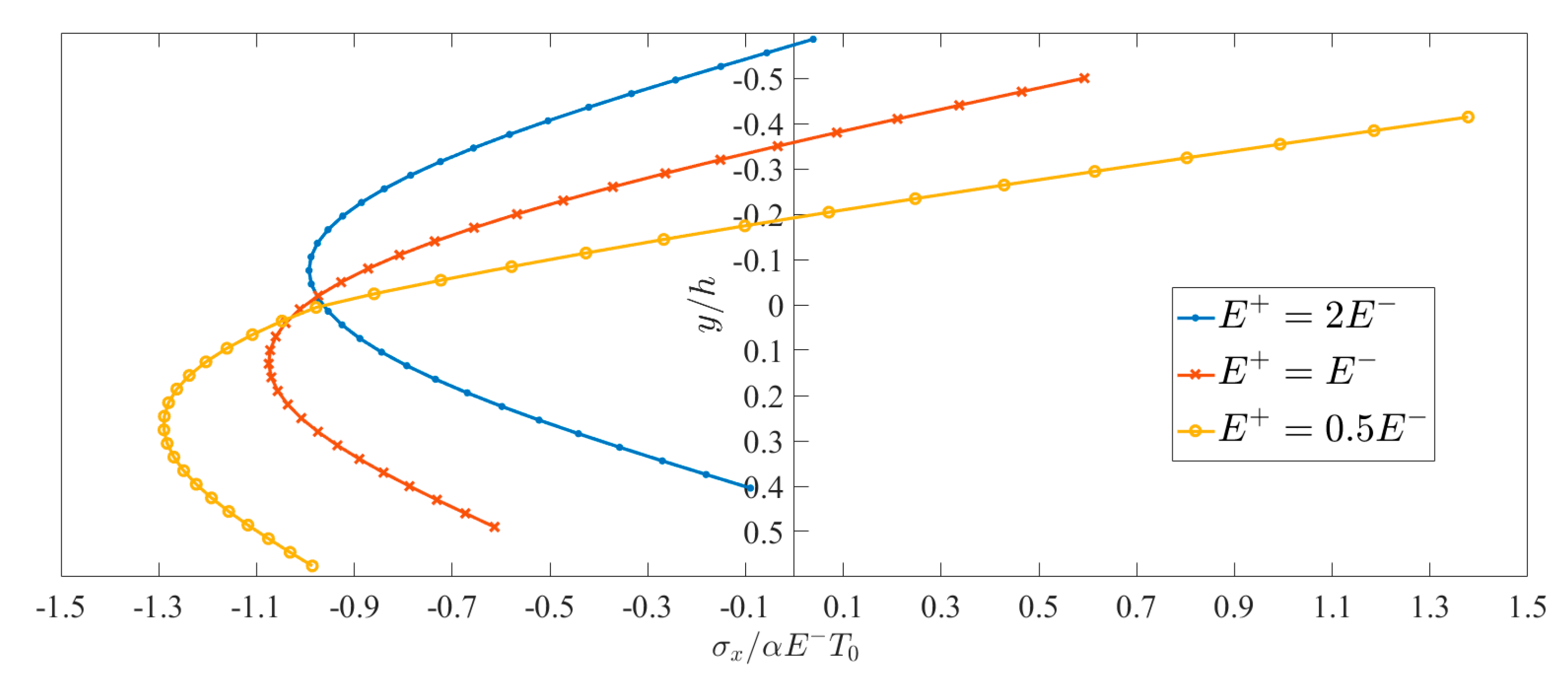
6.2. Bimodular Effect on Thermoelasticity Solution
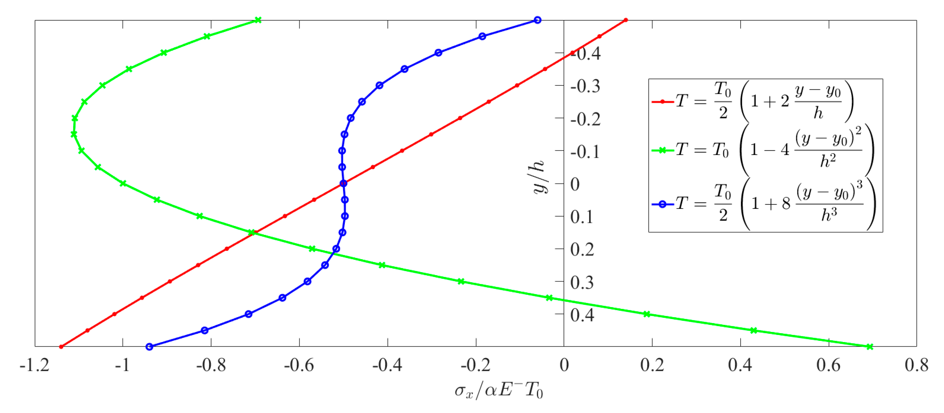
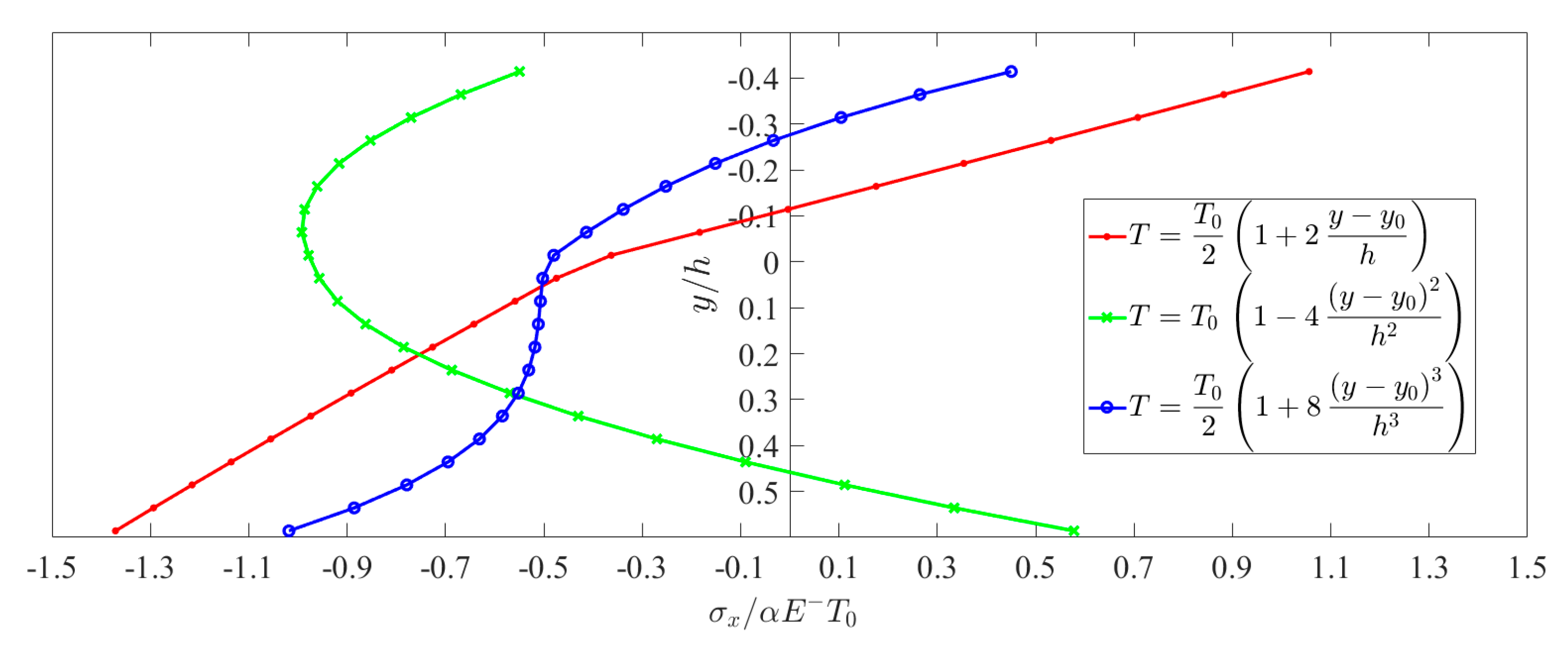
6.3. Temperature Effect on Thermoelasticity Solution
7. Concluding Remarks
Author Contributions
Funding
Institutional Review Board Statement
Informed Consent Statement
Data Availability Statement
Conflicts of Interest
References
- Timoshenko, S.P.; Goodier, J.N. Theory of Elasticity, 3rd ed.; McGraw Hill: New York, NY, USA, 1970. [Google Scholar]
- Barak, M.M.; Currey, J.D.; Weiner, S.; Shahar, R. Are tensile and compressive Young’s moduli of compact bone different? J. Mech. Behav. Biomed. Mater. 2009, 2, 51–60. [Google Scholar] [CrossRef] [PubMed]
- Destrade, M.; Gilchrist, M.D.; Motherway, J.A.; Murphy, J.G. Bimodular rubber buckles early in bending. Mech. Mater. 2010, 42, 469–476. [Google Scholar] [CrossRef]
- Jones, R.M. Stress-strain relations for materials with different moduli in tension and compression. AIAA J. 1977, 15, 16–23. [Google Scholar] [CrossRef]
- Bert, C.W. Models for Fibrous Composites with Different Properties in Tension and Compression. J. Eng. Mater. Technol. 1977, 99, 344–349. [Google Scholar] [CrossRef]
- Bruno, D.; Lato, S.; Sacco, E. Nonlinear analysis of bimodular composite plates under compression. Comput. Mech. 1994, 14, 28–37. [Google Scholar] [CrossRef]
- Tseng, Y.P.; Lee, C.T. Bending analysis of bimodular laminates using a higher-order finite strip method. Compos. Struct. 1995, 30, 341–350. [Google Scholar] [CrossRef]
- Zinno, R.; Greco, F. Damage evolution in bimodular laminated composites under cyclic loading. Compos. Struct. 2001, 53, 381–402. [Google Scholar] [CrossRef]
- Khan, A.H.; Patel, B.P. Nonlinear periodic response of bimodular laminated composite annular sector plates. Compos. Part B Eng. 2019, 169, 96–108. [Google Scholar] [CrossRef]
- Ambartsumyan, S.A. Elasticity Theory of Different Moduli (Wu RF and Zhang YZ Trans.); China Railway Publishing House: Beijing, China, 1986. [Google Scholar]
- Wen-Juan, Y.; Zhi-ming, Y. Analytical solution for bending beam subject to lateral force with different modulus. Appl. Math. Mech. 2004, 25, 1107–1117. [Google Scholar] [CrossRef]
- He, X.T.; Chen, S.L.; Sun, J.Y. Applying the equivalent section method to solve beam subjected lateral force and bending-compression column with different moduli. Int. J. Mech. Sci. 2007, 49, 919–924. [Google Scholar] [CrossRef]
- He, X.T.; Sun, J.Y.; Wang, Z.X.; Chen, Q.; Zheng, Z.L. General perturbation solution of large-deflection circular plate with different moduli in tension and compression under various edge conditions. Int. J. Non-Linear Mech. 2013, 55, 110–119. [Google Scholar] [CrossRef]
- He, X.T.; Cao, L.; Wang, Y.Z.; Sun, J.Y.; Zheng, Z.L. A biparametric perturbation method for the Föppl-von Kármán equations of bimodular thin plates. J. Math. Anal. Appl. 2017, 455, 1688–1705. [Google Scholar] [CrossRef]
- Zhiming, Y.E.; Wenjuan, C.T.Y. Progresses in elasticity theory with different moduli in tension and compression and related FEM. Mech. Eng. 2004, 26, 9–14. [Google Scholar]
- Sun, J.Y.; Zhu, H.Q.; Qin, S.H.; Yang, D.L.; He, X.T. A review on the research of mechanical problems with different moduli in tension and compression. J. Mech. Sci. Technol. 2010, 24, 1845–1854. [Google Scholar] [CrossRef]
- Du, Z.; Zhang, Y.; Zhang, W.; Guo, X. A new computational framework for materials with different mechanical responses in tension and compression and its applications. Int. J. Solids Struct. 2016, 100, 54–73. [Google Scholar] [CrossRef]
- Gao, J.L.; Yao, W.J.; Liu, J.K. Temperature stress analysis for bi-modulus beam placed on Winkler foundation. Appl. Math. Mech. 2017, 38, 921–934. [Google Scholar] [CrossRef]
- Ma, J.W.; Fang, T.C.; Yao, W.J. Nonlinear large deflection buckling analysis of compression rod with different moduli. Mech. Adv. Mater. Struct. 2019, 26, 539–551. [Google Scholar] [CrossRef]
- Hetnarski, R.B.; Eslami, M.R. Thermal Stresses—Advanced Theory and Applications; Springer: Berlin, Germany, 2019. [Google Scholar]
- Green, A.E.; Lindsay, K.A. Thermoelasticity. J. Elast. 1972, 2, 1–7. [Google Scholar] [CrossRef]
- Green, A.E.; Naghdi, P.M. On Undamped Heat Waves in an Elastic Solid. J. Therm. Stress. 1992, 15, 253–264. [Google Scholar] [CrossRef]
- Choudhuri, S.K.R. On A Thermoelastic Three-Phase-Lag Model. J. Therm. Stress. 2007, 30, 231–238. [Google Scholar] [CrossRef]
- Svanadze, M.; Scalia, A. Mathematical problems in the coupled linear theory of bone poroelasticity. Comput. Math. Appl. 2013, 66, 1554–1566. [Google Scholar] [CrossRef]
- Marin, M.; Craciun, E.M.; Pop, N. Some Results in Green–Lindsay Thermoelasticity of Bodies with Dipolar Structure. Mathematics 2020, 8, 497. [Google Scholar] [CrossRef]
- Abouelregal, A.E.; Marin, M. The Size-Dependent Thermoelastic Vibrations of Nanobeams Subjected to Harmonic Excitation and Rectified Sine Wave Heating. Mathematics 2020, 8, 1128. [Google Scholar] [CrossRef]
- Abouelregal, A.E.; Zenkour, A.M. Thermoelastic problem of an axially moving microbeam subjected to an external transverse excitation. J. Theor. Appl. Mech. 2015, 53, 167. [Google Scholar] [CrossRef]
- Warminska, A.; Manoach, E.; Warminski, J. Vibrations of a Composite Beam under Thermal and Mechanical Loadings. Procedia Eng. 2016, 144, 959–966. [Google Scholar] [CrossRef][Green Version]
- Tao, C.; Fu, Y.M.; Dai, H.L. Nonlinear dynamic analysis of fiber metal laminated beams subjected to moving loads in thermal environment. Compos. Struct. 2016, 140, 410–416. [Google Scholar] [CrossRef]
- He, X.T.; Yang, Z.X.; Li, Y.H.; Li, X.; Sun, J.Y. Application of Multi-Parameter Perturbation Method to Functionally-Graded, Thin, Circular Piezoelectric Plates. Mathematics 2020, 8, 342. [Google Scholar] [CrossRef]
- Jing, H.X.; He, X.T.; Du, D.W.; Peng, D.D.; Sun, J.Y. Vibration Analysis of Piezoelectric Cantilever Beams with Bimodular Functionally-Graded Properties. Appl. Sci. 2020, 10, 5557. [Google Scholar] [CrossRef]
- Daikh, A.A.; Houari, M.S.A.; Karami, B.; Eltaher, M.A.; Dimitri, R.; Tornabene, F. Buckling Analysis of CNTRC Curved Sandwich Nanobeams in Thermal Environment. Appl. Sci. 2021, 11, 3250. [Google Scholar] [CrossRef]












| Bimodular Cases | Tensile Modulus | Compressive Modulus | |||
|---|---|---|---|---|---|
| 0.4142 | 0.5858 | −0.0858 | |||
| 0.5 | 0.5 | 0 | |||
| 0.5858 | 0.4142 | 0.0858 |
| Bimodular Cases | Linear | Square | Cubic | ||||||
|---|---|---|---|---|---|---|---|---|---|
| Top Stress | Bottom Stress | Amplit. Value 1 | Max Tens. Stress | Max Compr. Stress | Amplit. Value | Top Stress | Bottom Stress | Amplit. Value | |
| −0.43 | −0.71 | 0.28 | 0.96 | −1.25 | 2.21 | −0.42 | −0.83 | 0.41 | |
| 0.14 | −1.14 | 1.28 | 0.69 | −1.11 | 1.80 | −0.06 | −0.94 | 0.88 | |
| 1.06 | −1.37 | 2.43 | 0.58 | −1.00 | 1.58 | 0.45 | −1.02 | 1.47 | |
Publisher’s Note: MDPI stays neutral with regard to jurisdictional claims in published maps and institutional affiliations. |
© 2021 by the authors. Licensee MDPI, Basel, Switzerland. This article is an open access article distributed under the terms and conditions of the Creative Commons Attribution (CC BY) license (https://creativecommons.org/licenses/by/4.0/).
Share and Cite
Wen, S.-R.; He, X.-T.; Chang, H.; Sun, J.-Y. A Two-Dimensional Thermoelasticity Solution for Bimodular Material Beams under the Combination Action of Thermal and Mechanical Loads. Mathematics 2021, 9, 1556. https://doi.org/10.3390/math9131556
Wen S-R, He X-T, Chang H, Sun J-Y. A Two-Dimensional Thermoelasticity Solution for Bimodular Material Beams under the Combination Action of Thermal and Mechanical Loads. Mathematics. 2021; 9(13):1556. https://doi.org/10.3390/math9131556
Chicago/Turabian StyleWen, Si-Rui, Xiao-Ting He, Hao Chang, and Jun-Yi Sun. 2021. "A Two-Dimensional Thermoelasticity Solution for Bimodular Material Beams under the Combination Action of Thermal and Mechanical Loads" Mathematics 9, no. 13: 1556. https://doi.org/10.3390/math9131556
APA StyleWen, S.-R., He, X.-T., Chang, H., & Sun, J.-Y. (2021). A Two-Dimensional Thermoelasticity Solution for Bimodular Material Beams under the Combination Action of Thermal and Mechanical Loads. Mathematics, 9(13), 1556. https://doi.org/10.3390/math9131556

