Study on Non-Commutativity Measure of Quantum Discord
Abstract
1. Introduction
2. Non-Commutativity Measure of Quantum Discord and Geometric Quantum Discords
- (1)
- and if and only if is a quantum-classical state.
- (2)
- and are invariant under local unitary operations.
3. An Explicit Expression of The Non-Commutativity Measure of Quantum Discord in the Two-Qubit Case
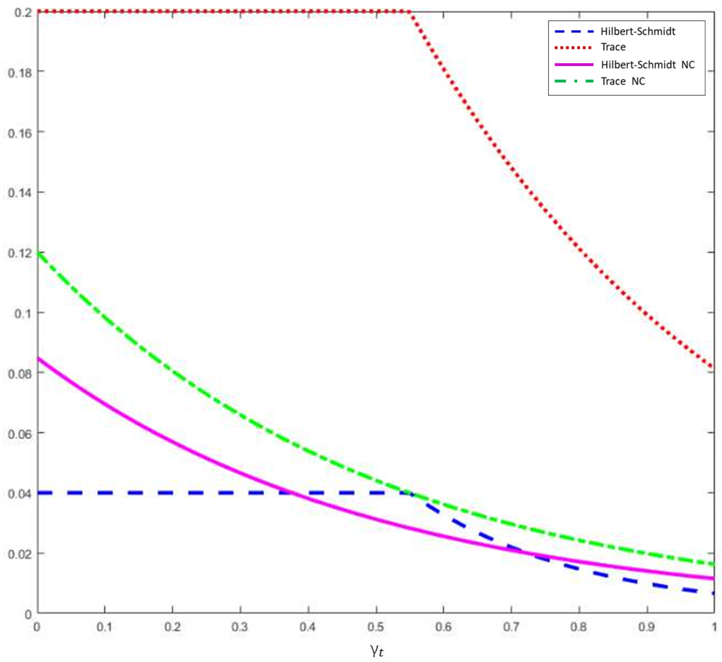
4. Comparisons between Two Geometric Quantum Discords for Two Dynamic Models of Open Quantum Systems and Corresponding Non-Commutativity Measure of Quantum Discords
5. Conclusions
Author Contributions
Funding
Acknowledgments
Conflicts of Interest
References
- Das, D.; Bhattacharya, B.; Datta, C.; Roy, A.; Jebaratnam, C.; Majumdar, A.S.; Srikanth, R. Operational characterization of quantumness of unsteerable bipartite states. Phys. Rev. 2018, 97, 062335. [Google Scholar] [CrossRef]
- Gharibian, S. Quantifying nonclassicality with local unitary operations. Phys. Rev. 2012, 86, 042106. [Google Scholar] [CrossRef]
- Hosseini, S.; Rahimi-Keshari, S.; Haw, J.Y.; Assad1, S.M.; Chrzanowski, H.M.; Janousek, J.; Symul, T.; Ralph, T.C.; Lam, P.K.; Gu, M.; et al. Experimental verification of quantum discord in continuousvariable states and operational significance of discord consumption. In Proceedings of the Conference on Lasers and Electro-Optics Europe-Technical Digest 2014, San Jose, CA, USA, 3–4 January 2014. [Google Scholar]
- Jebaratnam, C.; Aravinda, S.; Srikanth, R. Nonclassicality of local bipartite correlations. Phys. Rev. 2017, 95, 032120. [Google Scholar] [CrossRef]
- Luo, S.L. Quantum discord for two-qubit systems. Phys. Rev. 2008, 77, 042303. [Google Scholar] [CrossRef]
- Yune, J.; Hong, K.H.; Lim, H.T.; Lee, J.C.; Kwon, O.; Han, S.W.; Moon, S.; Kim, Y.S.; Kim, Y.H. Experimental verification of quantum discord in continuousvariable states and operational significance of discord consumption. In Proceedings of the 2015 11th Conference on Lasers and Electro-Optics Pacific Rim (CLEO-PR), Busan, Korea, 24–28 August 2015. [Google Scholar]
- Ollivier, H.; Zurek, W.H. Quantum discord: A measure of the quantumness of correlations. Phys. Rev. Lett. 2002, 88, 017901. [Google Scholar] [CrossRef] [PubMed]
- Henderson, L.; Vedral, V. Classical, quantum and total correlations. J. Phys. Math. Gen. 2001, 34, 6899–6905. [Google Scholar] [CrossRef]
- Guo, Y.; Li, X.L.; Li, B.; Fan, H. Quantum correlation induced by the average distance between the reduced states. Int. J. Theor. Phys. 2015, 54, 2022–2030. [Google Scholar] [CrossRef][Green Version]
- Adesso, G.; Bromley, T.R.; Cianciaruso, M. Measures and applications of quantum correlations. J. Phys. Math. Theor. 2016, 49, 473001. [Google Scholar] [CrossRef]
- Coecke, B.; Fritz, T.; Spekkens, R.W. A mathematical theory of resources. Inf. Comput. 2016, 250, 59–86. [Google Scholar] [CrossRef]
- Dakic, B.; Vedral, V.; Brukner, C. Necessary and sufficient condition for nonzero quantum discord. Phys. Rev. Lett. 2010, 105, 190502. [Google Scholar] [CrossRef] [PubMed]
- Guo, Y. Non-commutativity measure of quantum discord. Sci. Rep. 2016, 6, 25241. [Google Scholar] [CrossRef] [PubMed]
- Mazzola, L.; Piilo, J.; Maniscalco, S. Sudden transition between classical and quantum decoherence. Phys. Rev. Lett. 2010, 104, 200401. [Google Scholar] [CrossRef] [PubMed]
- Ciccarello, F.; Tufarelli, T.; Giovannetti, V. Toward computability of trace distance discord. New J. Phys. 2014, 16, 013038. [Google Scholar] [CrossRef]
- Nielsen, M.A.; Chuang, I.L. Quantum Computation and Quantum Information; Cambridge: Cambridge University Press: London, UK, 2000. [Google Scholar]
- Ficek, Z.; Tanas, R. Dark periods and revivals of entanglement in a two-qubit system. Phys. Rev. 2006, 74, 024304. [Google Scholar] [CrossRef]
- Hu, M.L.; Fan, H. Robustness of quantum correlations against decoherence. Ann. Phys. 2012, 327, 851–860. [Google Scholar] [CrossRef]
- Yu, T.; Eberly, J.H. Finite-time disentanglement via spontaneous emission. Phys. Rev. Lett. 2004, 93, 140404. [Google Scholar] [CrossRef] [PubMed]


© 2019 by the authors. Licensee MDPI, Basel, Switzerland. This article is an open access article distributed under the terms and conditions of the Creative Commons Attribution (CC BY) license (http://creativecommons.org/licenses/by/4.0/).
Share and Cite
Liang, J.; Zhang, C. Study on Non-Commutativity Measure of Quantum Discord. Mathematics 2019, 7, 543. https://doi.org/10.3390/math7060543
Liang J, Zhang C. Study on Non-Commutativity Measure of Quantum Discord. Mathematics. 2019; 7(6):543. https://doi.org/10.3390/math7060543
Chicago/Turabian StyleLiang, Jin, and Chengwei Zhang. 2019. "Study on Non-Commutativity Measure of Quantum Discord" Mathematics 7, no. 6: 543. https://doi.org/10.3390/math7060543
APA StyleLiang, J., & Zhang, C. (2019). Study on Non-Commutativity Measure of Quantum Discord. Mathematics, 7(6), 543. https://doi.org/10.3390/math7060543
