Stochastic Memristive Quaternion-Valued Neural Networks with Time Delays: An Analysis on Mean Square Exponential Input-to-State Stability
Abstract
1. Introduction
2. Mathematical Fundamentals and Problem Formulation
2.1. Mathematical Notations
2.2. Quaternion Algebra
2.3. Problem Formation
3. Main Results
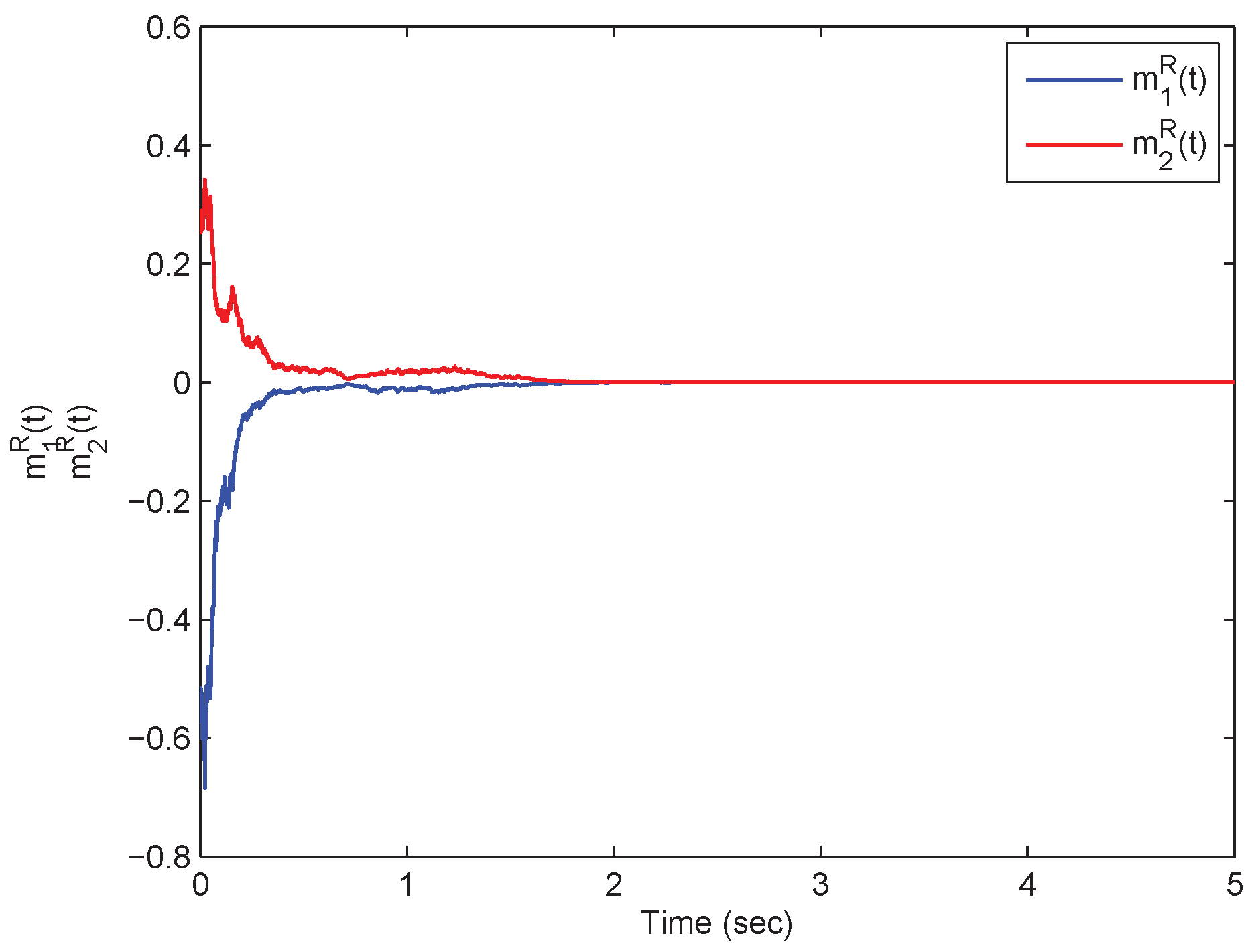
4. Illustrative Examples
5. Summary
Author Contributions
Funding
Acknowledgments
Conflicts of Interest
References
- Chua, L. Memristor: The missing circuit element. IEEE Trans. Circuits Theory 1971, 18, 507–519. [Google Scholar] [CrossRef]
- Strukov, D.; Snider, G.; Stewart, D.; Williams, R. The missing memristor found. Nature 2008, 453, 80–83. [Google Scholar] [CrossRef] [PubMed]
- Tour, J.; He, T. The fourth element. Nature 2008, 453, 42–43. [Google Scholar] [CrossRef] [PubMed]
- Adhikari, S.; Yang, C.; Kim, H.; Chua, L. Memristor bridge synapse-based neural network and its learning. IEEE Trans. Neural Netw. Learn. Syst. 2012, 23, 1426–1435. [Google Scholar] [CrossRef] [PubMed]
- Li, T.; Duan, S.; Liu, J.; Wang, L.; Huang, T. A spintronic memristor-based neural network with radial basis function for robotic manipulator control implementation. IEEE Trans. Syst. Man Cybern. Syst. 2016, 46, 582–588. [Google Scholar] [CrossRef]
- Duan, S.; Hu, X.; Dong, Z.; Wang, L.; Mazumder, P. Memristor-based cellular nonlinear/neural network: Design, analysis and applications. IEEE Trans. Neural Netw. Learn. Syst. 2015, 26, 1202–1213. [Google Scholar] [CrossRef] [PubMed]
- Zhang, Z.; Liu, X.; Zhou, D.; Lin, C.; Chen, J.; Wang, H. Finite-time stabilizability and instabilizability for complex-valued memristive neural networks with time delays. IEEE Trans. Syst. Man Cybern. Syst. 2018, 48, 2371–2382. [Google Scholar] [CrossRef]
- Liu, D.; Zhu, S.; Chang, W. Global exponential stability of stochastic memristor-based complex-valued neural networks with time delays. Nonlinear Dyn. 2017, 90, 915–934. [Google Scholar] [CrossRef]
- Zhong, K.; Zhu, S.; Yang, Q. Further results for global exponential stability of stochastic memristor-based neural networks with time-varying delays. Int. J. Syst. Sci. 2015, 47, 3573–3580. [Google Scholar] [CrossRef]
- Wu, A.; Zeng, Z. Input-to-state stability of memristive neural system with time delays. Circuits Syst. Signal Process. 2014, 33, 681–698. [Google Scholar] [CrossRef]
- Xiao, J.; Zhong, S. Synchronization and stability of delayed fractional-order memristive quaternion-valued neural networks with parameter uncertainties. Neurocomputing 2019, 363, 321–338. [Google Scholar] [CrossRef]
- Pratap, A.; Raja, R.; Alzabut, J.; Dianavinnarasi, J.; Cao, J.; Rajchakit, G. Finite-time Mittag-Leffler stability of fractional-order quaternion-valued memristive neural networks with impulses. Neural Process. Lett. 2019, 51, 1485–1526. [Google Scholar] [CrossRef]
- Liu, D.; Zhu, S.; Chang, W. Mean square exponential input-to-state stability of stochastic memristive complex-valued neural networks with time varying delay. Int. J. Syst. Sci. 2017, 48, 1–12. [Google Scholar] [CrossRef]
- Kwon, O.M.; Park, J.H. New delay-dependent robust stability criterion for uncertain neural networks with time-varying delays. Appl. Math. Comput. 2008, 205, 417–427. [Google Scholar] [CrossRef]
- Liu, Y.; Lee, S.M.; Kwon, O.M.; Park, J.H. New approach to stability criteria for generalized neural networks with interval time-varying delays. Neurocomputing 2015, 149, 1544–1551. [Google Scholar] [CrossRef]
- Kwon, O.M.; Park, J.H. Exponential stability analysis for uncertain neural networks with interval time-varying delays. Appl. Math. Comput. 2009, 212, 530–541. [Google Scholar] [CrossRef]
- Kwon, O.M.; Park, J.H. Delay-dependent stability for uncertain cellular neural networks with discrete and distribute time-varying delays. J. Franklin Inst. 2008, 345, 766–778. [Google Scholar] [CrossRef]
- Hirose, A. Complex-Valued Neural Networks: Theories and Applications; World Scientific: Singapore, 2003. [Google Scholar]
- Nitta, T. Solving the XOR problem and the detection of symmetry using a single complex-valued neuron. Neural Netw. 2003, 16, 1101–1105. [Google Scholar] [CrossRef]
- Goh, S.L.; Chen, M.; Popovic, D.H.; Aihara, K.; Obradovic, D.; Mandic, D.P. Complex-valued forecasting of wind profile. Renew. Energy 2006, 31, 1733–1750. [Google Scholar] [CrossRef]
- Samidurai, R.; Sriraman, R.; Cao, J.; Tu, Z. Effects of leakage delay on global asymptotic stability of complex-valued neural networks with interval time-varying delays via new complex-valued Jensen’s inequality. Int. J. Adapt. Control Signal Process. 2018, 32, 1294–1312. [Google Scholar] [CrossRef]
- Guo, R.; Zhang, Z.; Liu, X.; Lin, C. Existence, uniqueness, and exponential stability analysis for complex-valued memristor-based BAM neural networks with time delays. Appl. Math. Comput. 2017, 311, 100–117. [Google Scholar] [CrossRef]
- Zhang, Z.; Liu, X.; Guo, R.; Lin, C. Finite-time stability for delayed complex-valued BAM neural networks. Neural Process. Lett. 2018, 48, 179–193. [Google Scholar] [CrossRef]
- Pratap, A.; Raja, R.; Cao, J.; Rajchakit, G.; Lim, C.P. Global robust synchronization of fractional order complex-valued neural networks with mixed time-varying delays and impulses. Int. J. Control Autom. Syst. 2019, 17, 509–520. [Google Scholar]
- Kusamichi, H.; Isokawa, T.; Matsui, N.; Ogawa, Y.; Maeda, K. A new scheme for color night vision by quaternion neural network. In Proceedings of the ICARA, Palmerston North, New Zealand, 13–15 December 2004; pp. 101–106. [Google Scholar]
- Isokawa, T.; Nishimura, H.; Kamiura, N.; Matsui, N. Associative memory in quaternionic Hopfield neural network. Int. J. Neural Syst. 2008, 18, 135–145. [Google Scholar] [CrossRef] [PubMed]
- Matsui, N.; Isokawa, T.; Kusamichi, H.; Peper, F.; Nishimura, H. Quaternion neural network with geometrical operators. J. Intell. Fuzzy Syst. 2004, 15, 149–164. [Google Scholar]
- Mandic, D.P.; Jahanchahi, C.; Took, C.C. A quaternion gradient operator and its applications. IEEE Signal Proc. Lett. 2011, 18, 47–50. [Google Scholar] [CrossRef]
- Li, H.L.; Jiang, H.; Cao, J. Global synchronization of fractional-order quaternion-valued neural networks with leakage and discrete delays. Neurocomputing 2019, 385, 211–219. [Google Scholar] [CrossRef]
- Tu, Z.; Zhao, Y.; Ding, N.; Feng, Y.; Zhang, W. Stability analysis of quaternion-valued neural networks with both discrete and distributed delays. Appl. Math. Comput. 2019, 343, 342–353. [Google Scholar] [CrossRef]
- You, X.; Song, Q.; Liang, J.; Liu, Y.; Alsaadi, F.E. Global μ-stability of quaternion-valued neural networks with mixed time-varying delays. Neurocomputing 2018, 290, 12–25. [Google Scholar] [CrossRef]
- Yang, X.; Li, C.; Song, Q.; Chen, J.; Huang, J. Global Mittag-Leffler stability and synchronization analysis of fractional-order quaternion-valued neural networks with linear threshold neurons. Neural Netw. 2018, 105, 88–103. [Google Scholar] [CrossRef]
- Qi, X.; Bao, H.; Cao, J. Exponential input-to-state stability of quaternion-valued neural networks with time delay. Appl. Math. Comput. 2019, 358, 382–393. [Google Scholar] [CrossRef]
- Tu, Z.; Yang, X.; Wang, L.; Ding, N. Stability and stabilization of quaternion-valued neural networks with uncertain time-delayed impulses: Direct quaternion method. Physica A Stat. Mech. Appl. 2019, 535, 122358. [Google Scholar] [CrossRef]
- Xiao, J.; Wen, S.; Yang, X.; Zhong, S. New approach to global Mittag-Leffler synchronization problem of fractional-order quaternion-valued BAM neural networks based on a new inequality. Neural Netw. 2020, 122, 320–337. [Google Scholar] [CrossRef] [PubMed]
- Li, B.; Xu, D. Mean square asymptotic behavior of stochastic neural networks with infinitely distributed delays. Neurocomputing 2009, 72, 3311–3317. [Google Scholar] [CrossRef]
- Xu, X.; Zhang, J.; Zhang, W. Mean square exponential stability of stochastic neural networks with reaction-diffusion terms and delays. Appl. Math. Lett. 2011, 24, 5–11. [Google Scholar] [CrossRef]
- Zhou, Q.; Wan, L. Exponential stability of stochastic delayed Hopfield neural networks. Appl. Math. Comput. 2008, 199, 84–89. [Google Scholar] [CrossRef]
- Zhu, Q.; Cao, J. Mean-square exponential input-to-state stability of stochastic delayed neural networks. Neurocomputing 2014, 131, 157–163. [Google Scholar] [CrossRef]
- Shu, Y.J.; Liu, X.G.; Wang, F.X.; Qiu, S.B. Exponential input-to-state stability of stochastic neural networks with mixed delays. Int. J. Mach. Learn. Cyber. 2018, 9, 807–819. [Google Scholar] [CrossRef]
- Song, Y.; Sun, W.; Jiang, F. Mean-square exponential input-to-state stability for neutral stochastic neural networks with mixed delays. Neurocomputing 2016, 205, 195–203. [Google Scholar] [CrossRef]








© 2020 by the authors. Licensee MDPI, Basel, Switzerland. This article is an open access article distributed under the terms and conditions of the Creative Commons Attribution (CC BY) license (http://creativecommons.org/licenses/by/4.0/).
Share and Cite
Humphries, U.; Rajchakit, G.; Kaewmesri, P.; Chanthorn, P.; Sriraman, R.; Samidurai, R.; Lim, C.P. Stochastic Memristive Quaternion-Valued Neural Networks with Time Delays: An Analysis on Mean Square Exponential Input-to-State Stability. Mathematics 2020, 8, 815. https://doi.org/10.3390/math8050815
Humphries U, Rajchakit G, Kaewmesri P, Chanthorn P, Sriraman R, Samidurai R, Lim CP. Stochastic Memristive Quaternion-Valued Neural Networks with Time Delays: An Analysis on Mean Square Exponential Input-to-State Stability. Mathematics. 2020; 8(5):815. https://doi.org/10.3390/math8050815
Chicago/Turabian StyleHumphries, Usa, Grienggrai Rajchakit, Pramet Kaewmesri, Pharunyou Chanthorn, Ramalingam Sriraman, Rajendran Samidurai, and Chee Peng Lim. 2020. "Stochastic Memristive Quaternion-Valued Neural Networks with Time Delays: An Analysis on Mean Square Exponential Input-to-State Stability" Mathematics 8, no. 5: 815. https://doi.org/10.3390/math8050815
APA StyleHumphries, U., Rajchakit, G., Kaewmesri, P., Chanthorn, P., Sriraman, R., Samidurai, R., & Lim, C. P. (2020). Stochastic Memristive Quaternion-Valued Neural Networks with Time Delays: An Analysis on Mean Square Exponential Input-to-State Stability. Mathematics, 8(5), 815. https://doi.org/10.3390/math8050815

