A New Hybrid BA_ABC Algorithm for Global Optimization Problems
Abstract
1. Introduction
2. Materials and Methods
2.1. Notations and Nomenclatures
2.2. Bat Algorithm
- Each bat uses echolocation to measure how far the prey is.
- Bats fly with speed vi to location xi at a fixed frequency range [fmin,fmax], emitting signals at various wavelengths (λ) and loudnesses (A) to detect their prey.
- When bats calculate the distance to their prey, they can adjust the pulse emission rate (r) along with the wavelength of the signal they send.
- Despite the variation in loudness, it is assumed that value A decreases from A0 with a large value to a fixed minimum value (Amin).
2.3. Artificial Bee Colony Algorithm
2.3.1. Beginning
2.3.2. The Employed Bee Phase
2.3.3. The Onlooker Bee Phase
2.3.4. The Scout Bee Phase
2.4. The Proposed Hybrid Algorithm (BA_ABC)
| Algorithm 1: The pseudo-code of BA_ABC |
| Input parameters: Population size (N), general number of cycles (gc), maximum iteration (max_i), dimension (D) |
| Output: Result of x* |
| 1. Determine population size (N), general number of cycles (gc), maximum iteration (max_i), dimension (D) |
| 2. Set target function f(x). |
| 3. Construct the initial population of D-dimensional N individuals. x=(x1,x2,…,xN)D |
| 4. Define the parameters of BA and ABC algorithms and bring them to the initial state. |
| 5. Find the best value of the population x* |
| 6. Set the sc value. |
| 7. Determine the mnc value according to Equation (12). |
| 8. G = 1 |
| 9. While (G ≤ gc) |
| 10. ba_ni = 0, bee_ni = 0, ba_sn = 0, bee_sn = 0 |
| 11. For t = 1: max_i |
| 12. If (ba_sn < mnc and bee_sn < mnc) |
| 13. For i = 1:N/2 |
| 14. Generate a new solution xnew according to BA. |
| 15. If (f(xnew) < f(x*)) |
| 16. Accept the new solution. |
| 17. Update x* |
| 18. ba_ni = ba_ni + 1; |
| 19. End if |
| 20. End For |
| 21. For i = (N/2 + 1):N |
| 22. Generate a new solution xnew according to ABC. |
| 23. If (f(xnew) < f(x*)) |
| 24. Accept the new solution. |
| 25. Update x* |
| 26. bee_ni = bee_ni + 1; |
| 27. End if |
| 28. End For |
| 29. If (mod (t, sc) = = 0) |
| 30. If (ba_ni ≥ bee_ni) |
| 31. Write the individuals as many as ac with the best fitness values in BA in the place of the same number of individuals with the worst fitness values in the ABC population. |
| 32. ba_sn = ba_sn + 1; |
| 33. Else |
| 34. Write the individuals as many as ac with the best fitness values in ABC in the place of the same number of individuals with the worst fitness values in the BA population. |
| 35. bee_sn = bee_sn + 1; |
| 36. End if |
| 37. bee_ni = 0; ba_ni = 0; |
| 38. End if |
| 39. Else If (ba_sn ≥ mnc) |
| 40. Find the remaining number of iterations for BA (t_BA) |
| 41. For t1 = 1:t_BA |
| 42. For i = 1: N |
| 43. Generate a new solution xnew according to BA. |
| 44. If (f(xnew) < f(x*)) |
| 45. Accept the new solution. |
| 46. Update x* |
| 47. End if |
| 48. End For |
| 49. End For |
| 50. Break; |
| 51. Else |
| 52. Find the remaining number of iterations for ABC (t_ABC) |
| 53. For t2 = 1:t_ABC |
| 54. For i = 1:N |
| 55. Generate a new solution xnew according to ABC. |
| 56. If (f(xnew) < f(x*)) |
| 57. Accept the new solution. |
| 58. Update x* |
| 59. End if |
| 60. End For |
| 61. End For |
| 62. Break; |
| 63. End if |
| 64. End For |
| 65. G = G + 1 |
| 66. End While |
| 67. Display the results |
3. Experimental Studies
3.1. Performance of BA_ABC on Classic Benchmark Test Functions
3.2. Performance of BA_ABC on CEC2005 Test Functions
3.3. Performance of BA_ABC on CEC2010 Large-Scale Test Functions
3.4. Performance of BA_ABC in Classical Engineering Design Problems
3.4.1. Pressure Vessel Design Problem
3.4.2. Tension/Compression Spring Design Problem
3.4.3. Gear Train Design Problem
Minimize f(X) = ((1/6931) − (x2x3/x1x4))2
12 ≤ x1,x2,x3,x4 ≤ 60
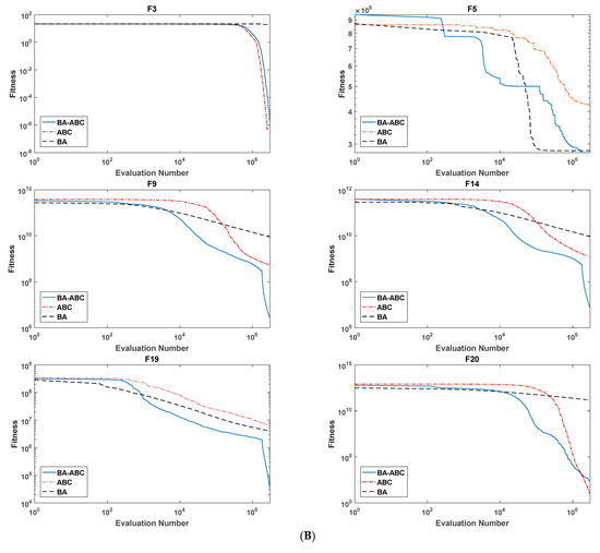
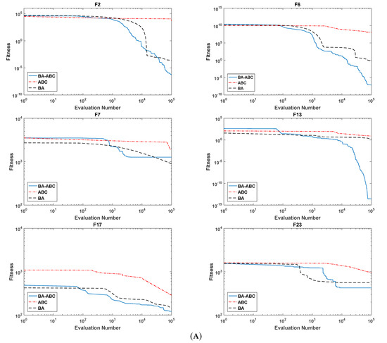
4. Investigation of Contribution of BA and ABC Algorithms to the Solution of BA_ABC Algorithm
5. Algorithm Complexity
for i = 1: 1000000
x = x + x; x = x/2; x = x* x; x = sqrt(x); x = log(x);
x = exp(x); x = x/(x + 2);
end
6. Results and Discussion
7. Conclusions and Future Work
Author Contributions
Funding
Conflicts of Interest
References
- Karaboga, D. Yapay Zekâ Optimizasyonu Algoritmaları; Atlas Yayın Dağıtım: İstanbul, Turkey, 2004. [Google Scholar]
- Gao, W.-F.; Liu, S.-Y. A modified artificial bee colony algorithm. Comput. Oper. Res. 2012, 39, 687–697. [Google Scholar] [CrossRef]
- Zhu, G.; Kwong, S. Gbest-guided artificial bee colony algorithm for numerical function optimization. Appl. Math. Comput. 2010, 217, 3166–3173. [Google Scholar] [CrossRef]
- Yang, X.; Allan, R.J. Web-based Virtual Research Environments. Nat. Artif. Reason. 2009, 284, 65–80. [Google Scholar] [CrossRef]
- Cai, X.; Gao, X.Z.; Xue, Y. Improved bat algorithm with optimal forage strategy and random disturbance strategy. Int. J. Bio-Inspired Comput. 2016, 8, 205. [Google Scholar] [CrossRef]
- Meng, X.-B.; Gao, X.; Liu, Y.; Zhang, H. A novel bat algorithm with habitat selection and Doppler effect in echoes for optimization. Expert Syst. Appl. 2015, 42, 6350–6364. [Google Scholar] [CrossRef]
- Cai, X.; Wang, H.; Cui, Z.; Cai, J.; Xue, Y.; Wang, L. Bat algorithm with triangle-flipping strategy for numerical optimization. Int. J. Mach. Learn. Cybern. 2017, 9, 199–215. [Google Scholar] [CrossRef]
- Zhu, B.; Zhu, W.; Liu, Z.; Duan, Q.; Cao, L. A Novel Quantum-Behaved Bat Algorithm with Mean Best Position Directed for Numerical Optimization. Comput. Intell. Neurosci. 2016, 2016, 1–17. [Google Scholar] [CrossRef]
- Ghanem, W.A.H.M.; Jantan, A. An enhanced Bat algorithm with mutation operator for numerical optimization problems. Neural Comput. Appl. 2017, 31, 617–651. [Google Scholar] [CrossRef]
- Shan, X.; Cheng, H. Modified bat algorithm based on covariance adaptive evolution for global optimization problems. Soft Comput. 2017, 22, 5215–5230. [Google Scholar] [CrossRef]
- Nawi, N.M.; Rehman, M.Z.; Khan, A.; Chiroma, H.; Herawan, T. A Modified Bat Algorithm Based on Gaussian Distribution for Solving Optimization Problem. J. Comput. Theor. Nanosci. 2016, 13, 706–714. [Google Scholar] [CrossRef]
- Chakri, A.; Khelif, R.; Benouaret, M.; Yang, X.-S. New directional bat algorithm for continuous optimization problems. Expert Syst. Appl. 2017, 69, 159–175. [Google Scholar] [CrossRef]
- Al-Betar, M.A.; Awadallah, M.A. Island bat algorithm for optimization. Expert Syst. Appl. 2018, 107, 126–145. [Google Scholar] [CrossRef]
- Gan, C.; Cao, W.; Wu, M.; Chen, X. A new bat algorithm based on iterative local search and stochastic inertia weight. Expert Syst. Appl. 2018, 104, 202–212. [Google Scholar] [CrossRef]
- Topal, A.O.; Altun, O. A novel meta-heuristic algorithm: Dynamic Virtual Bats Algorithm. Inf. Sci. 2016, 354, 222–235. [Google Scholar] [CrossRef]
- Wang, Y.; Wang, P.; Zhang, J.; Cui, Z.; Cai, X.; Zhang, W.; Chen, J. A Novel Bat Algorithm with Multiple Strategies Coupling for Numerical Optimization. Mathematics 2019, 7, 135. [Google Scholar] [CrossRef]
- Liu, Q.; Wu, L.; Xiao, W.; Wang, F.; Zhang, L. A novel hybrid bat algorithm for solving continuous optimization problems. Appl. Soft Comput. 2018, 73, 67–82. [Google Scholar] [CrossRef]
- Wang, G.-G.; Guo, L. A Novel Hybrid Bat Algorithm with Harmony Search for Global Numerical Optimization. J. Appl. Math. 2013, 2013, 1–21. [Google Scholar] [CrossRef]
- Fister, I.; Fong, S.; Brest, J.; Fister, I. A Novel Hybrid Self-Adaptive Bat Algorithm. Sci. World J. 2014, 2014, 709738. [Google Scholar] [CrossRef] [PubMed]
- Imane, M.; Nadjet, K. Hybrid Bat algorithm for overlapping community detection. IFAC-PapersOnLine 2016, 49, 1454–1459. [Google Scholar] [CrossRef]
- Cincy, W.; Jeba, J. Performance Analysis of Novel Hybrid A-BAT Algorithm in Crowdsourcing Environment. Int. J. Appl. Eng. Res. 2017, 12, 14964–14969. [Google Scholar]
- Chaudhary, R.; Banati, H. Swarm bat algorithm with improved search (SBAIS). Soft Comput. 2018, 23, 11461–11491. [Google Scholar] [CrossRef]
- Rauf, H.T.; Malik, S.; Shoaib, U.; Irfan, M.N.; Lali, M.I. Adaptive inertia weight Bat algorithm with Sugeno-Function fuzzy search. Appl. Soft Comput. 2020, 90, 106159. [Google Scholar] [CrossRef]
- Yildizdan, G.; Baykan, Ö.K. A novel modified bat algorithm hybridizing by differential evolution algorithm. Expert Syst. Appl. 2020, 141, 112949. [Google Scholar] [CrossRef]
- Nguyen, T.-T.; Pan, J.-S.; Dao, T.-K.; Kuo, M.-Y.; Horng, M.-F. Hybrid Bat Algorithm with Artificial Bee Colony. In Advances in Intelligent Systems and Computing; Springer: Berlin, Germany, 2014; Volume II, pp. 45–55. [Google Scholar]
- Al-Betar, M.A.; Awadallah, M.A.; Faris, H.; Yang, X.-S.; Khader, A.T.; AlOmari, O.A. Bat-inspired algorithms with natural selection mechanisms for global optimization. Neurocomputing 2018, 273, 448–465. [Google Scholar] [CrossRef]
- Karaboga, D. An Idea Based on Honey Bee Swarm for Numerical Optimization; Technical Report-TR06; Computer Engineering Department, Engineering Faculty, Erciyes University: Kayseri, Turkey, 2005. [Google Scholar]
- Karaboga, D.; Basturk, B. On the performance of artificial bee colony (ABC) algorithm. Appl. Soft Comput. 2008, 8, 687–697. [Google Scholar] [CrossRef]
- Karaboga, D.; Akay, B. A comparative study of Artificial Bee Colony algorithm. Appl. Math. Comput. 2009, 214, 108–132. [Google Scholar] [CrossRef]
- Yılmaz, S.; Küçüksille, E.U. Improved Bat Algorithm (IBA) on Continuous Optimization Problems. Lect. Notes Softw. Eng. 2013, 1, 279–283. [Google Scholar] [CrossRef]
- Yılmaz, S.; Küçüksille, E.U. A new modification approach on bat algorithm for solving optimization problems. Appl. Soft Comput. 2015, 28, 259–275. [Google Scholar] [CrossRef]
- Arora, U.; Lodhi, E.A.; Saxena, T. PID Parameter Tuning Using Modified BAT Algorithm. J. Autom. Control. Eng. 2016, 4, 347–352. [Google Scholar] [CrossRef]
- Feng, Y.; Teng, G.-F.; Wang, A.-X.; Yao, Y.-M. Chaotic Inertia Weight in Particle Swarm Optimization. In Proceedings of the Second International Conference on Innovative Computing, Information and Control (ICICIC 2007), Kumamoto, Japan, 5–7 September 2007; p. 475. [Google Scholar]
- Suganthan, P.N.; Hansen, N.; Liang, J.J.; Deb, K.; Chen, Y.-P.; Auger, A.; Tiwari, S. Problem definitions and evaluation criteria for the CEC 2005 special session on real-parameter optimization. KanGAL Rep. 2005, 2005005, 2005. [Google Scholar]
- Nanyang Technological University. Available online: https://www3.ntu.edu.sg/home/epnsugan/index_files/CEC10-LSO/CEC10.htm (accessed on 28 September 2020).
- Sheskin, D.J. Handbook of Parametric and Nonparametric Statistical Procedures; CRC Press: Boca Raton, FL, USA, 2020. [Google Scholar]
- García, S.; Molina, D.; Lozano, M.; Herrera, F. A study on the use of non-parametric tests for analyzing the evolutionary algorithms’ behaviour: A case study on the CEC’2005 Special Session on Real Parameter Optimization. J. Heuristics 2008, 15, 617–644. [Google Scholar] [CrossRef]
- Derrac, J.; García, S.; Molina, D.; Herrera, F. A practical tutorial on the use of nonparametric statistical tests as a methodology for comparing evolutionary and swarm intelligence algorithms. Swarm Evol. Comput. 2011, 1, 3–18. [Google Scholar] [CrossRef]
- Ge, H.; Sun, L.; Yang, X. Adaptive hybrid differential evolution with circular sliding window for large scale optimization. In Proceedings of the 2016 12th International Conference on Natural Computation, Fuzzy Systems and Knowledge Discovery (ICNC-FSKD), Changsha, China, 13–15 August 2016; pp. 87–94. [Google Scholar]
- Fang, W.; Zhang, L.; Zhou, J.; Wu, X.; Sun, J. A novel quantum-behaved particle swarm optimization with random selection for large scale optimization. 2017 IEEE Congr. Evol. Comput. (CEC) 2017, 2746–2751. [Google Scholar] [CrossRef]
- Long, W.; Wu, T.; Liang, X.; Xu, S. Solving high-dimensional global optimization problems using an improved sine cosine algorithm. Expert Syst. Appl. 2019, 123, 108–126. [Google Scholar] [CrossRef]
- Yıldız, Y.E.; Topal, A.O. Large scale continuous global optimization based on micro differential evolution with local directional search. Inf. Sci. 2019, 477, 533–544. [Google Scholar] [CrossRef]
- Gardeux, V.; Omran, M.G.H.; Chelouah, R.; Siarry, P.; Glover, F. Adaptive pattern search for large-scale optimization. Appl. Intell. 2017, 35, 1095–1330. [Google Scholar] [CrossRef]
- Sandgren, E. Nonlinear Integer and Discrete Programming in Mechanical Design Optimization. J. Mech. Des. 1990, 112, 223–229. [Google Scholar] [CrossRef]
- Kannan, B.K.; Kramer, S.N. An Augmented Lagrange Multiplier Based Method for Mixed Integer Discrete Continuous Optimization and Its Applications to Mechanical Design. J. Mech. Des. 1994, 116, 405–411. [Google Scholar] [CrossRef]
- Rao, R.V.; Savsani, V.J.; Vakharia, D.P. Teaching–learning-based optimization: A novel method for constrained mechanical design optimization problems. Comput. Des. 2011, 43, 303–315. [Google Scholar] [CrossRef]
- Ben Guedria, N. Improved accelerated PSO algorithm for mechanical engineering optimization problems. Appl. Soft Comput. 2016, 40, 455–467. [Google Scholar] [CrossRef]
- Kohli, M.; Arora, S. Chaotic grey wolf optimization algorithm for constrained optimization problems. J. Comput. Des. Eng. 2017, 5, 458–472. [Google Scholar] [CrossRef]
- Eskandar, H.; Sadollah, A.; Bahreininejad, A.; Hamdi, M. Water cycle algorithm—A novel metaheuristic optimization method for solving constrained engineering optimization problems. Comput. Struct. 2012, 110, 151–166. [Google Scholar] [CrossRef]
- Sadollah, A.; Bahreininejad, A.; Eskandar, H.; Hamdi, M. Mine blast algorithm: A new population based algorithm for solving constrained engineering optimization problems. Appl. Soft Comput. 2013, 13, 2592–2612. [Google Scholar] [CrossRef]
- Garg, H. A hybrid PSO-GA algorithm for constrained optimization problems. Appl. Math. Comput. 2016, 274, 292–305. [Google Scholar] [CrossRef]
- Garg, H. Solving structural engineering design optimization problems using an artificial bee colony algorithm. J. Ind. Manag. Optim. 2014, 10, 777–794. [Google Scholar] [CrossRef]
- Gandomi, A.H.; Yang, X.-S.; Alavi, A.H.; Talatahari, S. Bat algorithm for constrained optimization tasks. Neural Comput. Appl. 2012, 22, 1239–1255. [Google Scholar] [CrossRef]
- Zhang, Z.; Ding, S.; Jia, W. A hybrid optimization algorithm based on cuckoo search and differential evolution for solving constrained engineering problems. Eng. Appl. Artif. Intell. 2019, 85, 254–268. [Google Scholar] [CrossRef]
- Zhang, Y.; Jin, Z.; Chen, Y. Hybrid teaching–learning-based optimization and neural network algorithm for engineering design optimization problems. Knowl.-Based Syst. 2020, 187, 104836. [Google Scholar] [CrossRef]
- Belegundu, A.D.; Arora, J.S. A study of mathematical programmingmethods for structural optimization. Part II: Numerical results. Int. J. Numer. Methods Eng. 1985, 21, 1601–1623. [Google Scholar] [CrossRef]
- Nanyang Technological University. Available online: https://www.ntu.edu.sg/home/epnsugan/index_files/CEC2020/CEC2020-2.htm (accessed on 28 September 2020).
- Calvet, L.; De Armas, J.; Masip, D.; Juan, A.A. Learnheuristics: Hybridizing metaheuristics with machine learning for optimization with dynamic inputs. Open Math. 2017, 15, 261–280. [Google Scholar] [CrossRef]
- Dhaenens, C.; Jourdan, L. Metaheuristics for Big Data; Wiley Online Library: Hoboken, NJ, USA, 2016. [Google Scholar]





| BA Notations | |||
|---|---|---|---|
| N | The number of individuals | The velocity of the ith bat in the previous iteration | |
| t | The iteration number | The current location of the ith bat | |
| vi | The speed of the ith bat | The new location of the ith bat | |
| xi | The location of the ith bat | xold | A solution among the best solutions |
| A | Loudness | x* | Global best value |
| r | Pulse emission rate | ε | A random value in the range [−1,1] |
| A0 | The max value of loudness | α | Constant |
| Amin | The min value of loudness | γ | Constant |
| fi | The frequency of the ith bat | The current loudness of the ith bat | |
| fmin | The min value of frequency | The new loudness of the ith bat | |
| fmax | The max value of frequency | The average of loudness values of all bats | |
| β | A random value in the range [0,1] | The initial value of the pulse emission rate of ith bat | |
| The current velocity of the ith bat | The current pulse emission rate of ith bat | ||
| ABC Notations | |||
| FN | The number of food source | vi,j | The jth parameter value of the new food source |
| D | The number of parameters(dimension) | k | A random value in the range [1, FN] |
| ubj | The upper limit value of the jth parameter | xk,i | A randomly selected food source |
| lbj | The lower limit value of the jth parameter | ϕ | A random value in the range [−1,1] |
| xi | ith food source | fi | The value of the objective function |
| vi | A new food source located around the ith food source | pi | The probability value of the ith food source |
| xi,j | The jth parameter value of the ith food source | fitnessi | The fitness value of the ith food source |
| BA_ABC Notations | |||
| w | The inertia weight coefficient | max_iteration | The number of maximum iteration |
| xnew | A new location located around the bat | f(xnew) | The fitness value of the new location |
| f(x*) | The fitness value of the global best | ||
| BA Nomenclatures | |
|---|---|
| echolocation | It is the biological sonar used by some mammals such as bats, dolphins, and whales. |
| sonar | The system detects the location and condition of an object with sound waves. |
| prey | The optimal solution the bats want to find |
| loudness | The intensity of the bat’s sound when the bat is approaching prey |
| pulse emission rate | The spread rate of sound produced by bats during echolocation |
| global best value | The individual with the best fitness value in the population |
| step | Amount of progress in solution space |
| location | A possible solution for the problem |
| population | Set of possible solutions for the problem |
| ABC Nomenclatures | |
| food source | A possible solution for the problem |
| the amount of nectar | The quality of the solution |
| scout bee | Bees looking for a random food source in the environment |
| employed bee | A bee responsible for a food source and carrying information about that food source to the hive |
| onlooker bee | A bee waiting in the hive and selecting a food source depending on the nectar quality and searching around |
| fitness value | The value of the objective function |
| greedy selection | Selecting the one that is possible and closest to the result |
| BA_ABC Nomenclatures | |
| inertia weight | Coefficient determining the contribution of the previous speed |
| benchmark functions | The function which is used to test the performance of any optimization problem |
| Function | Name | Definition | Domain/Characterisric | f* |
|---|---|---|---|---|
| F1 | Griewangk’s function | [−600, 600]/M | 0 | |
| F2 | Rastrigin’s function | [−15, 15]/M | 0 | |
| F3 | Rosenbrock’s function | [−15, 15]/M | 0 | |
| F4 | Ackley’s function | [−32.768, 32.768]/M | 0 | |
| F5 | Schwefel’s function | [−500, 500]/M | 0 | |
| F6 | Sphere function | [−600, 600]/U | 0 | |
| F7 | Easom’s function | [−2λ, 2λ]/U | −1 | |
| F8 | Michalewicz’s function | [0, λ]/M | * | |
| F9 | Xin-She Yang’s function | [−2λ, 2λ]/M | 0 | |
| F10 | Zakharov’s function | [−5, 10]/U | 0 |
| D = 10 | D = 30 | D = 50 | ||||||||
|---|---|---|---|---|---|---|---|---|---|---|
| Mean | Std | T (+, −, =) | Mean | Std | T (+, −, =) | Mean | Std | T (+, −, =) | ||
| F1 | BA | 2.92 × 101 | 1.25 × 101 | +(25,0,0) | 1.92 × 10−1 | 4.29 × 10−1 | +(25,0,0) | 5.14 × 103 | 6.20 × 103 | +(25,0,0) |
| ABC | 4.70 × 10−3 | 5.19 × 10−3 | −(22,3,0) | 2.83 × 10−14 | 1.33 × 10−13 | +(24,0,1) | 5.34 × 10−14 | 2.58 × 10−13 | +(25,0,0) | |
| BA_ABC | 8.80 × 10−3 | 8.16 × 10−3 | 1.07 × 10−16 | 1.49 × 10−16 | 2.26 × 10−16 | 2.25 × 10−16 | ||||
| F2 | BA | 5.46 × 101 | 1.89 × 101 | +(25,0,0) | 2.00 × 102 | 4.67 × 101 | +(25,0,0) | 3.75 × 102 | 7.69 × 101 | +(25,0,0) |
| ABC | 0 | 0 | =(0,0,25) | 5.68 × 10−14 | 4.02 × 10−14 | =(11,3,11) | 1.57 × 10−12 | 2.60 × 10−12 | +(21,0,4) | |
| BA_ABC | 0 | 0 | 3.87 × 10−14 | 3.92 × 10−14 | 8.87 × 10−14 | 5.46 × 10−14 | ||||
| F3 | BA | 1.12 × 101 | 3.34 × 101 | +(24,1,0) | 3.25 × 101 | 2.75 × 101 | +(25,0,0) | 4.23 × 101 | 3.30 × 100 | +(25,0,0) |
| ABC | 1.58 × 10−1 | 1.73 × 10−1 | =(13,12,0) | 5.92 × 10−2 | 6.45 × 10−2 | +(23,2,0) | 3.96 × 10−2 | 6.14 × 10−2 | +(23,2,0) | |
| BA_ABC | 3.37 × 10−2 | 5.13 × 10−1 | 5.38 × 10−3 | 1.92 × 10−2 | 5.29 × 10−3 | 1.24 × 10−2 | ||||
| F4 | BA | 1.42 × 102 | 1.05 × 100 | +(25,0,0) | 4.74 × 102 | 7.58 × 100 | +(25,0,0) | 8.19 × 102 | 8.44 × 100 | +(25,0,0) |
| ABC | 1.40 × 102 | 4.65 × 10−4 | +(25,0,0) | 4.50 × 102 | 2.37 × 10−2 | +(23,2,0) | 7.61 × 102 | 5.32 × 10−2 | +(24,1,0) | |
| BA_ABC | 1.40 × 102 | 1.12 × 10−4 | 4.50 × 102 | 1.84 × 10−2 | 7.60 × 102 | 6.65 × 10−2 | ||||
| F5 | BA | 1.72 × 103 | 4.68 × 102 | +(25,0,0) | 5.36 × 103 | 8.24 × 102 | +(25,0,0) | 9.38 × 103 | 9.33 × 102 | +(25,0,0) |
| ABC | 1.27 × 10−4 | 3.96 × 10−13 | =(0,0,25) | 3.82 × 10−4 | 2.18 × 10−9 | =(1,0,24) | 1.32 × 10−1 | 4.58 × 10−1 | +(25,0,0) | |
| BA_ABC | 1.27 × 10−4 | 2.52 × 10−13 | 3.82 × 10−4 | 1.23 × 10−12 | 6.36 × 10−4 | 1.10 × 10−11 | ||||
| F6 | BA | 7.83 × 103 | 7.49 × 103 | +(25,0,0) | 6.77 × 102 | 2.58 × 103 | +(25,0,0) | 3.73 × 10−4 | 7.18 × 10−5 | +(25,0,0) |
| ABC | 8.3 × 10−17 | 2.49 × 10−17 | +(25,0,0) | 5.73 × 10−16 | 8.52 × 10−17 | +(25,0,0) | 1.19 × 10−15 | 1.72 × 10−16 | +(25,0,0) | |
| BA_ABC | 2.86 × 10−17 | 1.73 × 10−17 | 2.07 × 10−16 | 7.49 × 10−17 | 4.09 × 10−16 | 1.26 × 10−16 | ||||
| F7 | BA | −9.92 × 10−1 | 4.77 × 10−3 | +(25,0,0) | −5.72 × 10−1 | 4.92 × 10−1 | −(11,14,0) | −7.27 × 10−3 | 1.27 × 10−2 | −(7,18,0) |
| ABC | −7.16 × 10−3 | 1.29 × 10−2 | +(25,0,0) | −6.07 × 10−108 | 3.04 × 10−107 | +(25,0,0) | −2.54 × 10−255 | 0 | +(25,0,0) | |
| BA_ABC | −1 | 1.05 × 10−4 | −2.14 × 10−1 | 4.01 × 10−1 | −4.15 × 10−2 | 2.00 × 10−1 | ||||
| F8 | BA | −5.89 × 100 | 4.04 × 10−1 | +(25,0,0) | −1.04 × 101 | 8.39 × 10−1 | +(25,0,0) | −1.42 × 101 | 9.63 × 10−1 | +(25,0,0) |
| ABC | −9.66 × 100 | 1.56 × 10−7 | +(5,0,20) | −2.96 × 101 | 8.66 × 10−3 | =(19,6,0) | −4.95 × 101 | 2.05 × 10−2 | +(23,2,0) | |
| BA_ABC | −9.66 × 100 | 2.51 × 10−13 | −2.96 × 101 | 1.92 × 10−2 | −4.96 × 101 | 1.48 × 10−2 | ||||
| F9 | BA | 2.33 × 10−3 | 4.94 × 10−4 | +(25,0,0) | 2.06 × 10−11 | 8.60 × 10−12 | +(25,0,0) | 7.34 × 10−20 | 4.18 × 10−20 | =(9,16,0) |
| ABC | 5.66 × 10−4 | 1.65 × 10−16 | =(0,0,25) | 3.51 × 10−12 | 6.71 × 10−16 | +(24,1,0) | 1.96 × 10−17 | 2.20 × 10−18 | +(25,0,0) | |
| BA_ABC | 5.66 × 10−4 | 1.07 × 10−16 | 3.51 × 10−12 | 2.40 × 10−16 | 1.15 × 10−19 | 8.52 × 10−20 | ||||
| F10 | BA | 2.56 × 10−3 | 1.93 × 10−3 | +(25,0,0) | 2.94 × 10−2 | 6.67 × 10−3 | +(25,0,0) | 1.07 × 10−1 | 1.68 × 10−2 | +(25,0,0) |
| ABC | 3.90 × 101 | 3.65 × 101 | +(25,0,0) | 2.49 × 103 | 3.29 × 102 | +(25,0,0) | 5.09 × 103 | 2.87 × 102 | +(25,0,0) | |
| BA_ABC | 1.41 × 10−4 | 8.86 × 10−5 | 9.12 × 10−4 | 3.29 × 10−4 | 2.74 × 10−3 | 6.03 × 10−4 | ||||
| Mean Rank | BA | ABC | BA_ABC | BA | ABC | BA_ABC | BA | ABC | BA_ABC | |
| 2.80 | 1.85 | 1.35 | 2,70 | 2.00 | 1.30 | 2.60 | 2.30 | 1.10 | ||
| D = 100 | D = 1000 | |||||||||
| Mean | Std | T ( +, − , =) | Mean | Std | T (+, − , =) | |||||
| F1 | BA | 1.84 × 10−1 | 7.05 × 10−1 | +(25,0,0) | 1.91 × 10−3 | 1.93 × 10−3 | +(25,0,0) | |||
| ABC | 6.83 × 10−15 | 6.19 × 10−15 | +(25,0,0) | 1.38 × 10−14 | 7.46 × 10−16 | +(23,2,0) | ||||
| BA_ABC | 7.42 × 10−16 | 6.59 × 10−16 | 4.26 × 10−15 | 8.36 × 10−15 | ||||||
| F2 | BA | 9.83 × 102 | 1.23 × 102 | +(25,0,0) | 1.18 × 104 | 3.13 × 103 | +(25,0,0) | |||
| ABC | 4.66 × 10−5 | 1.77 × 10−4 | +(25,0,0) | 2.84 × 101 | 1.47 × 100 | +(25,0,0) | ||||
| BA_ABC | 3.91 × 10−13 | 2.77 × 10−13 | 5.73 × 100 | 1.53 × 100 | ||||||
| F3 | BA | 9.42 × 101 | 1.44 × 101 | +(20,5,0) | 1.05 × 103 | 3.58 × 101 | +(25,0,0) | |||
| ABC | 2.88 × 10−2 | 2.65 × 10−2 | −(1,24,0) | 1.21 × 102 | 4.53 × 101 | =(14,11,0) | ||||
| BA_ABC | 4.30 × 101 | 6.46 × 101 | 1.50 × 102 | 1.08 × 102 | ||||||
| F4 | BA | 1.60 × 103 | 6.94 × 101 | +(25,0,0) | 1.55 × 104 | 7.95 × 10−2 | −(0,25,0) | |||
| ABC | 1.54 × 103 | 1.87 × 10−1 | +(25,0,0) | 1.55 × 104 | 1.26 × 10−1 | +(25,0,0) | ||||
| BA_ABC | 1.54 × 103 | 2.40 × 10−1 | 1.55 × 104 | 1.75 × 10−1 | ||||||
| F5 | BA | 1.90 × 104 | 1.43 × 103 | +(25,0,0) | 2.00 × 105 | 4.34 × 103 | +(25,0,0) | |||
| ABC | 1.87 × 102 | 9.32 × 101 | −(6,19,0) | 1.30 × 104 | 5.45 × 102 | +(25,0,0) | ||||
| BA_ABC | 4.12 × 102 | 2.30 × 102 | 7.37 × 103 | 1.64 × 103 | ||||||
| F6 | BA | 5.26 × 101 | 1.81 × 102 | +(25,0,0) | 1.31 × 104 | 2.40 × 104 | +(25,0,0) | |||
| ABC | 3.60 × 10−15 | 5.56 × 10−16 | +(25,0,0) | 3.80 × 10−14 | 3.10 × 10−15 | =(19,6,0) | ||||
| BA_ABC | 1.23 × 10−15 | 4.49 × 10−16 | 6.76 × 10−14 | 9.05 × 10−14 | ||||||
| F7 | BA | 0 | 0 | =(0,0,25) | 0 | 0 | =(0,0,25) | |||
| ABC | 0 | 0 | =(0,0,25) | 0 | 0 | =(0,0,25) | ||||
| BA_ABC | 0 | 0 | 0 | 0 | ||||||
| F8 | BA | −2.25 × 101 | 1.22 × 100 | +(25,0,0) | −1.49 × 102 | 4.27 × 100 | +(25,0,0) | |||
| ABC | −9.91 × 101 | 5.52 × 10−2 | +(24,1,0) | −9.68 × 102 | 5.81 × 10−1 | +(25,0,0) | ||||
| BA_ABC | −9.93 × 101 | 6.64 × 10−2 | −9.80 × 102 | 4.60 × 10−1 | ||||||
| F9 | BA | 3.89 × 10−41 | 3.40 × 10−41 | =(11,14,0) | 0 | 0 | =(0,0,25) | |||
| ABC | 1.56 × 10−17 | 2.04 × 10−18 | +(25,0,0) | 3.02 × 10−73 | 7.60 × 10−73 | +(25,0,0) | ||||
| BA_ABC | 3.50 × 10−41 | 2.93 × 10−41 | 0 | 0 | ||||||
| F10 | BA | 1.14 × 10−1 | 3.62 × 10−2 | +(25,0,0) | 1.30 × 104 | 8.67 × 102 | +(25,0,0) | |||
| ABC | 1.19 × 104 | 4.77 × 102 | +(25,0,0) | 1.59 × 105 | 1.12 × 103 | +(25,0,0) | ||||
| BA_ABC | 1.14 × 10−2 | 1.72 × 10−3 | 1.43 × 103 | 1.29 × 102 | ||||||
| Mean Rank | BA | ABC | BA_ABC | BA | ABC | BA_ABC | ||||
| 2.70 | 1.95 | 1.35 | 2.55 | 2.00 | 1.45 | |||||
| Function | BA_ABC | BA | FA | DE | ABC | HSABA | MBADE | |
|---|---|---|---|---|---|---|---|---|
| F1 | Mean | 1.07 × 10−16 | 1.16 × 100 | 6.65 × 10−1 | 1.05 × 100 | 1.09 × 100 | 7.71 × 10−2 | 6.39 × 10−3 |
| Std | 1.49 × 10−16 | 1.15 × 100 | 6.40 × 10−1 | 2.22 × 10−2 | 1.23 × 10−1 | 2.85 × 10−2 | 1.12 × 10−2 | |
| F2 | Mean | 3.87 × 10−14 | 9.28 × 102 | 2.44 × 102 | 2.28 × 102 | 7.33 × 101 | 4.63 × 101 | 8.23 × 100 |
| Std | 3.92 × 10−14 | 8.90 × 102 | 2.35 × 102 | 1.33 × 101 | 2.24 × 101 | 2.99 × 101 | 4.10 × 100 | |
| F3 | Mean | 5.38 × 10−3 | 2.84 × 106 | 1.12 × 102 | 4.57 × 102 | 5.18 × 102 | 1.02 × 102 | 1.14 × 101 |
| Std | 1.92 × 10−2 | 2.95 × 106 | 1.01 × 102 | 2.27 × 102 | 4.72 × 102 | 1.41 × 101 | 1.25 × 101 | |
| F4 | Mean | 4.50 × 102 | 2.00 × 101 | 2.11 × 101 | 1.77 × 100 | 7.17 × 100 | 9.44 × 100 | 4.56 × 102 |
| Std | 1.84 × 10−2 | 2.00 × 101 | 2.11 × 101 | 3.17 × 10−1 | 1.03 × 100 | 6.62 × 100 | 1.16 × 100 | |
| F5 | Mean | 3.82 × 10−4 | 9.45 × 103 | 6.78 × 103 | 7.57 × 103 | 2.64 × 103 | 2.70 × 102 | 1.17 × 102 |
| Std | 1.23 × 10−12 | 9.52 × 103 | 6.75 × 103 | 4.40 × 102 | 3.30 × 102 | 3.06 × 101 | 1.55 × 102 | |
| F6 | Mean | 2.07 × 10−16 | 5.87 × 10−2 | 5.19 × 100 | 1.77 × 102 | 1.63 × 102 | 2.63 × 10−2 | 2.65 × 10−20 |
| Std | 7.49 × 10−17 | 6.53 × 10−5 | 5.14 × 100 | 7.12 × 101 | 1.96 × 102 | 1.29 × 10−13 | 2.91 × 10−20 | |
| F7 | Mean | −2.14 × 10−1 | 0 | −3.81 × 10−30 | −2.76 × 10−175 | −1.76 × 10−136 | 0 | −1 |
| Std | 4.01 × 10−1 | 0 | −3.73 × 10−30 | 0 | 8.79 × 10−136 | 0 | 3.20 × 10−17 | |
| F8 | Mean | −2.96 × 101 | −8.62 × 100 | −5.15 × 100 | −1.07 × 101 | −2.30 × 101 | −1.30 × 101 | −2.56 × 101 |
| Std | 1.92 × 10−2 | −8.39 × 100 | −5.35 × 100 | 6.70 × 10−1 | 6.98 × 10−1 | −1.36 × 101 | 4.91 × 10−1 | |
| F9 | Mean | 3.51 × 10−12 | 1.57 × 10−11 | 1.70 × 10−4 | 2.46 × 10−11 | 1.10 × 10−11 | 6.06 × 10−12 | 6.81 × 10−12 |
| Std | 2.40 × 10−16 | 1.03 × 10−11 | 4.72 × 10−5 | 1.20 × 10−12 | 1.91 × 10−12 | 3.85 × 10−12 | 4.42 × 10−13 | |
| F10 | Mean | 9.12 × 10−4 | 2.76 × 102 | 1.32 × 104 | 3.78 × 101 | 2.53 × 102 | 2.72 × 101 | 1.46 × 10−9 |
| Std | 3.29 × 10−4 | 2.82 × 102 | 1.32 × 104 | 8.74 × 100 | 3.15 × 101 | 1.37 × 100 | 3.13 × 10−9 | |
| Wilcoxon Test | ||||||||
| + | 9 | 9 | 9 | 9 | 9 | 7 | ||
| - | 1 | 1 | 1 | 1 | 1 | 3 | ||
| = | 0 | 0 | 0 | 0 | 0 | 0 | ||
| P | 0.037(+) | 0.047(+) | 0.047(+) | 0.047(+) | 0.074(≈) | 0.059(≈) | ||
| Friedman Test | ||||||||
| Mean Rank | 1.80 | 5.90 | 5.60 | 4.80 | 4.30 | 3.30 | 2.30 | |
| Function | Name | Bound | fmin |
|---|---|---|---|
| Unimodal Functions | |||
| F1 | Shifted Sphere Function | [−100, 100] | −450 |
| F2 | Shifted Schwefel’s Problem 1.2 | [−100, 100] | −450 |
| F3 | Shifted Rotated High Conditioned Elliptic Function | [−100, 100] | −450 |
| F4 | Shifted Schwefel’s Problem 1.2 with Noise in Fitness | [−100, 100] | −450 |
| F5 | Schwefel’s Problem 2.6 with Global Optimum on Bounds | [−100, 100] | −310 |
| Multimodal functions | |||
| F6 | Shifted Rosenbrock’s Function | [−100, 100] | 390 |
| F7 | Shifted Rotated Griewank’s Function without Bounds | [0, 600] | −180 |
| F8 | Shifted Rotated Ackley’s Function with Global Optimum on Bounds | [−32, 32] | −140 |
| F9 | Shifted Rastrigin’s Function | [−5, 5] | −330 |
| F10 | Shifted Rotated Rastrigin’s Function | [−5, 5] | −330 |
| F11 | Shifted Rotated Weierstrass Function | [−0.5, 0.5] | 90 |
| F12 | Schwefel’s Problem 2.13 | [−λ,λ] | −460 |
| Expanded functions | |||
| F13 | Expanded Extended Griewank’s plus Rosenbrock’s Function (F8F2) | [−3, 1] | −130 |
| F14 | Expanded Rotated Extended Scaffe’s F6 | [−100, 100] | −300 |
| Hybrid composition functions | |||
| F15 | Hybrid Composition Function 1 | [−5, 5] | 120 |
| F16 | Rotated Hybrid Composition Function 1 | [−5, 5] | 120 |
| F17 | Rotated Hybrid Composition Function 1 with Noise in Fitness | [−5, 5] | 120 |
| F18 | Rotated Hybrid Composition Function 2 | [−5, 5] | 10 |
| F19 | Rotated Hybrid Composition Function 2 with a Narrow Basin for the Global Optimum | [−5, 5] | 10 |
| F20 | Rotated Hybrid Composition Function 2 with the Global Optimum on the Bounds | [−5, 5] | 10 |
| F21 | Rotated Hybrid Composition Function 3 | [−5, 5] | 360 |
| F22 | Rotated Hybrid Composition Function 3 with High Condition Number Matrix | [−5, 5] | 360 |
| F23 | Non-Continuous Rotated Hybrid Composition Function 3 | [−5, 5] | 360 |
| F24 | Rotated Hybrid Composition Function 4 | [−5, 5] | 260 |
| F25 | Rotated Hybrid Composition Function 4 without Bounds | [2, 5] | 260 |
| Function | 1st (Best) | 7th | 13th (Median) | 19th | 25th (Worst) | Mean | Std | Test (+, −, =) | |
|---|---|---|---|---|---|---|---|---|---|
| F1 | BA | 1.5 × 10−3 | 2.89 × 10−3 | 4.01 × 10−3 | 5.47 × 10−3 | 6.74 × 10−3 | 4.17 × 10−3 | 1.53 × 10−3 | +(25, 0, 0) |
| ABC | 2.5 × 103 | 7.49 × 103 | 9.43 × 103 | 1.07 × 104 | 1.16 × 104 | 8.92 × 103 | 2.37 × 103 | +(25, 0, 0) | |
| BA_ABC | 0 | 0 | 0 | 0 | 0 | 0 | 0 | ||
| F2 | BA | 2.44 × 10−4 | 9.29 × 10−4 | 1.16 × 10−3 | 1.71 × 10−3 | 2.71 × 10−3 | 1.34 × 10−3 | 6.83 × 10−4 | +(24, 1, 0) |
| ABC | 5.26 × 103 | 8.72 × 103 | 1.06 × 104 | 1.33 × 104 | 1.84 × 104 | 1.09 × 104 | 3.32 × 103 | +(25, 0, 0) | |
| BA_ABC | 6.02 × 10−7 | 9.92 × 10−6 | 2.80 × 10−5 | 7.01 × 10−5 | 3.35 × 10−4 | 7.77 × 10−5 | 1.10 × 10−4 | ||
| F3 | BA | 9.63 × 102 | 9.16 × 103 | 2.48 × 104 | 7.85 × 104 | 1.80 × 105 | 4.28 × 104 | 4.45 × 104 | +(23, 2, 0) |
| ABC | 9.37 × 106 | 3.62 × 107 | 5.72 × 107 | 8.00 × 107 | 1.35 × 108 | 6.17 × 107 | 3.39 × 107 | +(25, 0, 0) | |
| BA_ABC | 1.73 × 102 | 8.71 × 102 | 2.11 × 103 | 4.14 × 103 | 9.90 × 103 | 2.95 × 103 | 2.62 × 103 | ||
| F4 | BA | 2.81 × 103 | 7.86 × 103 | 1.05 × 104 | 1.59 × 104 | 2.25 × 104 | 1.14 × 104 | 5.16 × 103 | +(25, 0, 0) |
| ABC | 6.09 × 103 | 1.00 × 104 | 1.14 × 104 | 1.17 × 104 | 1.66 × 104 | 1.10 × 104 | 2.49 × 103 | +(25, 0, 0) | |
| BA_ABC | 4.89 × 10−4 | 7.95 × 10−4 | 2.03 × 10−3 | 4.30 × 10−3 | 4.15 × 10−2 | 4.72 × 10−3 | 8.66 × 10−3 | ||
| F5 | BA | 6.62 × 101 | 5.41 × 102 | 9.78 × 102 | 1.71 × 103 | 5.35 × 103 | 1.20 × 103 | 1.10 × 103 | +(25, 0, 0) |
| ABC | 7.66 × 103 | 1.16 × 104 | 1.32 × 104 | 1.39 × 104 | 1.52 × 104 | 1.28 × 104 | 1.76 × 103 | +(25, 0, 0) | |
| BA_ABC | 8.59 × 10−8 | 1.81 × 10−5 | 3.11 × 10−4 | 1.16 × 10−2 | 1.99 × 100 | 1.47 × 10−1 | 4.29 × 10−1 | ||
| F6 | BA | 5.49 × 10−1 | 4.25 × 100 | 5.73 × 100 | 9.65 × 100 | 3.01 × 102 | 4.77 × 101 | 8.98 × 101 | +(22, 3, 0) |
| ABC | 1.28 × 108 | 7.02 × 108 | 9.11 × 108 | 1.17 × 109 | 3.56 × 109 | 1.15 × 109 | 8.46 × 108 | +(25, 0, 0) | |
| BA_ABC | 7.31 × 10−8 | 2.76 × 10−2 | 7.72 × 10−1 | 2.92 × 100 | 1.68 × 101 | 2.29 × 100 | 3.98 × 100 | ||
| F7 | BA | 8.92 × 102 | 1.11 × 103 | 1.26 × 103 | 1.38 × 103 | 1.78 × 103 | 1.26 × 103 | 2.21 × 102 | ≈(13, 12, 0) |
| ABC | 1.93 × 103 | 2.30 × 103 | 2.47 × 103 | 2.60 × 103 | 2.88 × 103 | 2.45 × 103 | 2.06 × 102 | +(25, 0, 0) | |
| BA_ABC | 1.27 × 103 | 1.27 × 103 | 1.27 × 103 | 1.27 × 103 | 1.27 × 103 | 1.27 × 103 | 4.57 × 10−13 | ||
| F8 | BA | 2.01 × 101 | 2.03 × 101 | 2.03 × 101 | 2.04 × 101 | 2.04 × 101 | 2.03 × 101 | 9.19 × 10−2 | +(21, 4, 0) |
| ABC | 2.05 × 101 | 2.07 × 101 | 2.08 × 101 | 2.08 × 101 | 2.09 × 101 | 2.07 × 101 | 9.22 × 10−2 | +(25, 0, 0) | |
| BA_ABC | 2.00 × 101 | 2.01 × 101 | 2.02 × 101 | 2.03 × 101 | 2.04 × 101 | 2.02 × 101 | 1.18 × 10−1 | ||
| F9 | BA | 1.25 × 101 | 2.45 × 101 | 3.34 × 101 | 4.16 × 101 | 5.53 × 101 | 3.32 × 101 | 1.08 × 101 | +(25, 0, 0) |
| ABC | 5.21 × 101 | 8.04 × 101 | 8.52 × 101 | 9.62 × 101 | 1.05 × 102 | 8.57 × 101 | 1.32 × 101 | +(25, 0, 0) | |
| BA_ABC | 0 | 0 | 0 | 0 | 0 | 0 | 0 | ||
| F10 | BA | 2.04 × 101 | 2.87 × 101 | 3.41 × 101 | 4.35 × 101 | 5.57 × 101 | 3.58 × 101 | 9.62 × 100 | +(21, 4, 0) |
| ABC | 9.76 × 101 | 1.08 × 102 | 1.18 × 102 | 1.25 × 102 | 1.44 × 102 | 1.18 × 102 | 1.30 × 101 | +(25, 0, 0) | |
| BA_ABC | 7.96 × 100 | 1.39 × 101 | 1.69 × 101 | 2.38 × 101 | 4.58 × 101 | 1.99 × 101 | 9.27 × 100 | ||
| F11 | BA | 7.99 × 100 | 8.62 × 100 | 9.01 × 100 | 9.47 × 100 | 1.00 × 101 | 9.10 × 100 | 5.46 × 10−1 | +(25, 0, 0) |
| ABC | 9.99 × 100 | 1.08 × 101 | 1.15 × 101 | 1.18 × 101 | 1.26 × 101 | 1.14 × 101 | 7.32 × 10−1 | +(25, 0, 0) | |
| BA_ABC | 2.33 × 100 | 3.50 × 100 | 4.74 × 100 | 5.37 × 100 | 6.06 × 100 | 4.50 × 100 | 1.10 × 100 | ||
| F12 | BA | 3.87 × 102 | 5.50 × 102 | 8.12 × 102 | 1.09 × 103 | 2.49 × 103 | 9.60 × 102 | 5.47 × 102 | +(23, 2, 0) |
| ABC | 4.10 × 104 | 6.65 × 104 | 7.80 × 104 | 9.00 × 104 | 1.13 × 105 | 7.80 × 104 | 2.08 × 104 | +(25, 0, 0) | |
| BA_ABC | 1.52 × 101 | 8.42 × 101 | 1.66 × 102 | 3.16 × 102 | 6.07 × 102 | 2.17 × 102 | 1.64 × 102 | ||
| F13 | BA | 1.64 × 100 | 2.82 × 101 | 3.09 × 101 | 3.54 × 101 | 3.89 × 101 | 3.12 × 101 | 5.65 × 10−1 | +(25, 0, 0) |
| ABC | 8.03 × 100 | 1.37 × 101 | 1.68 × 101 | 2.11 × 101 | 3.47 × 101 | 1.74 × 101 | 5.90 × 100 | +(25, 0, 0) | |
| BA_ABC | 2.84 × 10−14 | 1.42 × 10−1 | 1.93 × 10−1 | 2.39 × 10−1 | 4.15 × 10−1 | 2.03 × 10−1 | 1.08 × 10−1 | ||
| F14 | BA | 3.54 × 100 | 4.00 × 100 | 4.25 × 100 | 4.40 × 100 | 4.54 × 100 | 4.20 × 100 | 2.66 × 10−1 | −(0, 25, 0) |
| ABC | 4.81 × 100 | 4.83 × 100 | 4.84 × 100 | 4.85 × 100 | 4.86 × 100 | 4.84 × 100 | 1.31 × 10−2 | +(24, 1, 0) | |
| BA_ABC | 4.77 × 100 | 4.80 × 100 | 4.81 × 100 | 4.81 × 100 | 4.84 × 100 | 4.80 × 100 | 1.71 × 10−2 | ||
| F15 | BA | 1.77 × 102 | 3.01 × 102 | 4.59 × 102 | 5.53 × 102 | 6.74 × 102 | 4.43 × 102 | 1.39 × 102 | +(25, 0, 0) |
| ABC | 4.93 × 102 | 7.37 × 102 | 7.65 × 102 | 7.99 × 102 | 8.43 × 102 | 7.58 × 102 | 6.91 × 101 | +(25, 0, 0) | |
| BA_ABC | 0 | 0 | 0 | 0 | 0 | 0 | 0 | ||
| F16 | BA | 1.43 × 102 | 1.55 × 102 | 1.70 × 102 | 1.98 × 102 | 6.60 × 102 | 2.17 × 102 | 1.28 × 102 | +(24, 1, 0) |
| ABC | 3.70 × 102 | 3.90 × 102 | 4.20 × 102 | 4.55 × 102 | 5.46 × 102 | 4.31 × 102 | 5.02 × 102 | +(25, 0, 0) | |
| BA_ABC | 1.00 × 102 | 1.17 × 102 | 1.27 × 102 | 1.35 × 102 | 1.75 × 102 | 1.29 × 102 | 1.76 × 101 | ||
| F17 | BA | 1.44 × 102 | 1.73 × 102 | 2.02 × 102 | 2.16 × 102 | 5.11 × 102 | 2.20 × 102 | 9.09 × 101 | + (24, 1, 0) |
| ABC | 2.87 × 102 | 3.86 × 102 | 4.11 × 102 | 4.45 × 102 | 5.40 × 102 | 4.22 × 102 | 5.45 × 101 | + (25, 0, 0) | |
| BA_ABC | 1.22 × 102 | 1.43 × 102 | 1.58 × 102 | 1.65 × 102 | 1.73 × 102 | 1.53 × 102 | 1.54 × 101 | ||
| F18 | BA | 3.41 × 102 | 8.24 × 102 | 9.31 × 102 | 1.01 × 103 | 1.05 × 103 | 9.11 × 102 | 1.48 × 102 | + (24, 1, 0) |
| ABC | 1.12 × 103 | 1.16 × 103 | 1.19 × 103 | 1.24 × 103 | 1.34 × 103 | 1.20 × 103 | 5.21 × 101 | + (25, 0, 0) | |
| BA_ABC | 3.00 × 102 | 3.57 × 102 | 4.44 × 102 | 5.00 × 102 | 9.82 × 102 | 5.00 × 102 | 1.97 × 102 | ||
| F19 | BA | 3.24 × 102 | 8.22 × 102 | 9.59 × 102 | 9.86 × 102 | 1.03 × 103 | 8.88 × 102 | 1.51 × 102 | + (22, 3, 0) |
| ABC | 1.08 × 103 | 1.17 × 103 | 1.20 × 103 | 1.23 × 103 | 1.26 × 103 | 1.19 × 103 | 4.50 × 101 | + (25, 0, 0) | |
| BA_ABC | 3.56 × 102 | 4.53 × 102 | 5.00 × 102 | 8.00 × 102 | 9.32 × 102 | 6.15 × 102 | 1.96 × 102 | ||
| F20 | BA | 3.03 × 102 | 8.01 × 102 | 9.67 × 102 | 9.97 × 102 | 1.09 × 103 | 8.36 × 102 | 2.59 × 102 | + (20, 5, 0) |
| ABC | 1.02 × 103 | 1.19 × 103 | 1.23 × 103 | 1.26 × 103 | 1.28 × 103 | 1.21 × 103 | 5.94 × 101 | + (25, 0, 0) | |
| BA_ABC | 3.00 × 102 | 3.56 × 102 | 5.00 × 102 | 8.00 × 102 | 9.19 × 102 | 5.28 × 102 | 1.99 × 102 | ||
| F21 | BA | 3.25 × 102 | 9.22 × 102 | 1.08 × 103 | 1.16 × 103 | 1.25 × 103 | 9.50 × 102 | 3.11 × 102 | + (23, 2, 0) |
| ABC | 1.30 × 103 | 1.37 × 103 | 1.39 × 103 | 1.42 × 103 | 1.45 × 103 | 1.39 × 103 | 4.29 × 101 | + (25, 0, 0) | |
| BA_ABC | 2.00 × 102 | 4.10 × 102 | 4.11 × 102 | 5.00 × 102 | 9.00 × 102 | 4.45 × 102 | 1.57 × 102 | ||
| F22 | BA | 7.67 × 102 | 7.77 × 102 | 8.74 × 102 | 9.08 × 102 | 9.37 × 102 | 8.55 × 102 | 6.24 × 101 | + (25, 0, 0) |
| ABC | 9.85 × 102 | 1.07 × 103 | 1.12 × 103 | 1.14 × 103 | 1.30 × 103 | 1.11 × 103 | 7.10 × 101 | + (25, 0, 0) | |
| BA_ABC | 3.00 × 102 | 7.58 × 102 | 7.65 × 102 | 7.71 × 102 | 8.00 × 102 | 7.29 × 102 | 1.29 × 102 | ||
| F23 | BA | 5.59 × 102 | 7.21 × 102 | 1.04 × 103 | 1.22 × 103 | 1.25 × 103 | 9.67 × 102 | 2.77 × 102 | + (25, 0, 0) |
| ABC | 1.28 × 103 | 1.36 × 103 | 1.39 × 103 | 1.41 × 103 | 1.47 × 103 | 1.39 × 103 | 4.28 × 101 | + (25, 0, 0) | |
| BA_ABC | 4.25 × 102 | 5.48 × 102 | 5.48 × 102 | 5.48 × 102 | 5.59 × 102 | 5.24 × 102 | 5.04 × 101 | ||
| F24 | BA | 2.05 × 102 | 3.96 × 102 | 4.09 × 102 | 7.22 × 102 | 1.24 × 103 | 5.79 × 102 | 3.10 × 102 | + (25, 0, 0) |
| ABC | 1.09 × 103 | 1.28 × 103 | 1.32 × 103 | 1.36 × 103 | 1.38 × 103 | 1.30 × 103 | 7.27 × 101 | + (25, 0, 0) | |
| BA_ABC | 2.00 × 102 | 2.00 × 102 | 2.00 × 102 | 2.00 × 102 | 2.00 × 102 | 2.00 × 102 | 1.53 × 10−12 | ||
| F25 | BA | 2.06 × 102 | 3.95 × 102 | 4.15 × 102 | 5.63 × 102 | 1.15 × 103 | 5.34 × 102 | 2.34 × 102 | − (3, 22, 0) |
| ABC | 1.34 × 103 | 1.41 × 103 | 1.42 × 103 | 1.44 × 103 | 1.48 × 103 | 1.42 × 103 | 2.80 × 101 | + (25, 0, 0) | |
| BA_ABC | 6.01 × 102 | 6.23 × 102 | 8.20 × 102 | 8.24 × 102 | 8.31 × 102 | 7.41 × 102 | 1.03 × 102 | ||
| BA | ABC | BA_ABC | |||||||
| Mean Rank | 1.96 | 2.92 | 1.12 |
| Function | Algorithms | |||||||||||
|---|---|---|---|---|---|---|---|---|---|---|---|---|
| BA_ABC | SBAIS | MBADE | NBA | iBA | ILSSIWBA | GBA | TBA | PBA | LBA | EBA | RBA | |
| F1 | 0 | 2.43 × 10−5 | 0 | 0 | 0 | 0 | 0 | 0 | 0 | 0 | 0 | 8.09 × 103 |
| F2 | 7.77 × 10−5 | 1.90 × 10−7 | 0 | 4.38 × 10−7 | 0 | 0 | 0 | 0 | 0 | 0 | 0 | 7.88 × 103 |
| F3 | 2.95 × 103 | 1.06 × 102 | 1.33 × 103 | 3.46 × 103 | 2.48 × 101 | 1.67 × 103 | 2.41 × 102 | 1.43 × 102 | 2.74 × 103 | 5.11 × 102 | 2.21 × 102 | 1.66 × 107 |
| F4 | 4.72 × 10−3 | 2.57 × 102 | 0 | 2.54 × 103 | 2.99 × 103 | 1.92 × 10−4 | 3.81 × 102 | 1.54 × 102 | 9.79 × 103 | 5.88 × 103 | 1.77 × 103 | 1.16 × 104 |
| F5 | 1.47 × 10−1 | 5.25 × 100 | 0 | 8.81 × 10−2 | 1.47 × 10−1 | 0 | 2.92 × 101 | 6.26 × 100 | 1.22 × 102 | 2.56 × 101 | 5.74 × 100 | 3.60 × 103 |
| F6 | 2.29 × 100 | 9.94 × 10−1 | 0 | 7.97 × 10−1 | 1.69 × 10−3 | 5.64 × 100 | 4.96 × 10−2 | 2.91 × 10−2 | 4.36 × 102 | 2.20 × 10−2 | 1.44 × 100 | 4.48 × 108 |
| F7 | 1.27 × 103 | 6.73 × 100 | 4.85 × 102 | 9.32 × 100 | 4.59 × 101 | 1.26 × 103 | 7.04 × 101 | 5.36 × 101 | 8.74 × 101 | 8.98 × 101 | 5.42 × 101 | 4.26 × 102 |
| F8 | 2.02 × 101 | 2.15 × 100 | 2.03 × 101 | 2.01 × 101 | 2.00 × 101 | 2.01 × 101 | 2.01 × 101 | 2.01 × 101 | 2.02 × 101 | 2.02 × 101 | 2.02 × 101 | 2.02 × 101 |
| F9 | 0 | 2.17 × 100 | 0 | 3.82 × 101 | 2.48 × 101 | 2.09 × 101 | 3.94 × 101 | 3.59 × 101 | 7.35 × 101 | 4.79 × 101 | 5.96 × 101 | 7.87 × 101 |
| F10 | 1.99 × 101 | 8.17 × 10−1 | 1.05 × 101 | 6.64 × 101 | 4.08 × 101 | 1.97 × 101 | 5.53 × 101 | 4.58 × 101 | 9.17 × 101 | 5.22 × 101 | 7.85 × 101 | 9.88 × 101 |
| F11 | 4.50 × 100 | 1.21 × 100 | 2.61 × 100 | 7.07 × 100 | 3.12 × 100 | 5.54 × 100 | 1.17 × 100 | 1.30 × 100 | 7.94 × 100 | 1.44 × 100 | 1.46 × 100 | 8.66 × 100 |
| F12 | 2.17 × 102 | 1.75 × 102 | 3.15 × 102 | 3.69 × 103 | 2.20 × 10−2 | 7.29 × 101 | 7.54 × 101 | 4.25 × 101 | 2.82 × 101 | 4.18 × 101 | 7.40 × 101 | 1.02 × 105 |
| F13 | 2.03 × 10−1 | 1.52 × 100 | 3.42 × 10−1 | 2.61 × 100 | 2.56 × 100 | 1.03 × 100 | 1.68 × 100 | 1.34 × 100 | 1.43 × 100 | 1.03 × 100 | 1.99 × 100 | 4.65 × 100 |
| F14 | 4.80 × 100 | 2.18 × 100 | 4.62 × 100 | 3.34 × 100 | 3.92 × 100 | 3.88 × 100 | 3.97 × 100 | 3.94 × 100 | 4.03 × 100 | 3.99 × 100 | 4.24 × 100 | 4.13 × 100 |
| F15 | 0 | 2.14 × 102 | 2.36 × 102 | 4.99 × 102 | 2.83 × 102 | 1.25 × 102 | 6.52 × 102 | 6.23 × 102 | 6.62 × 102 | 6.66 × 102 | 7.31 × 102 | 7.02 × 102 |
| F16 | 1.29 × 102 | 7.37 × 101 | 1.14 × 102 | 2.43 × 102 | 1.93 × 102 | 1.39 × 102 | 4.58 × 102 | 4.99 × 102 | 4.80 × 102 | 4.61 × 102 | 4.38 × 102 | 4.67 × 102 |
| F17 | 1.53 × 102 | 1.07 × 102 | 1.14 × 102 | 2.89 × 102 | 1.81 × 102 | 1.39 × 102 | 2.03 × 102 | 2.31 × 102 | 4.73 × 102 | 3.39 × 102 | 3.76 × 102 | 5.61 × 102 |
| F18 | 5.00 × 102 | 6.49 × 102 | 3.88 × 102 | 9.81 × 102 | 9.53 × 102 | 7.48 × 102 | 1.15 × 103 | 1.04 × 103 | 1.08 × 103 | 1.11 × 103 | 1.07 × 103 | 1.16 × 103 |
| F19 | 6.15 × 102 | 4.10 × 102 | 3.97 × 102 | 1.02 × 103 | 8.97 × 102 | 7.89 × 102 | 9.77 × 102 | 8.94 × 102 | 1.00 × 103 | 1.03 × 103 | 1.09 × 103 | 1.09 × 103 |
| F20 | 5.28 × 102 | 3.03 × 102 | 5.14 × 102 | 1.07 × 103 | 8.05 × 102 | 6.97 × 102 | 8.80 × 102 | 9.95 × 102 | 1.01 × 103 | 1.03 × 103 | 1.08 × 103 | 1.14 × 103 |
| F21 | 4.45 × 102 | 4.28 × 102 | 5.00 × 102 | 1.09 × 103 | 1.23 × 103 | 3.20 × 102 | 1.29 × 103 | 1.23 × 103 | 1.29 × 103 | 1.27 × 103 | 1.29 × 103 | 1.41 × 103 |
| F22 | 7.29 × 102 | 4.22 × 102 | 7.29 × 102 | 9.25 × 102 | 8.54 × 102 | 7.84 × 102 | 8.26 × 102 | 8.55 × 102 | 9.10 × 102 | 8.24 × 102 | 9.82 × 102 | 9.66 × 102 |
| F23 | 5.24 × 102 | 4.48 × 102 | 5.60 × 102 | 1.20 × 103 | 1.23 × 103 | 6.93 × 102 | 1.42 × 103 | 1.40 × 103 | 1.39 × 103 | 1.40 × 103 | 1.42 × 103 | 1.47 × 103 |
| F24 | 2.00 × 102 | 2.00 × 102 | 2.00 × 102 | 1.04 × 103 | 9.49 × 102 | 2.00 × 102 | 1.34 × 103 | 7.43 × 102 | 9.76 × 102 | 9.95 × 102 | 7.60 × 102 | 1.43 × 103 |
| F25 | 7.41 × 102 | 3.11 × 102 | 4.65 × 102 | 1.07 × 103 | 9.46 × 102 | 1.64 × 103 | 8.14 × 102 | 5.72 × 102 | 9.82 × 102 | 9.36 × 102 | 5.43 × 102 | 1.12 × 103 |
| Wilcoxon Test | ||||||||||||
| + | 7 | 6 | 18 | 15 | 12 | 16 | 15 | 18 | 16 | 15 | 22 | |
| - | 17 | 15 | 6 | 8 | 11 | 8 | 9 | 5 | 7 | 8 | 2 | |
| = | 1 | 4 | 1 | 2 | 2 | 1 | 1 | 2 | 2 | 2 | 1 | |
| p value | 0.026(-) | 0.085(≈) | 0.001(+) | 0.042(+) | 0.248(≈) | 0.037(+) | 0.092(≈) | 0.004(+) | 0.026(+) | 0.052(≈) | 1.15 × 10−4(+) | |
| Friedman Test | ||||||||||||
| Mean Rank | 5.22 | 2.78 | 4.16 | 7.44 | 5.24 | 4.78 | 6.92 | 5.74 | 8.66 | 7.58 | 8.06 | 11.42 |
| Function | Name | Modality | Range |
|---|---|---|---|
| Separable functions | |||
| F1 | Shifted Elliptic Function | Unimodal | [−100, 100] |
| F2 | Shifted Rastrigin’s Function | Multimodal | [−5, 5] |
| F3 | Shifted Ackley’s Function | Multimodal | [−32, 32] |
| Single-group m-nonseparable functions | |||
| F4 | Single-group Shifted and m-rotated Elliptic Function | Unimodal | [−100, 100] |
| F5 | Single-group Shifted and m-rotated Rastrigin’s Function | Multimodal | [−5, 5] |
| F6 | Single-group Shifted and m-rotated Ackley’s Function | Multimodal | [−32, 32] |
| F7 | Single-group Shifted m-dimensional Schwefel’s Function 1.2 | Unimodal | [−100, 100] |
| F8 | Single-group Shifted m-dimensional Rosenbrock’s Function | Multimodal | [−100, 100] |
| D/2m groups m-nonseparable functions | |||
| F9 | D/2m -group Shifted and m-rotated Elliptic Function | Unimodal | [−100, 100] |
| F10 | D/2m -group Shifted and m-rotated Rastrigin’s Function | Multimodal | [−5, 5] |
| F11 | D/2m -group Shifted and m-rotated Ackley’s Function | Multimodal | [−32, 32] |
| F12 | D/2m -group Shifted m-dimensional Schwefel’s Problem 1.2 | Unimodal | [−100, 100] |
| F13 | D/2m -group Shifted m-dimensional Rosenbrock’s Function | Multimodal | [−100, 100] |
| D/m groups m-nonseparable functions | |||
| F14 | D/m -group Shifted and m-rotated Elliptic Function | Unimodal | [−100, 100] |
| F15 | D/m -group Shifted and m-rotated Rastrigin’s Function | Multimodal | [−5, 5] |
| F16 | D/m -group Shifted and m-rotated Ackley’s Function | Multimodal | [−32, 32] |
| F17 | D/m -group Shifted m-dimensional Schwefel’s Problem 1.2 | Unimodal | [−100, 100] |
| F18 | D/m -group Shifted m-dimensional Rosenbrock’s Function | Multimodal | [−100, 100] |
| Nonseparable functions | |||
| F19 | Shifted Schwefel’s Problem 1.2 | Unimodal | [−100, 100] |
| F20 | Shifted Rosenbrock’s Function | Multimodal | [−100, 100] |
| F1 | F2 | F3 | |||||||
| BA | ABC | BA_ABC | BA | ABC | BA_ABC | BA | ABC | BA_ABC | |
| Best | 7.89 × 109 | 2.34 × 10−12 | 1.64 × 10−11 | 1.35 × 104 | 3.12 × 101 | 3.89 × 101 | 1.98 × 101 | 5.14 × 10−7 | 1.42 × 10−6 |
| Median | 2.74 × 1010 | 8.80 × 10−12 | 1.72 × 10−10 | 1.44 × 104 | 3.97 × 101 | 4.85 × 101 | 2.04 × 101 | 9.57 × 10−7 | 3.34 × 10−6 |
| Worst | 3.23 × 1010 | 3.29 × 10−11 | 6.05 × 10−8 | 2.46 × 104 | 4.72 × 101 | 5.30 × 101 | 2.14 × 101 | 1.89 × 10−6 | 6.43 × 10−6 |
| Mean | 2.63 × 1010 | 1.10 × 10−11 | 4.81 × 10−9 | 1.73 × 104 | 3.95 × 101 | 4.74 × 101 | 2.06 × 101 | 1.00 × 10−6 | 3.54 × 10−6 |
| Std | 4.93 × 109 | 7.82 × 10−12 | 1.46 × 10−8 | 4.47 × 103 | 3.88 × 100 | 3.58 × 100 | 7.83 × 10−1 | 3.69 × 10−7 | 1.21 × 10−6 |
| Test(+, −, =) | +(25, 0, 0) | −(0, 25, 0) | +(25, 0, 0) | −(4, 21, 0) | +(25, 0, 0) | −(0, 25, 0) | |||
| F4 | F5 | F6 | |||||||
| BA | ABC | BA_ABC | BA | ABC | BA_ABC | BA | ABC | BA_ABC | |
| Best | 2.91 × 1011 | 3.58 × 1013 | 7.80 × 109 | 2.83 × 108 | 4.25 × 108 | 2.78 × 108 | 1.94 × 107 | 1.97 × 107 | 1.88 × 107 |
| Median | 5.14 × 1011 | 4.57 × 1013 | 1.82 × 1010 | 3.76 × 108 | 5.90 × 108 | 3.71 × 108 | 1.97 × 107 | 2.00 × 107 | 1.94 × 107 |
| Worst | 8.87 × 1011 | 5.86 × 1013 | 4.07 × 1010 | 4.90 × 108 | 7.23 × 108 | 5.43 × 108 | 2.08 × 107 | 2.00 × 107 | 1.98 × 107 |
| Mean | 5.18 × 1011 | 4.63 × 1013 | 2.15 × 1010 | 3.74 × 108 | 5.81 × 108 | 3.81 × 108 | 2.01 × 107 | 1.99 × 107 | 1.93 × 107 |
| Std | 1.07 × 1011 | 6.46 × 1012 | 9.19 × 109 | 6.04 × 107 | 6.74 × 107 | 7.12 × 107 | 5.56 × 105 | 8.69 × 104 | 2.53 × 105 |
| Test(+, −, =) | +(25, 0, 0) | +(25, 0, 0) | ≈(14,11,0) | +(25, 0, 0) | +(24, 1, 0) | +(25, 0, 0) | |||
| F7 | F8 | F9 | |||||||
| BA | ABC | BA_ABC | BA | ABC | BA_ABC | BA | ABC | BA_ABC | |
| Best | 5.73 × 106 | 2.97 × 1010 | 6.09 × 104 | 5.79 × 106 | 3.75 × 105 | 5.93 × 104 | 8.82 × 109 | 5.83 × 108 | 2.63 × 106 |
| Median | 6.05 × 106 | 4.02 × 1010 | 1.64 × 105 | 6.30 × 106 | 3.33 × 106 | 3.06 × 105 | 2.99 × 1010 | 6.58 × 108 | 3.52 × 106 |
| Worst | 5.41 × 108 | 4.86 × 1010 | 2.97 × 105 | 2.21 × 108 | 2.03 × 107 | 7.24 × 107 | 4.13 × 1010 | 7.06 × 108 | 7.11 × 106 |
| Mean | 4.11 × 107 | 3.97 × 1010 | 1.74 × 105 | 3.73 × 107 | 6.34 × 106 | 1.06 × 107 | 2.96 × 1010 | 6.57 × 108 | 3.78 × 106 |
| Std | 1.25 × 108 | 5.64 × 109 | 5.32 × 104 | 7.21 × 107 | 5.49 × 106 | 1.93 × 107 | 6.21 × 109 | 3.33 × 107 | 1.05 × 106 |
| Test(+, −, =) | +(25, 0, 0) | +(25, 0, 0) | +(19, 6, 0) | ≈(16, 9, 0) | +(25, 0, 0) | +(25, 0, 0) | |||
| F10 | F11 | F12 | |||||||
| BA | ABC | BA_ABC | BA | ABC | BA_ABC | BA | ABC | BA_ABC | |
| Best | 1.35 × 104 | 6.79 × 103 | 4.21 × 103 | 2.15 × 102 | 2.01 × 102 | 1.95 × 102 | 2.04 × 106 | 6.12 × 105 | 2.19 × 10−1 |
| Median | 1.47 × 104 | 7.27 × 103 | 4.78 × 103 | 2.34 × 102 | 2.01 × 102 | 1.96 × 102 | 3.53 × 106 | 6.62 × 105 | 2.65 × 10−1 |
| Worst | 2.45 × 104 | 7.54 × 103 | 7.48 × 103 | 2.35 × 102 | 2.02 × 102 | 2.00 × 102 | 4.01 × 106 | 6.91 × 105 | 3.16 × 10−1 |
| Mean | 1.76 × 104 | 7.23 × 103 | 4.95 × 103 | 2.27 × 102 | 2.01 × 102 | 1.96 × 102 | 3.46 × 106 | 6.65 × 105 | 2.74 × 10−1 |
| Std | 4.61 × 103 | 1.92 × 102 | 7.45 × 102 | 8.74 × 100 | 1.81 × 10−1 | 1.80 × 100 | 3.68 × 105 | 1.66 × 104 | 2.37 × 10−2 |
| Test(+, −, =) | +(25, 0, 0) | +(25, 0, 0) | +(25, 0, 0) | +(25, 0, 0) | +(25, 0, 0) | +(25, 0, 0) | |||
| F13 | F14 | F15 | |||||||
| BA | ABC | BA_ABC | BA | ABC | BA_ABC | BA | ABC | BA_ABC | |
| Best | 4.8 × 109 | 3.90 × 102 | 4.27 × 102 | 9.23 × 109 | 1.32 × 109 | 7.48 × 106 | 9.42 × 103 | 1.39 × 104 | 8.74 × 103 |
| Median | 1.02 × 1011 | 5.11 × 102 | 8.36 × 102 | 3.07 × 1010 | 1.44 × 109 | 9.64 × 106 | 1.49 × 104 | 1.46 × 104 | 9.38 × 103 |
| Worst | 1.33 × 1011 | 1.16 × 103 | 2.97 × 103 | 3.94 × 1010 | 1.54 × 109 | 1.18 × 107 | 2.49 × 104 | 1.49 × 104 | 1.06 × 104 |
| Mean | 1.00 × 1011 | 5.48 × 102 | 1.11 × 103 | 3.10 × 1010 | 1.44 × 109 | 9.59 × 106 | 1.90 × 104 | 1.45 × 104 | 9.45 × 103 |
| Std | 2.53 × 1010 | 1.75 × 102 | 6.47 × 102 | 5.93 × 109 | 6.88 × 107 | 1.07 × 106 | 5.35 × 103 | 2.70 × 102 | 4.76 × 102 |
| Test(+, −, =) | +(25, 0, 0) | −(2, 23, 0) | +(25, 0, 0) | +(25, 0, 0) | +(24, 1, 0) | +(25, 0, 0) | |||
| F16 | F17 | F18 | |||||||
| BA | ABC | BA_ABC | BA | ABC | BA_ABC | BA | ABC | BA_ABC | |
| Best | 3.90 × 102 | 4.03 × 102 | 3.90 × 102 | 2.69 × 106 | 1.23 × 106 | 1.15 × 100 | 8.15 × 1010 | 1.36 × 103 | 8.36 × 102 |
| Median | 3.96 × 102 | 4.03 × 102 | 3.91 × 102 | 4.00 × 106 | 1.30 × 106 | 1.34 × 100 | 8.79 × 1011 | 5.28 × 103 | 1.05 × 104 |
| Worst | 4.29 × 102 | 4.04 × 102 | 3.99 × 102 | 5.44 × 106 | 1.39 × 106 | 1.63 × 100 | 1.01 × 1012 | 1.54 × 104 | 3.41 × 104 |
| Mean | 4.09 × 102 | 4.03 × 102 | 3.92 × 102 | 4.08 × 106 | 1.33 × 106 | 1.33 × 100 | 8.58 × 1011 | 6.31 × 103 | 1.38 × 104 |
| Std | 1.61 × 101 | 2.64 × 10−1 | 2.20 × 100 | 5.57 × 105 | 4.04 × 104 | 1.27 × 10−1 | 1.77 × 1011 | 4.12 × 103 | 1.07 × 104 |
| Test(+, −, =) | +(23, 2, 0) | +(25, 0, 0) | (25, 0, 0) | +(25, 0, 0) | +(25, 0, 0) | −(7, 18, 0) | |||
| F19 | F20 | Mean Rank | |||||||
| BA | ABC | BA_ABC | BA | ABC | BA_ABC | BA | ABC | BA_ABC | |
| Best | 4.06 × 106 | 6.87 × 106 | 3.51 × 104 | 1.50 × 1011 | 9.44 × 100 | 2.46 × 102 | 2.75 | 1.85 | 1.40 |
| Median | 5.70 × 106 | 8.03 × 106 | 4.71 × 104 | 1.04 × 1012 | 2.47 × 101 | 6.60 × 102 | |||
| Worst | 7.51 × 106 | 8.38 × 106 | 6.60 × 104 | 1.22 × 1012 | 7.11 × 101 | 1.18 × 103 | |||
| Mean | 5.86 × 106 | 7.94 × 106 | 4.72 × 104 | 1.01 × 1012 | 2.80 × 101 | 6.77 × 102 | |||
| Std | 7.57 × 105 | 3.73 × 105 | 8.31 × 103 | 1.98 × 1011 | 1.45 × 101 | 2.26 × 102 | |||
| Test(+, −, =) | +(25, 0, 0) | +(25, 0, 0) | +(25, 0, 0) | −(0, 25, 0) | |||||
| Function | Algorithms | |||||
|---|---|---|---|---|---|---|
| BA_ABC | AHDE | RSQPSO | ISCA | μDSDE | aEUS | |
| F1 | 4.81 × 10−9 | 1.81 × 10−20 | 8.66 × 10−32 | 1.55 × 1011 | 2.05 × 104 | 8.32 × 10−24 |
| F2 | 4.74 × 101 | 3.57 × 10−6 | 1.18 × 101 | 1.64 × 100 | 1.47 × 102 | 0 |
| F3 | 3.54 × 10−6 | 3.73 × 10−9 | 1.27 × 10−14 | 3.10 × 10−1 | 2.45 × 100 | 1.90 × 10−12 |
| F4 | 2.15 × 1010 | 2.33 × 1012 | 7.09 × 1011 | 1.37 × 1012 | 3.16 × 1011 | 2.84 × 1011 |
| F5 | 3.81 × 108 | 3.88 × 108 | 5.39 × 108 | 3.27 × 108 | 1.11 × 108 | 7.18 × 107 |
| F6 | 1.93 × 107 | 1.97 × 107 | 1.94 × 107 | 1.29 × 105 | 1.50 × 107 | 1.99 × 107 |
| F7 | 1.74 × 105 | 2.01 × 106 | 7.50 × 100 | 3.71 × 1010 | 5.53 × 105 | 2.73 × 103 |
| F8 | 1.06 × 107 | 9.09 × 105 | 8.78 × 107 | 1.59 × 1013 | 4.08 × 107 | 1.29 × 108 |
| F9 | 3.78 × 106 | 7.06 × 107 | 1.75 × 107 | 1.66 × 1011 | 7.16 × 108 | 7.57 × 106 |
| F10 | 4.95 × 103 | 5.84 × 103 | 5.33 × 103 | 2.96 × 103 | 4.63 × 103 | 7.15 × 103 |
| F11 | 1.96 × 102 | 2.01 × 102 | 1.98 × 102 | 1.89 × 102 | 1.98 × 102 | 1.99 × 102 |
| F12 | 2.74 × 10−1 | 3.99 × 104 | 1.19 × 102 | 1.33 × 106 | 2.59 × 105 | 3.28 × 10−1 |
| F13 | 1.11 × 103 | 1.64 × 103 | 1.06 × 103 | 6.30 × 1010 | 1.10 × 103 | 1.09 × 103 |
| F14 | 9.59 × 106 | 1.71 × 108 | 5.58 × 107 | 2.29 × 108 | 1.85 × 109 | 1.71 × 107 |
| F15 | 9.45 × 103 | 1.09 × 104 | 1.34 × 104 | 1.64 × 103 | 8.79 × 103 | 1.42 × 104 |
| F16 | 3.92 × 102 | 3.98 × 102 | 9.37 × 102 | 3.18 × 102 | 3.90 × 102 | 3.98 × 102 |
| F17 | 1.33 × 100 | 2.00 × 105 | 2.31 × 103 | 3.27 × 106 | 1.03 × 106 | 3.98 × 100 |
| F18 | 1.38 × 104 | 4.77 × 103 | 2.28 × 103 | 1.41 × 104 | 3.01 × 104 | 2.97 × 103 |
| F19 | 4.72 × 104 | 5.84 × 105 | 3.08 × 106 | 5.90 × 106 | 4.56 × 106 | 9.44 × 103 |
| F20 | 6.77 × 102 | 1.21 × 103 | 1.13 × 103 | 1.59 × 1011 | 5.29 × 103 | 4.51 × 102 |
| Wilcoxon Test | ||||||
| + | 15 | 14 | 13 | 14 | 11 | |
| − | 5 | 6 | 7 | 6 | 9 | |
| = | 0 | 0 | 0 | 0 | 0 | |
| p | 0.009(+) | 0.012(+) | 0.025(+) | 0.038(+) | 0.455(≈) | |
| Friedman Test | ||||||
| Mean Rank | 2.65 | 4.03 | 3.23 | 4.25 | 4.03 | 2.83 |
| x1 | x2 | x3 | x4 | f(x) | |
| Decision variables | 0.7781878 | 0.3846586 | 40.32058 | 199.9867 | 5885.3715 |
| g1 | g2 | g3 | g4 | ||
| Constraint values | −6.0599 × 10−7 | −2.6680 × 10−7 | −0.4149 | −40.0133 | |
| Best | Median | Worst | Mean | Std. | |
| 5885.3715 | 6008.1344 | 6248.7054 | 6017.5957 | 91.5592 |
| Algorithms | Worst | Mean | Best | Std |
|---|---|---|---|---|
| EBA [31] | 6370.77 | 6173.67 | 6059.71 | 142.33 |
| IAPSO [47] | 6090.53 | 6068.75 | 6059.71 | 14.01 |
| CGWO [48] | 6188.11 | 5783.58 | 5034.18 | 254.50 |
| WCA [49] | 6590.21 | 6198.61 | 5885.33 | 213.04 |
| MBA [50] | 6392.50 | 6200.64 | 5889.32 | 160.34 |
| PSO_GA [51] | 5885.48 | 5885.38 | 5885.33 | 0.05 |
| ABC [52] | 5895.12 | 5887.55 | 5885.40 | 2.74 |
| BA [53] | 6318.95 | 6179.13 | 6059.71 | 137.22 |
| CSDE [54] | 1.52 × 1022 | 6261.41 | 6059.71 | 1.44 × 10−8 |
| TLNNA [55] | 6114.95 | 5935.42 | 5885.33 | 66.28 |
| BA_ABC | 6248.70 | 6017.59 | 5885.37 | 91.55 |
| x1 | x2 | x3 | f(x) | ||
| Decision variables | 0.054007 | 0.417747 | 8.39565 | 0.012667 | |
| g1 | g2 | g3 | g4 | ||
| Constraint values | −0.002253 | −0.115968 | −4.177092 | −0.685497 | |
| Best | Median | Worst | Mean | Std. | |
| 0.012667 | 0.012688 | 0.01273352 | 0.01268755 | 1.46 × 10−5 |
| Algorithms | Worst | Mean | Best | Std |
|---|---|---|---|---|
| EBA [31] | NA | NA | 0.01267 | NA |
| IAPSO [47] | 0.01782 | 0.01367 | 0.01266 | 1.57 × 10−3 |
| CGWO [48] | 0.01217 | 0.01217 | 0.01195 | 1.04 × 10−5 |
| WCA [49] | 0.01295 | 0.01274 | 0.01266 | 8.06 × 10−5 |
| MBA [50] | 0.01290 | 0.01271 | 0.01266 | 6.30 × 10−5 |
| ABC [52] | 0.01271 | 0.01266 | 0.01266 | 9.42 × 10−6 |
| BA [53] | 0.01689 | 0.01350 | 0.01267 | 1.42 × 10−3 |
| CSDE [54] | 0.01266 | 0.01269 | 0.01266 | 3.00 × 10−5 |
| TLNNA [55] | 0.01283 | 0.01268 | 0.01266 | 3.24 × 10−5 |
| BA_ABC | 0.01273 | 0.01268 | 0.01266 | 1.46 × 10−5 |
| x1 | x2 | x3 | x4 | f(x) | |
| Decision variables | 12.00 | 19.7523 | 51.7153 | 31.7670 | 2.0732 × 10−14 |
| Best | Median | Worst | Mean | Std. | |
| 2.07 × 10−14 | 5.14 × 10−11 | 7.64 × 10−9 | 7.42 × 10−10 | 1.92 × 10−9 |
| Algorithms | Worst | Mean | Best | Std |
|---|---|---|---|---|
| IAPSO [47] | 1.82 × 10−8 | 5.49 × 10−9 | 2.70 × 10−12 | 6.36 × 10−9 |
| CGWO [48] | 2.71 × 10−10 | 7.09 × 10−11 | 2.83 × 10−13 | 1.02 × 10−10 |
| MBA [50] | 2.06 × 10−8 | 2.47 × 10−9 | 2.70 × 10−12 | 3.94 × 10−9 |
| BA | 5.11 × 10−2 | 7.89 × 10−3 | 1.31 × 10−8 | 1.38 × 10−2 |
| ABC | 1.02 × 10−9 | 1.54 × 10−10 | 1.47 × 10−13 | 2.50 × 10−10 |
| BA_ABC | 7.64 × 10−9 | 7.42 × 10−10 | 2.07 × 10−14 | 1.92 × 10−9 |
| Function | BA | ABC | BA+ | BA- | ABC+ | ABC- | C+ | C- |
|---|---|---|---|---|---|---|---|---|
| F1 | 15 | 2 | 2813 | 19,797 | 242 | 44,978 | 7298 | 24,872 |
| F2 | 15 | 0 | 613 | 19,337 | 87 | 39,813 | 368 | 39,782 |
| F3 | 15 | 0 | 530 | 19,420 | 6 | 39,894 | 657 | 39,493 |
| F4 | 15 | 1 | 271 | 21,009 | 14 | 42,546 | 74 | 36,086 |
| F5 | 15 | 1 | 375 | 20,905 | 90 | 42,470 | 127 | 36,033 |
| F6 | 15 | 5 | 440 | 26,160 | 284 | 52,916 | 236 | 19,964 |
| F7 | 15 | 5 | 872 | 25,728 | 183 | 53,017 | 621 | 19,579 |
| F8 | 15 | 6 | 216 | 27,182 | 126 | 56,266 | 96 | 16,114 |
| F9 | 15 | 5 | 3715 | 22,885 | 321 | 52,879 | 4278 | 15,922 |
| F10 | 15 | 7 | 599 | 28,661 | 395 | 58,125 | 849 | 11,371 |
| F11 | 15 | 6 | 293 | 27,637 | 108 | 55,752 | 46 | 16,164 |
| F12 | 15 | 10 | 235 | 33,098 | 185 | 66,482 | 0 | 0 |
| F13 | 15 | 9 | 339 | 31,581 | 362 | 63,478 | 74 | 41,66 |
| F14 | 15 | 1 | 358 | 20,922 | 131 | 42,429 | 379 | 35,781 |
| F15 | 15 | 9 | 3418 | 28,502 | 463 | 63,377 | 590 | 3650 |
| F16 | 15 | 6 | 163 | 27,767 | 159 | 55,701 | 74 | 16,136 |
| F17 | 15 | 9 | 53 | 31,867 | 11 | 63,829 | 2 | 4238 |
| F18 | 15 | 4 | 670 | 24,600 | 162 | 50,378 | 633 | 23,557 |
| F19 | 15 | 6 | 321 | 27,609 | 235 | 55,625 | 165 | 16,045 |
| F20 | 15 | 1 | 1225 | 20,055 | 134 | 42,426 | 1952 | 34,208 |
| F21 | 15 | 7 | 346 | 28,914 | 327 | 58,193 | 75 | 12,145 |
| F22 | 15 | 5 | 173 | 26,428 | 203 | 52,996 | 357 | 19,843 |
| F23 | 15 | 4 | 114 | 25,156 | 40 | 50,500 | 96 | 24,094 |
| F24 | 15 | 8 | 751 | 29,839 | 295 | 60,885 | 1053 | 7177 |
| F25 | 6 | 15 | 48 | 27,882 | 23 | 55,837 | 0 | 16,210 |
| Function | BA | ABC | BA+ | BA- | ABC+ | ABC- | C+ | C- |
|---|---|---|---|---|---|---|---|---|
| F1 | 15 | 9 | 5155 | 954,845 | 4710 | 1,915,290 | 707 | 119,293 |
| F2 | 1 | 15 | 497 | 639,503 | 18,193 | 1,261,807 | 7093 | 1,072,907 |
| F3 | 12 | 13 | 2329 | 997,671 | 8919 | 1,991,081 | 0 | 0 |
| F4 | 15 | 2 | 3595 | 676,405 | 2125 | 1,357,875 | 26,946 | 933,054 |
| F5 | 14 | 11 | 3111 | 996,889 | 6243 | 1,993,757 | 0 | 0 |
| F6 | 15 | 2 | 3739 | 676,261 | 1762 | 1,358,238 | 2755 | 957,245 |
| F7 | 15 | 2 | 4414 | 684,474 | 1669 | 1,349,443 | 4699 | 955,301 |
| F8 | 15 | 1 | 3737 | 636,262 | 1152 | 1,278,849 | 6788 | 1,073,212 |
| F9 | 15 | 0 | 6718 | 593,282 | 705 | 1,199,295 | 152,842 | 1,047,158 |
| F10 | 1 | 15 | 767 | 639,233 | 11,503 | 1,268,497 | 5873 | 1,074,127 |
| F11 | 9 | 15 | 2091 | 957,908 | 11,075 | 1,908,926 | 1842 | 118,158 |
| F12 | 15 | 0 | 8181 | 591,819 | 356 | 1,199,644 | 44,117 | 1,155,883 |
| F13 | 13 | 12 | 5294 | 994,706 | 9139 | 1,990,861 | 0 | 0 |
| F14 | 15 | 0 | 7295 | 592,705 | 501 | 1,199,499 | 175,931 | 1,024,069 |
| F15 | 15 | 5 | 3532 | 796,468 | 4044 | 1,595,956 | 1946 | 598,054 |
| F16 | 15 | 6 | 2989 | 837,011 | 4005 | 1,675,995 | 1925 | 478,075 |
| F17 | 15 | 0 | 7078 | 592,923 | 385 | 1,199,614 | 108,336 | 1,091,664 |
| F18 | 15 | 9 | 7395 | 952,605 | 6125 | 1,913,875 | 1472 | 118,528 |
| F19 | 15 | 0 | 6052 | 593,949 | 34 | 1,199,965 | 171,282 | 1,028,718 |
| F20 | 15 | 3 | 7752 | 712,248 | 2429 | 1,437,571 | 4593 | 835,407 |
| CEC2020 (Function 1) | ||||
|---|---|---|---|---|
| BA | ||||
| T0 | T1 | T2 | (T2 − T1)/T0 | |
| D = 5 | 0.2901 | 1.5922 | 13.0710 | 39.5684 |
| D = 10 | 1.6110 | 13.1026 | 39.6125 | |
| D = 15 | 1.9029 | 13.6737 | 40.5749 | |
| ABC | ||||
| T0 | T1 | T2 | (T2 − T1)/T0 | |
| D = 5 | 0.2901 | 1.5922 | 11.1987 | 33.1144 |
| D = 10 | 1.6110 | 11.9764 | 35.7304 | |
| D = 15 | 1.9029 | 12.4667 | 36.4143 | |
| BA_ABC | ||||
| T0 | T1 | T2 | (T2 − T1)/T0 | |
| D = 5 | 0.2901 | 1.5922 | 13.0957 | 39.6535 |
| D = 10 | 1.6110 | 13.3799 | 40.5684 | |
| D = 15 | 1.9029 | 14.2354 | 42.5112 | |
© 2020 by the authors. Licensee MDPI, Basel, Switzerland. This article is an open access article distributed under the terms and conditions of the Creative Commons Attribution (CC BY) license (http://creativecommons.org/licenses/by/4.0/).
Share and Cite
Yildizdan, G.; Baykan, Ö.K. A New Hybrid BA_ABC Algorithm for Global Optimization Problems. Mathematics 2020, 8, 1749. https://doi.org/10.3390/math8101749
Yildizdan G, Baykan ÖK. A New Hybrid BA_ABC Algorithm for Global Optimization Problems. Mathematics. 2020; 8(10):1749. https://doi.org/10.3390/math8101749
Chicago/Turabian StyleYildizdan, Gülnur, and Ömer Kaan Baykan. 2020. "A New Hybrid BA_ABC Algorithm for Global Optimization Problems" Mathematics 8, no. 10: 1749. https://doi.org/10.3390/math8101749
APA StyleYildizdan, G., & Baykan, Ö. K. (2020). A New Hybrid BA_ABC Algorithm for Global Optimization Problems. Mathematics, 8(10), 1749. https://doi.org/10.3390/math8101749

