Next Article in Journal
An Integrated Numerical Model for a BBDB OWC Wave Energy Converter
Previous Article in Journal
Augmenting 16-Run Two-Level Non-Regular Fractional Factorial Designs
 
 
Font Type:
Arial Georgia Verdana
Font Size:
Aa Aa Aa
Line Spacing:
Column Width:
Background:
Article

A Monad-Based Formalization of Common Knowledge

1
Departamento de Economía, Instituto de Matemática de Bahía Blanca, Universidad Nacional del Sur and Conicet, Av. Alem 1253, Bahía Blanca 8000, Argentina
2
School of Social Sciences, Communication, and Humanities, Endicott College, 376 Hale Street, Beverly, MA 01915, USA
3
School of Science and Technology, Endicott College, 376 Hale Street, Beverly, MA 01915, USA
*
Author to whom correspondence should be addressed.
Mathematics 2026, 14(6), 958; https://doi.org/10.3390/math14060958
Submission received: 4 October 2025 / Revised: 8 November 2025 / Accepted: 2 December 2025 / Published: 12 March 2026

Abstract

We present here a novel approach to the analysis of common knowledge based on Category Theory. We formalize knowledge hierarchies as presheaves over a category of agent sequences. The category of these presheaves constitutes a topos. We define an unfolding monad on the resulting topos, and use a Knaster–Tarski theorem to obtain common knowledge as a greatest fixed point under natural uniformity and exchangeability conditions on agent sequences.
MSC:
18A99; 06F99; 91A26

1. Introduction

In many contexts, problems of epistemology are schematized effectively by a straightforward distinction between the subject(s) and the object(s) of knowledge. So long as what is to be known (for instance, the chemical composition of a particular soil sample) is not intrinsically caught up or entangled with the representational and expressive dynamics characterizing those who are to know (for instance, a community of environmental scientists studying the soil sample), epistemic analyses may fruitfully exploit the simplicity of two-sided models relating otherwise independent objective and subjective domains. When, however, elements of what is to be known include states of knowing, as in multi-agent contexts in which agents may know the knowledge-states of other agents, the subjective and objective sides of the epistemic relation at issue are no longer independent, and any adequate epistemic model must provide for the appropriate categorization of knowings as also potential knowns.
Category Theory is the formal mathematical expression of how structure-preserving maps (called morphisms) between abstract objects generate systems of compositional relations that may, in turn, be mapped in structure-preserving ways into other such systems. Rather than modeling any given object in itself, Category Theory models only the relationships between objects [1]. However, the reason of why the categorical framework has taken over large swathes of Mathematics and Theoretical Computer Science is the possibility of defining functors between categories and natural transformations between functors. These mappings allow for the transfer of structure from one framework to another and have enabled the detection of unexpected connections across different fields. We think that the notion of common knowledge can be recast in this framework to show that hidden below its definition lies the structure of implicit interactions between agents. For this reason, we start by defining a category of “sequences of agents”, representing a linear ordering of them, such that each one can know what the agents after her know. The inspiration for this comes from the famous Hats Problem in which three persons have hats that are either red or white [2]. We can analyze the problem of what color each one has by analyzing the statements that each one can claim to know in any sequential round of statements.
We intend to use this approach to highlight the relationship between the sequence of “knowledge about knowledge about knowledge...” in the informal presentation of common knowledge and the states of the world formalism of Epistemic Game Theory ([3,4,5,6,7,8,9,10,11,12,13,14,15]).
We define functors from the category of sequences of agents onto Set , yielding sets of states of the world at which there exists a statement p such that the first agent in the sequence knows that the second one knows that the third one knows…p. Contravariant functors onto Set are known as presheaves. A category of presheaves is a topos, a rich kind of category endowed with the possibility of defining “truth values” and constructing all known limits and colimits [16].
The category of our functors is rich enough as to ensure useful properties, the main one being the existence of fixed-points of a knowledge endofunctor from the topos to itself. A fixed point is a state such that the application of the knowledge functor returns the same state. In our framework, a state of knowledge about a ground proposition is a fixed point if that ground proposition is commonly known. To ensure that a proposition is common knowledge, we need to be able to show that the endofunctor has fixed points. This relatively vague idea may be made precise by way of the categorical construction called a monad. Making use of a monad construction, we construct analogues to the powerset functor on Set that, unlike the powerset operator (which lacks a fixed point since no set other than ∅ can be identified with its power set) have fixed points.
Yet this mechanism alone will not yet be sufficient for modeling common knowledge categorically as a fixed-point in the intended manner. Any suitable structure, as already noticed in [6], will require a more careful treatment that must involve infinite iterations, since if only finite iterations are allowed, there will not, in general, exist any fixed points without further additions to the formalism. Here, we address this somewhat more delicate issue by resorting to a property satisfied by a topos, namely that of defining an internal category [16]. This internal category enables the definition of a complete partial order of objects in the topos.
A central feature of our approach resides in the definition of an iterative form of knowledge-state construction under which propositions about basic facts of the world may be determined to be common knowledge. This construction provides a sound foundation for the characterization of a state of common knowledge as one in which “[…] everybody knows that everybody knows that everybody knows […] that everybody knows p”, for some proposition p representing a basic fact of the world (for instance “it is raining outside”, “the market value of that painting is $1M”, etc.). The result is obtained by embodying this process in a category-theoretical monad and applying a categorical version of the Knaster–Tarski theorem ([16,17]), which is possible thanks to the definition of an internal partial order in the topos of knowledge functors. In this way, we accomplish the goal of characterizing states of the world in which some objective information becomes common knowledge among a class of agents, a result that in the traditional treatment of common knowledge in Set Theory, requires an alternative axiomatization since it does not ensue in the ZFC framework [18].
In summary, our approach starts by defining explicit relations between states of the world and chains of agents knowing what the next ones know. The solutions to famous puzzles involving common knowledge (like the Hat Problem or the Cheating Husbands one) use explicitly such chains of reasoning. While this is standard in the literature of Epistemic Game Theory (see, for instance, [7]), to the best of our knowledge, we are the first to represent these relations functorially.
Since the codomain of the functors from chains of agents to sets of states of the world is the category Set , we can show that the class of these functors constitutes a topos. This is a rich structure that ensures the existence of fixed points, representing states in which the agents achieve common knowledge.
Unlike the standard Kripke formalism and the Dynamic Epistemic Logic treatments, this paper builds common knowledge as a categorical greatest fixed point inside a topos via a monad. This reconciles the need for infinite iteration with closure in a general categorical setting, and fills the research gap between the coalgebraic treatments of knowledge and the iterative characterization of common knowledge. The primary justification for our construction, which defines a class of knowledge functors as a topos, is that it enables the application of the Knaster–Tarski fixed point theorem to characterize states of the world that are common knowledge among a class of agents. Although a technical result, the framework developed here can be extended to encompass various properties of knowledge operators. Of special interest is the relation between knowledge and evidence [19].
The paper is organized as follows. In Section 1, we present the basic elements of Category Theory needed to make this paper self-contained. In Section 2, we review the main strands in the literature on common knowledge, emphasizing two lines of work (Dynamic Epistemic Logic in a coalgebraic formalism and neighborhood topology). Section 3 is a brief overview of the categorical notions used in this paper. In Section 4, we define the category of knowledge hierarchies. Section 5 presents a monad In in this category. In Section 6, we show the existence of a fixed-point defined in terms of In , yielding a state in which a proposition is common knowledge. Section 7 presents the conditions under which a single hierarchy supports a state in which a proposition is common knowledge. Section 8, Section 9 and Section 10 provide brief discussions intended to clarify the main takeaways of this paper and the prospects for further work along these lines.

2. Literature Review

Common knowledge plays a foundational role in coordination, communication, and interactive reasoning across philosophy, logic, computer science, and economics [20,21,22,23,24,25,26,27,28,29,30,31,32]. Different accounts have been given of common knowledge: classical Kripkean, fixed-point characterization, Dynamic Epistemic Logics, probabilistic and game-theoretic notions of common belief, attainability results from distributed systems, neighborhood/topological generalizations, and coalgebraic/categorical perspectives.
The notion of common knowledge captures the idea that a proposition is not only known by each member of a group but that this knowledge is itself common at all finite levels, enabling agents to coordinate and reason about each other’s information recursively. In modal-epistemic settings, common knowledge is typically built over Kripke semantics for multi-agent knowledge, with important applications to Computer Science and Economics [22,33]. In a multi-agent Kripke model with knowledge modalities K i , the group knowledge operator is E G p : = i G K i p , and common knowledge is the infinitary conjunction C G p : = n 0 E G n p capturing all finite levels of mutual knowledge. Equivalently, C G is the greatest fixed point of the monotone map X p E G X , i.e., C G p = ν X . p E G X , where ν X . F ( X ) denotes the greatest fixed point of an operator F. That is, C G is the largest set of states X that satisfies F. In this common knowledge aligns with standard fixpoint principles familiar from modal μ -calculus and enabling its algebraic treatment as a greatest fixed point [2,22]. These perspectives support proof theory and model theory for common knowledge in S 5 -style settings and beyond, and they ground the use of fixed-point techniques in verification and synthesis tasks that require reasoning about unbounded epistemic depth [33].
Public Announcement Logic (PAL) and Dynamic Epistemic Logic (DEL) enrich the object language with update modalities to model how public and private information changes agents’ knowledge, with common knowledge interacting nontrivially with announcement iteration and action models [25]. The seminal treatment by Baltag, Moss, and Solecki axiomatizes updates and analyzes expressivity for public announcements with common knowledge, with recent completeness and decidability results for significant action-iteration-free fragments and translations to PDL refining the landscape [23,24,34]. The semantics of DEL over multi-agent Kripke models provides rationales for the behavior of common knowledge under typical epistemic actions, allowing the representation of reasoning about information flow in multi-agent systems [35,36].
Robert Aumann provided an alternative, and very influential, representation of common knowledge within measurable type structures. A key result is the Agreement Theorem: if posteriors are common knowledge, then agents with a common prior cannot “agree to disagree,” establishing the power of common knowledge in Bayesian environments [7,37]. Monderer and Samet generalized this approach to represent common belief and common p-belief, showing that common knowledge can be approximated by iterated belief thresholds and providing robust tools for games of incomplete information [8,38]. These quantitative notions underpin analyses in global games and interactive epistemology, where common belief operators structurally parallel the fixed-point views of common knowledge and connect to behavior via rationalizability and equilibrium refinements [39,40].
In distributed computing, common knowledge has important operational consequences: certain coordination tasks (e.g., simultaneous actions) require common knowledge. Yet, it might be unattainable in realistic asynchronous settings with unreliable clocks and communication, motivating weaker, attainable variants [22]. Later work clarified paradoxes and proposed modeling and specification techniques to reconcile the necessity of common knowledge with practical system constraints, informing protocol design and epistemic verification [2,41].
Neighborhood semantics provide a coalgebraic generalization of Kripke frames for classical and monotone modal logics, extending model-theoretic flexibility for epistemic operators and enabling broader completeness and bisimulation results that can host common knowledge-style constructions [42]. These general frameworks facilitate lifting fixed-point characterizations to settings with non-normal modalities and richer semantic bases, a step useful for categorical abstraction [43].
Coalgebraic modal logic offers a uniform semantics for modal operators as predicate liftings over endofunctors, with generic results on completeness, expressivity, and bisimulation that apply across system types and support fixpoints via the coalgebraic μ -calculus [27,44]. Coalgebraic dynamic logics generalize PDL and game logic, and recent frameworks extend safety, completeness, and reducibility techniques to wide classes of dynamic modal systems, opening avenues to model common knowledge as a greatest fixpoint in a categorical setting and to study update logics categorically [45]. In this setting, common knowledge arises as a categorical greatest fixpoint of a monotone operator built from group modalities, with coalgebraic proof principles and final coalgebras providing abstract tools for invariants and induction/coinduction over epistemic processes [46].
A categorical treatment can represent knowledge modalities as predicate liftings over a chosen system functor and define E G as their conjunction, yielding C G φ = ν X . φ E G X as a greatest fixpoint computed in a suitable complete lattice or internal logic, with bisimulation-invariant characterization guaranteed by coalgebraic μ -calculus results [27,46]. Dynamic updates can be captured via coalgebraic dynamic logic or action-model-like constructions internalized categorically, preserving completeness and decidability under general conditions and enabling compositional reasoning about common knowledge under updates [45,46].

3. Categories and Monads

In this section, we present a brisk description of the main categorical notions to be used in the rest of the paper. For further details, see [16,47,48].
A category consists of a class of objects together with morphisms or arrows between objects. Given two objects a and b, a morphism f between them will be denoted either f : a b or a f b . A category is subject to axioms of identity (every object a is equipped with an identity morphism, a 1 a a ), composition (two morphisms, a f b and b g c compose to a unique morphism a g f c , where ∘ indicates the operation of composition) and associativity (paths of morphisms compose uniquely, i.e., given three arrows f : a b , g : b c and h : c d , h ( g f ) = ( h g ) f , given the same morphism from a to d).
A functor F is a map between two categories (say A and B ), sending objects to objects and morphisms to morphisms, preserving identity morphisms and composition of morphisms. If for any morphism a a in A , F ( a a ) is mapped to a morphism F ( a ) F ( a ) in B , and F is said covariant. If instead F ( a a ) maps to F ( a ) F ( a ) , F is contravariant. A contravariant functor can be seen as a covariant functor F : A O p B , where A O p is obtained from A by reversing the direction of all its morphisms.
Given two functors F , G : C D , a natural transformation τ : F G is such that, as follows:
  • For each object X in category C , there exists a morphism in D , τ X : F ( X ) G ( X ) .
  • Given a morphism in C , f : X Y , the following diagram commutes:
    Mathematics 14 00958 i001
    meaning that G ( f ) τ X = τ Y F ( f ) .
If a contravariant functor F has as codomain in the category of sets, i.e., F : A O p Set , F is called a presheaf. Given a fixed category A , the category in which the objects are all the presheaves over A while the morphisms are the natural transformations between presheaves constitutes an (elementary) topos. That is, a category with finite limits and colimits, exponentials, and a subobject classifier [16].
The paradigmatic example of a topos is Set itself, hinting at the fact that rich structures can be constructed inside any topos. For instance, each topos has an object Ω called subobject classifier which allows us to distinguish internal components of objects and permits us to develop an internal logic in the topos. In the case of Set , Ω = { 0 , 1 } , which for every pair of sets A , B with A B makes the following diagram commutative:
Mathematics 14 00958 i002
where ! A : A 1 indicates the unique morphism from A to the terminal object 1 , which consists of a singleton { } (there exists a single function from any set to it). True picks up the largest element in Ω , namely 1, and f is the function that assigns 1 to the fact that A is indeed a subset of B.
In a general topos, the counterparts of the ⊆ relation in Set are monomorphisms, which abstract away the notion of one-to-one or injective functions. In the case of a category of presheaves, we say that given F , G : A O p Set , F G is a monomorphism if F ( a ) G ( a ) for each object a in A . In turn, the terminal object can be extended to a functor 1 such that 1 ( a ) has a single element for each a in A . The subobject classifier Ω consists of all the sieves on each object a in A , where a sieve S on a in A is the class of all the morphisms f : a a in the category, such that, if there exists a morphism g : a a in A , f g : a a belongs also to S.
As said, a topos shares with Set the possibility of developing inside it an entire mathematical universe. In particular, it carries an internal category ([16]), which allows us to build a complete partial order where the elements are objects in a topos and the order is obtained from morphisms among them. This will be central for our main result.
A concept that will be relevant for our analysis is that of a monad which consists of
  • An endofunctor (a functor from a category to itself) T : C C .
  • Two natural transformations:
    -
    Unit map: η : i d C T (where i d C is the identity in C ).
    -
    Multiplication map: μ : T 2 T (where T 2 is the functor obtained composing T with itself.
    such that the following diagrams commute (ref. [48], p. 436):
    Mathematics 14 00958 i003
    Mathematics 14 00958 i004
    and
    Mathematics 14 00958 i005
    These conditions are known as coherence conditions, which reflect the interaction between η and μ as well as the “idempotence” of T.
A salient example of a monad is the powerset endofunctor P in Set . It yields for every set X the class of its subsets. The multiplication map is given by set union, while the unit map is defined by singleton sets. Another example is the list endofunctor on Set , that, given any X, builds a list of its elements. The corresponding multiplication map for a set X collapses a list of lists of X’s elements to a plain list of the elements of X. We can see that, in rough terms, a monad takes up an object and returns its components (objects by themselves). In our case, we will see how the concept allows us to see a state as formed by the list of states generated at previous stages.

4. The Category of Knowledge Hierarchies

Given a set A of agents, we define a category A s e q such that
  • The objects of A s e q are sequences of elements of A . We call these sequences streams, and can be understood as sequences of potentially unlimited data elements made available over time, and thus can end after a finite number of steps. Each object of A s e q can be seen as a word in the alphabet on A , i.e., a finite or infinite sequence of elements of A . Each stream can consist of either an empty sign, after which no further symbols of the alphabet are added, or a letter of the alphabet followed by another stream ([28,49,50]). Therefore, a stream can be either infinite or finite, as when a ¯ = ( a 1 , , a n ) , which can be seen as being formed by the streams ( a 1 ) , ( a 1 , a 2 ) , , ( a 1 , , a n , ) .
  • Each morphism a ¯ f ( x ¯ , a ¯ ) between two objects a ¯ and ( x ¯ , a ¯ ) is the right concatenation of a sequence a ¯ into a sequence with prefix x ¯ O b j ( A s e q ) and suffix a ¯ .
The idea is that each object in A s e q represents a finite or infinite sequence of agents. Consider also Λ , a class of objective facts of the world. Λ represents what in Game Theory is known as the set of states of Nature ([51]), a subset of the class of propositional statements that refer to properties of an interactive situation, i.e., a game ([52]).
Based on Λ , we define a class of descriptions of what agents know in a given p Λ , known as states of the world. These descriptions are known as knowledge hierarchies.
Each knowledge hierarchy associated with a sequence ( a 1 , a 2 , a n , ) A s e q is a nested list of statements of the following form, where p Λ :
K a 1 [ K a 2 [ K a n [ [ p ] ] ] ]
where K a ¯ [ x ] indicates that a sequence a ¯ of agents of length 1 knows that a statement x is the case. Unless explicitly indicated, we only assume that this means that the agents in a ¯ have a collective justified true belief that x is true. Assuming further properties of the operator K a ¯ [ x ] may lead to different properties of the states of the world than those analyzed in this paper.
Notice that the … in K a n [ [ p ] ] represent iterations, not necessarily finite, of operators of the form K a i of the agents in the sequence. Then, we can define each state of the world, γ as
γ : = K a 1 [ K a 2 [ K a n [ [ p ] ] ] ] ,
i.e., as a knowledge hierarchy. This means that γ describes a situation in which agents know that other agents in A know … know that other agents know … that p Λ . This is, in fact, the way that, traditionally, states of the world have been defined in Game Theory [5].
Consider the contravariant functor K H : A s e q o p Set , such that, given a ¯ = ( a 1 , a 2 , a n , ) A s e q :
K H a ¯ = { γ : γ = K a 1 [ K a 2 [ K a n [ [ p ] ] ] ] for p Λ }
In words, K H a ¯ yields all the states that support a knowledge hierarchy corresponding to the sequence of agents a ¯ for every  p Λ (in the case that a ¯ is a finite sequence ( a 1 , , a n ) , K H [ a ¯ ] includes states of the form K a 1 [ K a 2 [ K a n [ p ] ] ] ). In formal terms, each K H a ¯ is a section of K H at a ¯ .
Given a morphism a ¯ f ( x ¯ , a ¯ ) where x ¯ = ( x 1 , x 2 , , x m ) and a ¯ = ( a 1 , a 2 , , a n ) , the following diagram commutes as follows:
Mathematics 14 00958 i006
A morphism like K H [ f ] , a restriction along f, has a clear interpretation: for each state γ K H x ¯ , a ¯ , it assigns a state γ K H a ¯ such that γ corresponds to the fragment K a 1 [ K a 2 [ K a n [ p ] ] ] of the hierarchy, defined over the sequence ( x 1 , , x m , a 1 , , a n ) ( x ¯ , a ¯ )
K x 1 [ K x 2 [ K x m [ K a 1 [ K a 2 [ K a n [ p ] ] ] ] ] ] .
Figure 1 depicts a contravariant functor on 2, 1 and empty sequences on A = { a , b } . Consider, for instance, the sequence b a . K H b a is the set of all the states at which b knows that a knows p. Then, the morphism K H b a K H a represents a function that assigns those states to states in which a knows p.
Note that K H b a K H b , since, even if b knows that a knows p, b may not know p, i.e., if K H b is not necessarily deductively closed. In Section 6, we impose a symmetry condition, called exchangeability, identifying ( b a ) with ( a b ) , yielding K H a b = K H b a K H b . This amounts to postulating the symmetry among agents. This property is independent of the axioms of multi-agent epistemic modal logic S 5 [53].
Consider then the category of contravariant functors from A s e q to Set , KH :
  • Each K H O b j ( KH ) is a contravariant functor K H : A s e q o p Set with the properties described above.
  • Given two objects K H , K H of KH , a morphism K H τ K H is a natural transformation. That is, given a morphism a ¯ f ( x ¯ , a ¯ ) in A s e q , the following diagram commutes the following:
    Mathematics 14 00958 i007
With this specification, KH is a category of presheaves on Set . Categories of presheaves over small categories are elementary toposes ([16]), i.e., if Ob ( C ) and Hom ( C ) are sets, the category of presheaves F : C O p Set is a topos. Since this is the case of A s e q , KH is a topos.
In this topos, as briefly discussed in Section 1, K H τ K H is a monomorphism if K H a ¯ K H a ¯ for each a ¯ in A s e q . In turn, the terminal object 1 is such that 1 a ¯ includes a single state for each a ¯ , up to isomorphism.
The subobject classifier  Ω is defined as follows. For each a ¯ = ( a 1 , , a n ) , Ω a ¯ includes all the sieves on a ¯ , where any sieve S includes a class of morphisms a ¯ a ¯ , where a ¯ is a subsequence of ( a 1 , , a n ) as well as all the morphisms that can be composed with morphisms already in S in such a way that the composition has codomain a. A trivial result is the following:
Proposition 1. 
If given a monomorphism K H τ K H , the following diagram commutes
Mathematics 14 00958 i008
then, for every a ^ in A s e q of infinite length, T r u e selects in Ω a ^ the sieve of all morphisms a ¯ f ( x ¯ , a ¯ ) for every subsequences a ¯ and ( x ¯ , a ¯ ) in the sequence a ^ . This sieve yields a single state γ ^ up to isomorphism.
Proof. 
It follows from the definition of the subobject classifier and the True natural transformation. To each state γ K H a ^ , there corresponds a single state γ ^ since γ is grounded in a proposition p Λ which must be the proposition in the knowledge hierarchies defined by the sieve. □

5. The Unfolding Monad

We define an endofunctor  In : KH KH such that In ( K H ) = K H , specified as follows. Given a ¯ in A s e q and an element γ K H [ a ¯ ] ,
In : γ K H a ¯ γ K H a ¯
where γ can be expressed as a sequence of states of the world (representing the idea that γ is the knowledge hierarchy built on top of the state γ ). We use the following notation:
γ = γ 0 , γ 1 , γ 2 , , γ ( n 1 ) , p
where γ 0 = γ and K H = p Λ (states of nature are trivial states of the world). This notation apparently indicates that p is the limit of the sequence, but γ conveys the same information associated with standard epistemic hierarchies starting at p.
The following are the specifications of the components of γ :
  • a ¯ 0 = ( a 1 , , a n ) , a ¯ 1 = ( a 2 , , a n ) , a ¯ 2 = ( a 3 , , a n ) , …, a ¯ n = ( ) , such that
    a ¯ n f n a ¯ ( n 1 ) f n 1 a ¯ 1 f 1 a ¯ 0
  • Then
    p K H [ f n ] K H a ¯ ( n 1 ) K H [ f n 1 ] K H a ¯ ( n 2 ) K H [ f 1 ] K H a ¯
  • For each i = 0 , , n 1 , each γ ( i + 1 ) K H [ f i + 1 ] ( K H a ¯ i ) .
In words: given a sequence a ¯ = ( a 1 , , a n ) , In takes each state γ K H a ¯ and defines a state defined as a nested sequence of states, each one corresponding to K H a ¯ , K H ( a 2 , , a n ) , …, K H ( a 3 , , a n ) , …, K H . That is, it provides a state that supports a statement K a 1 , , a n [ K a 2 , , a n [ K a 3 , , a n [ K a n [ p ] ] ] ] . The set of all such states constitutes K H a ¯ .
Now consider the following natural transformations:
  • The unit map  η : i d KH In , such that for given a ¯ , η a ¯ [ γ ] = γ for γ K H a ¯ and γ In ( K H ) a ¯ .
  • The multiplication map  μ : In In In , such that given a ¯ , if we have
    -
    γ K H a ¯ ,
    -
    γ , γ 1 , γ 2 , , γ ( n 1 ) , p In ( K H ) a ¯ , and
    -
    γ , γ 1 , γ 2 , , γ ( n 1 ) , p , γ 1 , γ 2 , , γ ( n 1 ) , p , , p In ( In ( K H ) ) a ¯ .
    Then,
    μ a ¯ [ γ , γ 1 , γ 2 , , γ ( n 1 ) , p , γ 1 , γ 2 , , γ ( n 1 ) , p , , , p ] =
    γ , γ 1 , γ 2 , , γ ( n 1 ) , p
We have that
Proposition 2. 
In , with η and μ, constitutes a monad.
Proof. 
As indicated in Section 1, we have to show that the following diagrams commute as follows:
Mathematics 14 00958 i009
Mathematics 14 00958 i010
and
Mathematics 14 00958 i011
Consider the first diagram above (the second one is analogous). Take γ , γ 1 , γ 2 , , γ ( n 1 ) , p i d KH In ( K H ) a ¯ and apply first the identity of In , which yields exactly the same element, and then η [ a ¯ ] , which produces γ , γ 1 , γ 2 , , γ ( n 1 ) , p , γ 1 , γ 2 , , γ ( n 1 ) , p , γ 2 , , γ ( n 1 ) , p , , p In ( In ) ( K H ) a ¯ . If we apply now, μ [ a ¯ ] on this element, we obtain γ , γ 1 , γ 2 , , γ ( n 1 ) , p In ( K H ) a ¯ , indicating that the diagram commutes.
With respect to the third diagram, consider the following element in In ( In ( In ( K H ) ) ) a ¯ :
γ , γ 1 , γ 2 , , γ ( n 1 ) , p , γ 1 , γ 2 , , γ ( n 1 ) , p , γ 2 , , γ ( n 1 ) , p ,
, p , γ 1 , γ 2 , , γ ( n 1 ) , p , γ 1 , γ 2 , , γ ( n 1 ) , p , γ 2 , , γ ( n 1 ) , p ,
, p , , p
if we apply μ a ¯ i d In ( K H ) [ a ] (or i d In ( K H ) a μ a ¯ ), we obtain
γ , γ 1 , γ 2 , , γ ( n 1 ) , p , γ 1 , γ 2 , , γ ( n 1 ) , p , γ 2 , , γ ( n 1 ) , p ,
, p In ( In ( K H ) ) a ¯
Then, the application of μ yields γ , γ 1 , γ 2 , , γ ( n 1 ) , p In ( K H ) a ¯ , showing that the diagram commutes. □
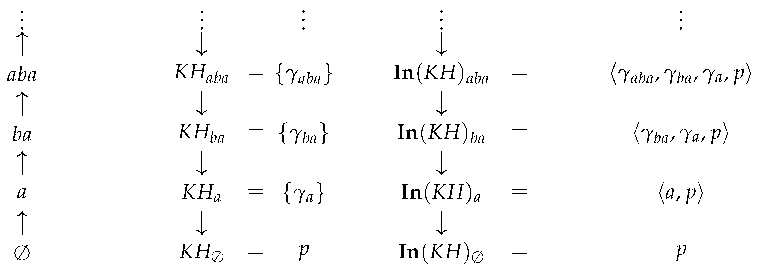
The monad ( In , η , μ ) yields, for every presheaf K H in KH , the class of unfoldings of its elements. In other words, for any γ K H a ¯ , it provides the fiber over γ corresponding to the knowledge hierarchy below it. Notice that this hierarchy is unique, i.e., In 1 ( γ ) is a singleton. By the same token, μ yields also a single element in In ( In ( K H ) ) a ¯ , since it is completely defined by the knowledge (and the order) of the agents in a ¯ .
Figure 2 shows that this construction takes the unfoldings and folds them back to the underlying proposition p. This can be seen as a converse of the usual procedure in Epistemic Theory, namely applying Harsanyi’s approach to fully disclose the internal structure of a state of the world. Here, instead, we take all the finite hierarchies to collapse them down to their underlying state.
Figure 2 illustrates how the monad acts on a presheaf K H at 3, 2, 1 and ground-sequences on A = { a , b } :

6. Common Knowledge

In this section, we will present the core argument of this paper. Namely, given K H a ¯ and γ K H a ¯ , the endofunctor In maps γ to γ , γ 1 , , γ ( n 1 ) , p , the chain of increasingly shorter suffix-based knowledge states ending at the ground proposition p. The unit η inserts γ , the multiplication μ flattens lists of lists, and Knaster–Tarski theorem guarantees a fixed point K H a ¯ = In ( K H ) a ¯ for infinite a ¯ satisfying two conditions, uniformity and exchangeability, capturing common knowledge coinductively.
For any K H a ¯ KH , any γ ^ K H a ¯ such that η a ¯ [ γ ^ ] = γ ^ is a fixed point for the morphism η a ¯ : K H a ¯ In ( K H ) a ¯ . This would mean that K H a ¯ In ( K H ) a ¯ . Yet this is not possible since, by definition, for any a ¯ A n with n < the sequence a ¯ 1 , , a ¯ n has length n 1 (if we discard the final empty sequence).
This means that for γ ^ K H a ^ to be a fixed point, it is necessary to ask a ^ to be an infinite sequence. Consider the following two conditions:
  • Uniformity: a ^ = ( , a , a , ) where a A | A | does not include repeated agents.
  • Exchangeability (agent-symmetry): a ^ = ( , a , a , a , ) is exchangeable, if for any permutation g : { 1 , , | A | } { 1 , , | A | } , K H a ^ = K H a ^ , where a = ( a g ( 1 ) , a g ( 2 ) , , a g ( | A | ) ) .
A state in which all the agents know that all the agents know that all the agents know...that all the agents know p, is a state in which p is common knowledge. Exchangeability is intended as an invariance of the presheaf under agent permutations (an action of the symmetric group on A ), imposing the symmetry among all the sequences of A | A | . Uniformity means that K H a ¯ yields a state for which it exists a p Λ such that it is the case that K a [ K a [ K a [ K a [ [ p ] ] ] ] ] .
For a formal representation of this informal notion of common knowledge, consider the following result:
Proposition 3. 
If a ^ is an infinite sequence that satisfies uniformity and exchangeability, for any γ ^ K H a ^ such that η a ^ [ γ ^ ] = γ ^ , there exists a p Λ that is common knowledge.
Proof. 
Since γ ^ is a fixed point of η a ^ : K H a ^ In ( K H ) a ^ , it means that there exists a p Λ such that the γ ^ is identical to the fiber over γ ^ , which includes the following states of knowledge:
γ a 1 :
a 1 knows p,
…,
γ a :
a know p,
…,
γ a a :
a know that a know p,
…,
γ a a a :
a know that a know that a know p,
where the class of these states is a countable set, where these states can be translated as
  • γ a means “everybody knows p”,
  • γ a a is interpreted as “everybody knows that everybody knows p”, (this means that the fact that all the agents in the sequence a know p is known by all the agents in a ),
  • γ a a a corresponds to “everybody knows that everybody knows that everybody knows p”,
  • etc.
The limit statement, ‘everybody knows that everybody knows p ’, indicates that p is common knowledge. □
The existence of such γ ^ is predicated on two properties:
Proposition 4. 
There exists an object a ^ of A s e q satisfying uniformity and exchangeability.
Proof. 
Trivial. Since O b j ( A s e q ) = A , it includes any possible sequence of agents, in particular a ^ . □
The only remaining property is the existence of a fixed point of η a ^ : K H a ^ In ( K H ) a ^ for any K H a ^ . For this, we recall that KH is an elementary topos. Then, we have ([16,17]):
Theorem 1 
(Knaster–Tarski). Let K be a complete internal poset in a topos, and suppose G : K K is an order-preserving map. Then, G has a fixed point, that is, there exists an object x : 1 K such that G x = x .
This result is central to proving the following claim:
Proposition 5. 
For each true p Λ , there exists a state in which it is common knowledge.
Proof. 
Consider a true p Λ . If p were not true, it could not be known, by definition of knowledge. Then, assume a sequence in A s e q , denoted a ^ :
a n ( a n 1 a n ) ( a n 2 a n 1 a n ) a ( a a ) a ^
such that a ^ satisfies uniformity and exchangeability. Given a p Λ , we consider the class of presheaves KH ¯ = { K H KH : K H a ¯ , for   every a ¯ a ^ with K H = { p } } . This class is non-empty in KH , since there always exists a K H such that each section is non-empty.
We can now define a category K P , in which its set of objects is K P 0 = { K H , K H a n , K H a n 1 a n , , K H a , K H a n a , , K H a a , K H a ^ , for   each K H KH ¯ } . The data of K P includes a set K P 1 of morphisms among the objects of K P 0 (inherited from the category KH ) as well as the set K P 2 of the composable morphisms between them. The morphisms assigning domains, codomains, and identities, as well as first and second members of composable pairs, satisfy the conditions of an internal category ([16], p. 317).
For each morphism f : a x ¯ a , we define K H a K H x ¯ a for every K H KH ¯ . With this order relation, K P becomes an internal poset.
K P is a complete poset. To see this, consider any set { K H 1 a ¯ 1 , , K H α a ¯ α } in K P 0 (where α is not necessarily a finite ordinal). Take the least upper bound of { a ¯ 1 , , a ¯ α } , denoted a ¯ . Then, take j = 1 α K H j a ¯ . There always exists a presheaf KH KH that satisfies the condition of having non-empty sections at all the elements in the sequence a ^ and such that KH a ¯ = j = 1 α K H j a ¯ . It follows that for each K H j a ¯ j KH a ¯ , for each j = 1 , , α .
Since In : K P K P is order preserving, according to Theorem 1, there exists a K H a ^ such that In ( K H ) a ^ = K H a ^ . It follows that each γ ^ K H a ^ is such that η a ^ [ γ ^ ] = γ ^ , for η a ^ : K H a ^ In ( K H ) a ^ .
For each true p Λ a corresponding complete internal poset K P can be defined, proving the claim. □
In Figure 3, we represent the iterative succession of steps that lead to a fixed point based on A = { a , b } .
Notice the connection between this approach and a coalgebraic one. A coalgebra would consist of a K H and a morphism ϕ in K P , ϕ : K H In ( K H ) . Proposition 5 trivially shows the existence of such coalgebra, namely KH and the morphism ϕ : KH In ( KH ) . On the other hand, we can see that common knowledge arises as the greatest fixed point of the monotone operator X In ( X ) constrained by uniformity and exchangeability, with existence guaranteed by the Knaster–Tarski theorem in the complete internal poset K P . This closes the gap with Kripke-based formalism, where ‘p is common knowledge” can be written as C G p = ν X . ( p In ( X ) ) .
In acts fiberwise on K H a ¯ , producing the nested unfolding over suffixes of a ¯ . Iterations In k are defined in terms of the multiplication μ : In In In that collapses lists of lists. That is, In k is performed by iterated applications of μ . So, for instance,
In k ( X ) = μ ( In ( In ( ( X ) ) ) k times
Then, an infinite a ¯ produces a fixed point under the map K H a ¯ In ( K H ) a ¯ when uniformity and exchangeability hold.
On the contrary, if a ¯ does not satisfy uniformity and exchangeability, there might not exist a commonly known proposition p Λ at the corresponding states.

7. Common Knowledge in a Presheaf

The proof of Proposition 5 shows that for each p Λ , there exists a state at which p is common knowledge. Yet it remains indeterminate at this point whether any particular given K H in KH in fact supports common knowledge. To address this issue, consider any a ^ A satisfying uniformity and exchangeability and a corresponding a ^ = { , a , ( a n 1 a n ) , , a , , ( a n , a ) , , ( a a ) , , a ¯ } . Then, consider a K P given by the sequence
K H K H a n K H a K H a a K H a ^
If we apply the forgetful functor F to K H , we eliminate all other structures than the set-theoretical one. In particular, on K P , it yields the sequence of sets underlying each of the sets of states in the sequence. That is, we obtain the sequence { F ( K H ) a ¯ } a ¯ a ^ , i.e., the fiber on F ( K H ) a ^ . Then, recalling the fiber non-emptiness condition, the forgetful functor translates each section in a knowledge hierarchy into a set of sentences, yielding the following result:
Proposition 6. 
Given a sequence a ^ A and the fiber over F ( K H ) a ^ , if a ¯ a ^ F ( K H ) a ¯ , there exists p Λ that is common knowledge.
Proof. 
Trivial. If a ¯ a ^ F ( K H ) a ¯ , there exists an element γ F ( K H ) a ¯ for every a ¯ a ^ . In particular, γ F ( K H ) . Yet F ( K H ) = K H , and thus γ p Λ . Then, p is included in the definition of the states in K H a ¯ , K H a ¯ a ¯ , K H a ¯ a ¯ a ¯ , , K H a ^ and thus it indicates that “everybody knows p”, “everybody knows that everybody knows p”, …. Thus, p is common knowledge. □
Note that a crucial condition for this result is that the fiber over K H a ^ is non-empty. This means that there exists a state at which all the agents agree on the validity of a certain proposition p. This can be seen as somehow related to Aumann’s Agreeing to Disagree theorem ([37]) which shows that given a common prior, common knowledge of differing posteriors is impossible. If agents differ (say, one agent knows a proposition q while others do not), if there exists a state at which this is known by all the agents, then “not everybody knows q” is common knowledge. A corollary of Proposition 6 would be that if there exists a state in the intersection of all the objects in the fiber over F ( K H ) a ^ not only exists a p Λ that is common knowledge but also any proposition like “not everybody knows q” is not common knowledge, for any q that is not common knowledge.
This is exactly the same condition for the initial K H used in the proof of Proposition 5. Then, not every K H supports common knowledge.
Example 1. 
Let us consider A = { a , b } such that
  • K H = { p } , K H a ¯ = { p a ¯ } for every a ¯ that is a sequence, finite or infinite of a’s. p a ¯ can be understood as “p is known by a ¯ ”,
  • K H b ¯ = { p b ¯ } for every b ¯ that is a sequence of b’s (with the same interpretation of p b ¯ ),
  • K H s = for every s A in which both a and b appear.
In particular, we have K H a b = = K H b a , where ( a b ) and ( b a ) are the uniform and exchangeable sequences in A s e q . If follows that, since the forgetful functor yields fibers over F ( K H ) ( a b ) and F ( K H ) ( b a ) with empty intersections, p is not common knowledge in K H .
Example 2. 
Let us consider again A = { a , b } , where a and b are two competing agents trying to figure out the value of a painting they want to buy. Take p : t h e   p a i n t i n g   i s   w o r t h $ 1 M and a K H such that K H = p .
Then, a sequence a ¯ satisfying uniformity and exchangeability will be such that given any particular finite initial subsequence of a ¯ , for instance a b a b , we will have that for γ a b a b K H a b a b , it corresponds γ a b a , γ a b , γ a , p In ( K H ) a b a b .
According to the proof of Proposition 5, there exists γ a ¯ K H a ¯ such that η a ¯ [ γ a ¯ ] = γ a ¯ , , p , and thus γ a ¯ supports all the claims of the form “ K a ¯ [ K a b a b [ K a [ p ] ] ] and furthermore, K a ¯ [ γ a ¯ ] and thus K a ¯ [ K a ¯ [ p ] ] . That is, p is common knowledge between a and b.

8. Main Results

A summary of the main formal findings of this investigation is as follows:
  • Proposition 3 indicates that, if uniformity and exchangeability are satisfied by an infinite sequence of agents, for any ensuing fixed-point knowledge hierarchy, there exists a proposition that is common knowledge.
  • Proposition 5 uses Knaster–Tarski’s fixed-point theorem to show that if a proposition p is true, a knowledge hierarchy over a uniform and exchangeable sequence of agents can be built, such that it is a fixed-point and thus that p is common knowledge.
  • Proposition 6 elaborates on those previous results, showing that given a uniform and exchangeable sequence of agents, any knowledge hierarchy built over it makes the underlying proposition p common knowledge.
Example 3. 
Let us consider A = { a , b } , p = t h e   p a i n t i n g   i s   w o r t h   1 M and consider an infinite a ¯ satisfying uniformity and exchangeability. The unfolding endofunctor In maps any γ K H a ¯ to γ , γ 1 , , p and, by internal Knaster–Tarski, there exists K H a ¯ = In ( K H ) a ¯ , which entails that K a [ K b [ K a [ K b [ p ] ] ] ] holds at all finite depths and thus that p is common knowledge between a and b in K H .
Example 4. 
(failure): Let us consider again A = { a , b } , and define a presheaf with K H a a = p a (a knows p) and K H b b = p b (b knows p), but K H s = whenever both a and b appear in a sequence s. Then, the fibers over sequences mixing a and b’s knowledge are empty, so there is no state supporting even mutual knowledge, and hence no fixed point realizing common knowledge for p in this K H , illustrating how fiber non-emptiness and symmetry matter for common knowledge.

9. Discussion

In the last sections, we have addressed the challenge of representing the infinite hierarchy of nested knowledge states inherent in the definition of common knowledge. As it is well known, the traditional set-theoretical and modal logic approaches to common knowledge tend to struggle with this infinity.
Our approach is based upon the idea of characterizing common knowledge as a fixed point (an event being common knowledge is equivalent to it being a public event). Yet we had to address the issue that simply using a powerset functor (as might be suggested by Aumann’s set-theoretical framework) does not readily yield fixed points. This calls for the use of new tools. Category Theory excels at modeling relationships between objects rather than focusing on the objects themselves. This is particularly useful for common knowledge, which is inherently about the relationships between agents’ knowledge states.
Embedding the problem within a topos provides a rich structure with features like a subobject classifier and the ability to define an internal logic. Crucially, the topos structure facilitates the construction of a complete partial order, which is essential for applying a categorical version of the Knaster–Tarski theorem to guarantee the existence of fixed points.
The core idea is to define an endofunctor that represents the “knowledge about knowledge about knowledge...” process. A monad helps to ensure that this iterative process, when applied to this endofunctor, leads to a stable state (a fixed point) that represents common knowledge.
Our key contributions are the following:
  • The formal representation of functorial relations between states of the world and chains of statements about the knowledge of agents.
  • Proving the existence of fixed points within a topos, representing states of common knowledge, provides a rigorous foundation for common knowledge, closing the gap between Lewis’ rather informal description with that of set-theoretic approaches.
In practical terms, recalling our running example of a $ 1 M painting, consider two individuals a and b, a potential buyer and the seller, respectively. The uniformity and exchangeability requirements mean that it does not matter if the seller knows that the buyer knows the value of the painting or the other way around. If that is the case, and if at any level of nesting there is some state of knowledge involving the two agents, the knowledge hierarchy has a fixed point, in which “the painting is worth $ 1 M ” is common knowledge.

10. Conclusions and Further Work

The categorical formalism provides a new lens to examine the problem of the existence of common knowledge. The uniformity and exchangeability conditions on the inputs to the knowledge functors indicate that the order in which agents “take turns” in reasoning matters. We also found that the use of the rich topos formalism makes the question of the existence of common knowledge reducible to a straightforward application of the Tarski–Knaster theorem. Furthermore, the existence of a subobject classifier permits the development of a formal logical approach in which statements may refer to other statements, in a way that for the derivation of (contravariant) Harsanyi-like hierarchies is free of the circularities induced in the usual set-theoretic framework.
The category KH equipped with the monad ( In , η , μ ) provides a categorical framework for treating the problem of common knowledge from the perspective of fixed-points of an endofunctor defined on presheaves over the category of hierarchies of a fixed set of agents. Our main result is that under the conditions of uniformity and exchangeability, a fixed point may be determined such that the associated proposition necessarily takes the form of common knowledge among the agents in the model.
Common knowledge may be conceived not only as a property of a set of diverse agents but also as a form of collective agency in its own right. The uniformity and exchangeability conditions that ensure the existence of common knowledge indicate that the sequence a acts as a “collective agent”.
In further research, we hope to extend the categorical framework for common knowledge established here in the direction of a formal theory of collective agency. More generally, we hope to embed a theory of collective agency in a categorical framework that will be able to account for the phenomenon of autopoiesis at multiple levels of organization.

Author Contributions

Conceptualization, F.T., R.G. and G.C.; Methodology, F.T., R.G. and G.C.; Formal analysis, F.T., R.G. and G.C.; Investigation, F.T., R.G. and G.C.; Writing—original draft, F.T., R.G. and G.C. All authors contributed equally. All authors have read and agreed to the published version of the manuscript.

Funding

This research received no external funding.

Data Availability Statement

No new data were created or analyzed in this study.

Conflicts of Interest

The authors declare no conflicts of interest.

References

  1. Spivak, D.I. Categories as Mathematical Models. In Categories for the Working Philosopher; Landry, E., Ed.; Oxford University Press: Oxford, UK, 2017. [Google Scholar]
  2. Fagin, R.; Halpern, J.; Moses, Y.; Vardi, M. Common Knowledge Revisited. Ann. Pure Appl. Log. 1999, 96, 89–105. [Google Scholar] [CrossRef]
  3. Bonanno, G.; Battigalli, P. Recent Results on Belief, Knowledge and the Epistemic Foundations of Game Theory. Res. Econ. 1999, 53, 149–225. [Google Scholar] [CrossRef]
  4. Brandenburger, A.; Dekel, E. Common Knowledge with Probability 1. J. Math. Econ. 1987, 16, 237–245. [Google Scholar] [CrossRef]
  5. Osborne, M.; Rubinstein, A. A Course in Game Theory; MIT Press: Cambridge, MA, USA, 1994. [Google Scholar]
  6. Vassilakis, S. Some Economic Applications of Scott Domains. Math. Soc. Sci. 1992, 24, 173–208. [Google Scholar] [CrossRef]
  7. Aumann, R. Interactive epistemology I: Knowledge. Int. J. Game Theory 1999, 28, 263–300. [Google Scholar] [CrossRef]
  8. Geanakoplos, J. Game Theory without Partitions, and Applications to Speculation and Consensus. BE J. Theor. Econ. 2021, 21, 361–394. [Google Scholar] [CrossRef]
  9. Bicchieri, C. Rationality and Coordination; Cambridge University Press: Cambridge, UK, 1993. [Google Scholar]
  10. Friedell, M.F. On the Structure of Shared Awareness. Behav. Sci. 1969, 14, 28–39. [Google Scholar] [CrossRef]
  11. Geanakoplos, J. Common Knowledge. In Handbook of Game Theory; Aumann, R., Hart, S., Eds.; North-Holland: Amsterdam, The Netherlands, 1994; Volume 2, pp. 1438–1496. [Google Scholar]
  12. Heifetz, A. Iterative and Fixed Point Common Belief. J. Philos. Log. 1999, 28, 61–79. [Google Scholar] [CrossRef]
  13. Khrennikov, A.; Basieva, I. Possibility to Agree on Disagree from Quantum Information and Decision Making. J. Math. Psychol. 2014, 62, 1–15. [Google Scholar] [CrossRef]
  14. Lismont, L.; Mongin, P. On the Logic of Common Belief and Common Knowledge. Theory Decis. 1994, 37, 75–106. [Google Scholar] [CrossRef]
  15. Moss, L.; Viglizzo, I. Harsanyi Type Spaces and Final Coalgebras constructed from Satisfied Theories. Electron. Notes Theor. Comput. Sci. 2004, 106, 279–295. [Google Scholar] [CrossRef][Green Version]
  16. Johnstone, P. Sketches of an Elephant: A Topos Theory Compendium; Oxford University Press: Oxford, UK, 2002. [Google Scholar]
  17. Subrahmanyam, P.V. Elementary Fixed Point Theorems; Springer: Berlin/Heidelberg, Germany, 2018. [Google Scholar]
  18. Tohmé, F. Economic Theory and the Alternative Set Theory AFA + AD + DC. Log. J. IGPL 2009, 17, 179–203. [Google Scholar] [CrossRef]
  19. Peralta, E.; Tohmé, F. The Scope of Provability. Synthese 2023, 202, 19. [Google Scholar] [CrossRef]
  20. Hintikka, J. Knowledge and Belief; Cornell University Press: Ithaca, NY, USA, 1962. [Google Scholar]
  21. Vanderschraaf, P.; Sillari, G. Common Knowledge. In Stanford Encyclopedia of Philosophy; SEP Publishing: New York, NY, USA, 2022; Available online: https://plato.stanford.edu/entries/common-knowledge/ (accessed on 5 August 2025).
  22. Fagin, R.; Halpern, J.; Moses, Y.; Vardi, M. Reasoning About Knowledge; MIT Press: Cambridge, MA, USA, 1995. [Google Scholar]
  23. Baltag, A.; Moss, L.S.; Solecki, S. The Logic of Public Announcements, Common Knowledge, and Private Suspicions. In Readings in Formal Epistemology: Sourcebook; Springer: Cham, Switzerland, 2016; pp. 773–812. [Google Scholar]
  24. Baltag, A.; Moss, L.S.; Solecki, S. Logics for Epistemic Actions: Completeness, Decidability, Expressivity. Logics 2023, 1, 97–147. [Google Scholar] [CrossRef]
  25. Baltag, A.; Renne, B. Dynamic Epistemic Logic. In Stanford Encyclopedia of Philosophy; SEP Publishing: New York, NY, USA, 2016; Available online: https://plato.stanford.edu/entries/dynamic-epistemic/ (accessed on 5 August 2025).
  26. Pinker, S. When Everyone Knows That Everyone Knows…: Common Knowledge and the Science of Harmony, Hypocrisy and Outrage; Random House: New York, NY, USA, 2025. [Google Scholar]
  27. Baltag, A.; Bezhanishvili, N.; Fernández-Duque, D. The Topological μ-Calculus: Completeness and Decidability. J. ACM 2023, 70, 33. [Google Scholar] [CrossRef]
  28. Barwise, J.; Moss, L. Vicious Circles: On the Mathematics of Non-Wellfounded Phenomena; CSLI Publications: Stanford, CA, USA, 1996. [Google Scholar]
  29. Barwise, J. Three Views of Common Knowledge. In Proceedings of the Second Conference on Theoretical Aspects of Reasoning About Knowledge; Vardi, M., Ed.; Morgan Kaufman: San Francisco, CA, USA, 1988; pp. 365–379. [Google Scholar]
  30. Lewis, D. Convention: A Philosophical Study; Harvard University Press: Cambridge, MA, USA, 1969. [Google Scholar]
  31. Meyer, J.-J.C.H.; van der Hoek, W. Epistemic Logic for Computer Science and Artificial Intelligence; Cambridge University Press: Cambridge, UK, 1995. [Google Scholar]
  32. Tohmé, F.; Caterina, G.; Gangle, R. A Categorical Characterization of a ①-Iteratively Defined State of Common Knowledge. Contrib. Game Theory Manag. 2021, 14, 329–341. [Google Scholar] [CrossRef]
  33. Rendsvig, R.; Symons, J.; Wang, Y. Epistemic Logic. In Stanford Encyclopedia of Philosophy; SEP Publishing: New York, NY, USA, 2023; Available online: https://plato.stanford.edu/entries/logic-epistemic/ (accessed on 5 August 2025).
  34. Li, D.; Ghosh, S.; Liu, F. Reasoning under Uncertainty in the Game of Cops and Robbers. Synthese 2025, 206, 101. [Google Scholar] [CrossRef]
  35. Ditmarsch, H.; Hoek, W.; Kooi, B. Dynamic Epistemic Logic; Springer: Dordrecht, The Netherlands, 2008. [Google Scholar]
  36. Ditmarsch, H.V.; Goubault, É.; Ledent, J.; Rajsbaum, S. Knowledge and Simplicial Complexes. In Philosophy of Computing; Philosophical Studies Series; Lundgren, B., Nuñez Hernández, N.A., Eds.; Springer: Cham, Switzerladn, 2022; Volume 143, pp. 1–50. [Google Scholar]
  37. Aumann, R. Agreeing to Disagree. Ann. Stat. 1976, 4, 1236–1239. [Google Scholar] [CrossRef]
  38. Monderer, D.; Samet, D. Approximating Common Knowledge with Common Beliefs. Games Econ. Behav. 1989, 1, 170–190. [Google Scholar] [CrossRef]
  39. Morris, S.; Shin, H.S.; Yildiz, M. Common Belief Foundations of Global Games. J. Econ. Theory 2016, 163, 826–848. [Google Scholar] [CrossRef]
  40. Morris, S.; Yang, M. Coordination and Continuous Stochastic Choice. Rev. Econ. Stud. 2022, 89, 2687–2722. [Google Scholar] [CrossRef]
  41. Benzmüller, C.; Reiche, S. Automating Public Announcement Logic with Relativized Common Knowledge as a Fragment of HOL in LogiKEy. J. Log. Comput. 2023, 33, 1243–1269. [Google Scholar] [CrossRef]
  42. Li, Y.; Wang, Y. Neighborhood Semantics for Logic of Knowing How. Synthese 2021, 199, 8611–8639. [Google Scholar] [CrossRef]
  43. Areces, C.; Fervari, R.; Saravia, A.R.; Velázquez-Quesada, F.R. Uncertainty-based Knowing How Logic. J. Log. Comput. 2025, 35, 1–35. [Google Scholar] [CrossRef]
  44. Venema, Y. Coalgebra and Modal Logic: An Introduction; Institute for Logic, Language and Computation, University of Amsterdam, 2019. Available online: https://staff.science.uva.nl/y.venema/teaching/ml/notes/20191215-cml.pdf (accessed on 5 August 2025).
  45. Hansen, H.H.; Poiger, W. Safety and Strong Completeness via Reducibility for Many-Valued Coalgebraic Dynamic Logics. In Proceedings of the 11th Conference on Algebra and Coalgebra in Computer Science, CALCO 2025, Glasgow, UK, 16–18 June 2025; Available online: https://drops.dagstuhl.de/storage/00lipics/lipics-vol342-calco2025/LIPIcs.CALCO.2025/LIPIcs.CALCO.2025.pdf (accessed on 5 August 2025).
  46. Hansen, H.H. Coalgebras and their Modal Logics: Polynomial Functors and Beyond. 2021. Available online: https://toposinstitute.github.io/p-func-workshop/2021/slides/hansen2.pdf (accessed on 5 August 2025).
  47. Mac Lane, S. Categories for the Working Mathematician; Springer: New York, NY, USA, 2013. [Google Scholar]
  48. Spivak, D.I. Category Theory for the Sciences; MIT Press: Cambridge, MA, USA, 2014. [Google Scholar]
  49. Manes, E.; Arbib, M. Algebraic Approaches to Program Semantics; Springer: New York, NY, USA, 1986. [Google Scholar]
  50. Milewski, B. Category Theory for Programmers; Lightning Source: Milton Keynes, UK, 2019. [Google Scholar]
  51. Tohmé, F.; Caterina, G.; Gangle, R. Iterated Admissibility Through Forcing in Strategic Belief Models. J. Log. Lang. Inf. 2020, 29, 491–509. [Google Scholar] [CrossRef]
  52. Vardi, M. Why Is Modal Logic So Robustly Decidable? 1997. Available online: https://hdl.handle.net/1911/96465 (accessed on 5 August 2025).
  53. Kane, J.; Naumov, P. Symmetries and epistemic reasoning. In Computational Logic in Multi-Agent Systems; Springer: Berlin/Heidelberg, Germany, 2013; pp. 190–205. [Google Scholar]
Figure 1. Example of a contravariant functor K H .
Figure 1. Example of a contravariant functor K H .
Mathematics 14 00958 g001
Figure 2. Representation of In on A = { a , b } . The hierarchy K H is built over sequences of A . For each section, K H a ¯ , In ( K H ) a ¯ yields the sequence of statements supporting the state γ a ¯ K H a ¯ in that section.
Figure 2. Representation of In on A = { a , b } . The hierarchy K H is built over sequences of A . For each section, K H a ¯ , In ( K H ) a ¯ yields the sequence of statements supporting the state γ a ¯ K H a ¯ in that section.
Mathematics 14 00958 g002
Figure 3. Fixed point of η a ^ .
Figure 3. Fixed point of η a ^ .
Mathematics 14 00958 g003
Disclaimer/Publisher’s Note: The statements, opinions and data contained in all publications are solely those of the individual author(s) and contributor(s) and not of MDPI and/or the editor(s). MDPI and/or the editor(s) disclaim responsibility for any injury to people or property resulting from any ideas, methods, instructions or products referred to in the content.

Share and Cite

MDPI and ACS Style

Tohmé, F.; Gangle, R.; Caterina, G. A Monad-Based Formalization of Common Knowledge. Mathematics 2026, 14, 958. https://doi.org/10.3390/math14060958

AMA Style

Tohmé F, Gangle R, Caterina G. A Monad-Based Formalization of Common Knowledge. Mathematics. 2026; 14(6):958. https://doi.org/10.3390/math14060958

Chicago/Turabian Style

Tohmé, Fernando, Rocco Gangle, and Gianluca Caterina. 2026. "A Monad-Based Formalization of Common Knowledge" Mathematics 14, no. 6: 958. https://doi.org/10.3390/math14060958

APA Style

Tohmé, F., Gangle, R., & Caterina, G. (2026). A Monad-Based Formalization of Common Knowledge. Mathematics, 14(6), 958. https://doi.org/10.3390/math14060958

Note that from the first issue of 2016, this journal uses article numbers instead of page numbers. See further details here.

Article Metrics

Back to TopTop