Stability-Enhanced Pseudo-Multiview Learning via Multiscale Grid Feature Extraction
Abstract
1. Introduction
2. Related Work
2.1. Multiview Learning
2.2. Uncertainty-Aware and Pseudo-Multiview Learning
3. Proposed Method
3.1. Multiscale Grid Architecture
- It creates a structured set of psuedo-views with controlled complexity.
- It reduces the number of parameters per view, mitigating the model collapse problem observed in conventional PML.
- It encourages multiscale feature complementarity that is beneficial for difficult classification tasks.
3.2. Pre-Processing Block
3.3. Residual Dense Block
3.4. Downsampling for Multiscale View Generation
3.5. Spatial-Channel Attention Block
- The Channel Attention Block (CAB) applies global max and average pooling to estimate channel-wise importance. A shared Multi-Layer Perceptron (MLP) infers channel attention weights, which are applied via pixel-wise multiplication.
- The Spatial Attention Block (SAB) aggregates channel information via spatial max and average pooling, followed by a convolutional filter to compute spatial attention weights, which are also applied via pixel-wise multiplication.
3.6. Evidence Extraction and Opinion Fusion
- Belief:
- Uncertainty:
- Base rate: (uniform)
3.7. Loss Function
4. Experimental Results
4.1. Experimental Settings
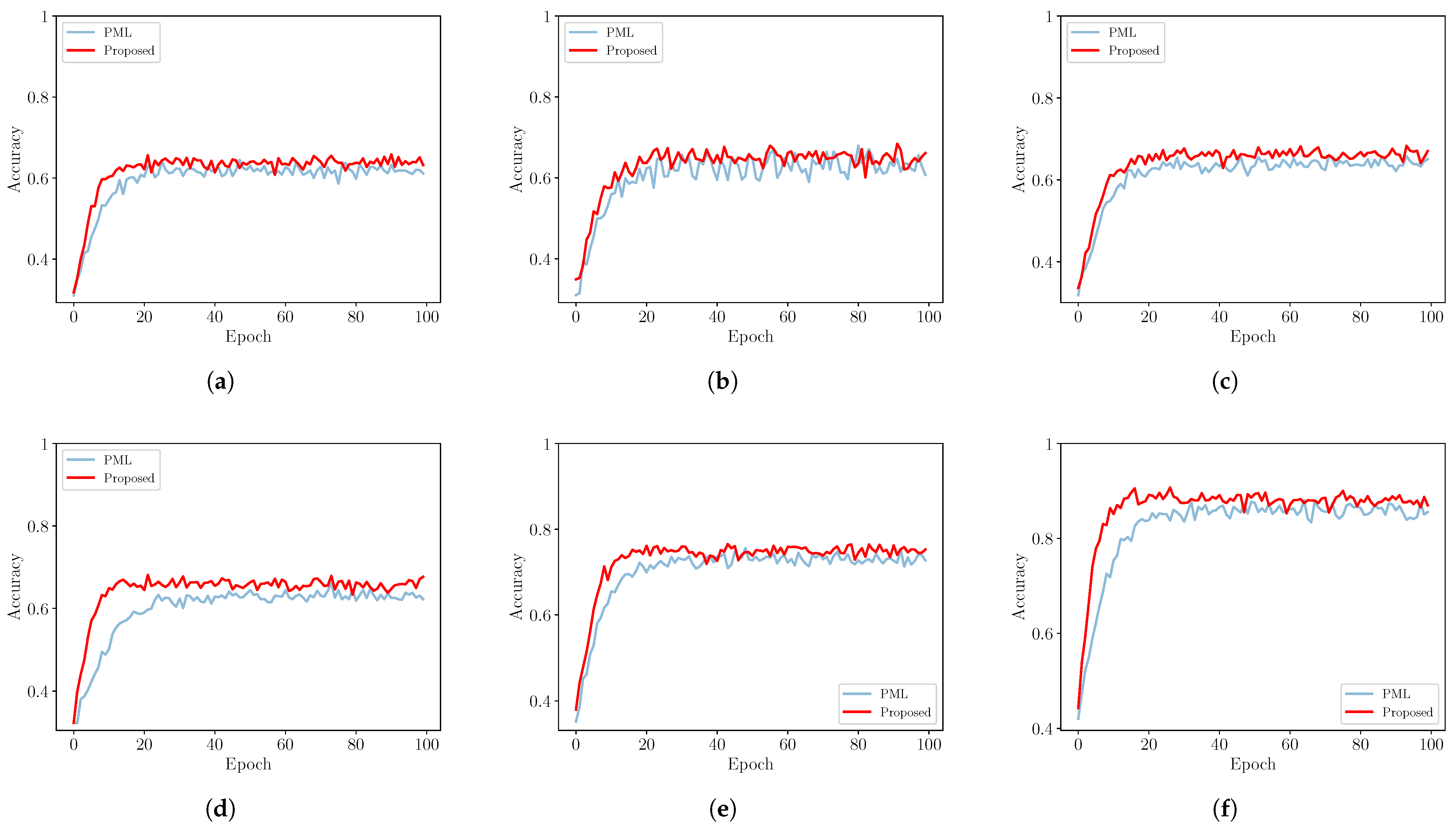
4.2. Comparison with Conventional Pseudo-Multivew Learning
4.2.1. Performance Comparison
4.2.2. Parameter Count Comparison
4.3. Comparison with Uncertainty-Aware Methods
4.4. Ablation Study
4.4.1. Multiscale Grid Architecture
- the baseline model without downsampler and SCAB;
- downsampler only (SCABs are replaced with addition operations);
- SCAB only (downsamplers are replaced with identity operations);
- the full model incorporating both modules.
4.4.2. Uncertainty Threshold
- it preserves most test samples;
- it delivers strong and stable performance across all datasets;
- it avoids the coverage loss and evaluation bias associated with overly strict thresholds.
4.4.3. Robustness to Noisy Input
- noise applied to the top branch;
- noise applied to the bottom branch.
5. Conclusions
Funding
Institutional Review Board Statement
Informed Consent Statement
Data Availability Statement
Conflicts of Interest
Appendix A
| Number of Views | AUC | ACC |
|---|---|---|
| 2 | ||
| 3 | ||
| 4 | ||
| 5 | ||
| 6 | ||
| Out of memory | ||

References
- Zayed, N.; Eldeep, G.; Yassine, I. Classification method based on surf and sift features for alzheimer diagnosis using diffusion tensor magnetic resonance imaging. Sci. Rep. 2025, 15, 9782. [Google Scholar] [CrossRef]
- Long, X.; Hu, S.; Hu, Y.; Gu, Q.; Ishii, I. An FPGA-Based Ultra-High-Speed Object Detection Algorithm with Multi-Frame Information Fusion. Sensors 2019, 19, 3707. [Google Scholar] [CrossRef]
- Shao, J.; Liu, X.; He, W. Kernel Based Data-Adaptive Support Vector Machines for Multi-Class Classification. Mathematics 2021, 9, 936. [Google Scholar] [CrossRef]
- Escobar, J.; Rodriguez, F.; Prieto, B.; Kimovski, D.; Ortiz, A.; Damas, M. A distributed and energy-efficient KNN for EEG classification with dynamic money-saving policy in heterogeneous clusters. Computing 2023, 105, 2487–2510. [Google Scholar] [CrossRef]
- LeCun, Y.; Bengio, Y.; Hinton, G. Deep Learning. Nature 2015, 521, 436–444. [Google Scholar] [CrossRef]
- Tan, M.; Le, Q. EfficientNet: Rethinking Model Scaling for Convolutional Neural Networks. In Proceedings of the 36th International Conference on Machine Learning (ICML), Long Beach, CA, USA, 9–15 June 2019; pp. 6105–6114. [Google Scholar]
- Rao, Y.; Zhao, W.; Tang, Y.; Zhou, J.; Lim, S.; Lu, J. HorNet: Efficient high-order spatial interactions with recursive gated convolutions. In Proceedings of the 36th International Conference on Neural Information Processing Systems (NIPS), New Orleans, LA, USA, 28 November–9 December 2022; pp. 10353–10366. [Google Scholar]
- Woo, S.; Debnath, S.; Hu, R.; Chen, X.; Liu, Z.; Kweon, I.S.; Xie, S. ConvNeXt V2: Co-designing and Scaling ConvNets with Masked Autoencoders. In Proceedings of the 2023 IEEE/CVF Conference on Computer Vision and Pattern Recognition (CVPR), Vancouver, BC, Canada, 17–24 June 2023; pp. 16133–16142. [Google Scholar] [CrossRef]
- Khan, A.; Khan, A. Multi-axis vision transformer for medical image segmentation. Eng. Appl. Artif. Intell. 2025, 158, 111251. [Google Scholar] [CrossRef]
- Russakovsky, O.; Deng, J.; Su, H.; Krause, J.; Satheesh, S.; Ma, S.; Huang, Z.; Karpathy, A.; Khosla, A.; Bernstein, M.; et al. Very Deep Convolutional Networks for Large-Scale Image Recognition. Int. J. Comput. Vis. 2015, 115, 211–252. [Google Scholar] [CrossRef]
- Cengil, E.; Cinar, A. The effect of deep feature concatenation in the classification problem: An approach on COVID-19 disease detection. Int. J. Imaging Syst. Technol. 2021, 32, 26–40. [Google Scholar] [CrossRef]
- Guo, C.; Pleiss, G.; Sun, Y.; Weinberger, K. On calibration of modern neural networks. In Proceedings of the 34th International Conference on Machine Learning (ICML), Sydney, Australia, 6–11 August 2017; pp. 1321–1330. [Google Scholar]
- Kwon, Y.; Won, J.; Kim, B.; Paik, M. Uncertainty quantification using Bayesian neural networks in classification: Application to biomedical image segmentation. Comput. Stat. Data Anal. 2020, 142, 106816. [Google Scholar] [CrossRef]
- Linka, K.; Holzapfel, G.; Kuhl, E. Discovering uncertainty: Bayesian constitutive artificial neural networks. Comput. Methods Appl. Mech. Eng. 2025, 433, 117517. [Google Scholar] [CrossRef]
- Amersfoort, J.; Smith, L.; Teh, Y.; Gal, Y. Uncertainty estimation using a single deep deterministic neural network. In Proceedings of the 37th International Conference on Machine Learning (ICML), Vienna, Austria, 12–18 July 2020; pp. 9690–9700. [Google Scholar]
- Alrweili, H.; Alotaibi, E. Bayesian and non-bayesian estimation of Marshall-Olkin XLindley distribution in presence of censoring, cure fraction, and application on medical data. Alex. Eng. J. 2025, 112, 633–646. [Google Scholar] [CrossRef]
- Jøsang, A. Subjective Logic: A Formalism for Reasoning Under Uncertainty; Springer: Cham, Switzerland, 2016. [Google Scholar]
- Ngo, D. Pseudo-Multiview Learning Using Subjective Logic for Enhanced Classification Accuracy. Mathematics 2025, 13, 2085. [Google Scholar] [CrossRef]
- Li, Y.; Yang, M.; Zhang, Z. A Survey of Multi-View Representation Learning. IEEE Trans. Knowl. Data Eng. 2019, 31, 1863–1883. [Google Scholar] [CrossRef]
- Zhang, C.; Adeli, E.; Zhou, T.; Shen, X.; Shen, D. Multi-Layer Multi-View Classification for Alzheimer’s Disease Diagnosis. In Proceedings of the 32nd AAAI Conference on Artificial Intelligence, New Orleans, LA, USA, 2–7 February 2018; pp. 4406–4413. [Google Scholar]
- Zhang, C.; Cui, Y.; Han, Z.; Zhou, J.T.; Fu, H.; Hu, Q. Deep Partial Multi-View Learning. IEEE Trans. Pattern Anal. Mach. Intell. 2022, 44, 2402–2415. [Google Scholar] [CrossRef]
- Long, T.; Xie, Y.; Chen, X.; Zhang, W.; Cao, Q.; Yu, Y. Multi-View Graph Representation for Programming Language Processing: An Investigation into Algorithm Detection. In Proceedings of the 36th AAAI Conference on Artificial Intelligence, Online, 22 February–1 March 2022; pp. 5792–5799. [Google Scholar] [CrossRef]
- Liu, X.; Zhu, X.; Li, M.; Wang, L.; Tang, C.; Yin, J.; Shen, D.; Wang, H.; Gao, W. Late Fusion Incomplete Multi-View Clustering. IEEE Trans. Pattern Anal. Mach. Intell. 2019, 41, 2410–2423. [Google Scholar] [CrossRef]
- Liu, X.; Li, M.; Tang, C.; Xia, J.; Xiong, J.; Liu, L.; Kloft, M.; Zhu, E. Efficient and Effective Regularized Incomplete Multi-View Clustering. IEEE Trans. Pattern Anal. Mach. Intell. 2021, 43, 2634–2646. [Google Scholar] [CrossRef]
- Liu, X. Hyperparameter-Free Localized Simple Multiple Kernel K-means With Global Optimum. IEEE Trans. Pattern Anal. Mach. Intell. 2023, 45, 8566–8576. [Google Scholar] [CrossRef] [PubMed]
- Wang, J.; Tang, C.; Zheng, X.; Liu, X.; Zhang, W.; Zhu, E.; Zhu, X. Fast Approximated Multiple Kernel K-Means. IEEE Trans. Knowl. Data Eng. 2024, 36, 6171–6180. [Google Scholar] [CrossRef]
- Tang, C.; Li, Z.; Wang, J.; Liu, X.; Zhang, W.; Zhu, E. Unified One-Step Multi-View Spectral Clustering. IEEE Trans. Knowl. Data Eng. 2023, 35, 6449–6460. [Google Scholar] [CrossRef]
- Hermosilla, D.; Codorniu, R.; Baracaldo, R.; Zamora, R.; Rodriguez, D.; Mayor, J.; Alvarez, J. Monte Carlo Dropout for Uncertainty Estimation and Motor Imagery Classification. Sensors 2021, 21, 7241. [Google Scholar] [CrossRef]
- Heo, J.; Lee, H.; Kim, S.; Lee, J.; Kim, K.; Yang, E.; Ju, S. Uncertainty-aware attention for reliable interpretation and prediction. In Proceedings of the 32nd International Conference on Neural Information Processing Systems (NIPS), Montreal, QC, Canada, 3–8 December 2018; pp. 917–926. [Google Scholar]
- Sensoy, M.; Kaplan, L.; Kandemir, M. Evidential deep learning to quantify classification uncertainty. In Proceedings of the 32nd International Conference on Neural Information Processing Systems (NIPS), Montreal, QC, Canada, 3–8 December 2018; pp. 3183–3193. [Google Scholar]
- Chen, T.; Komblith, S.; Norouzi, M.; Hinton, G. A simple framework for contrastive learning of visual representations. In Proceedings of the 37th International Conference on Machine Learning (ICML), Virtual, 13–18 July 2020; pp. 1597–1607. [Google Scholar]
- Liu, M.; Breuel, T.; Kautz, J. Unsupervised image-to-image translation networks. In Proceedings of the 31st International Conference on Neural Information Processing Systems (NIPS), Long Beach, CA, USA, 4–9 December 2017; pp. 700–708. [Google Scholar]
- Gidaris, S.; Singh, P.; Komodakis, N. Unsupervised Representation Learning by Predicting Image Rotations. In Proceedings of the 6th International Conference on Learning Representations (ICLR), Vancouver, BC, Canada, 30 April–3 May 2018. [Google Scholar]
- Huang, Y.; Shen, Z.; Li, T.; Lv, F. Unified view imputation and feature selection learning for incomplete multi-view data. In Proceedings of the 33rd International Joint Conference on Artificial Intelligence (IJCAI), Jeju, Republic of Korea, 3–9 August 2024; pp. 4192–4200. [Google Scholar] [CrossRef]
- Zamir, S.; Arora, A.; Khan, S.; Hayat, M.; Khan, F.; Yang, M.; Shao, L. Learning Enriched Features for Real Image Restoration and Enhancement. In Proceedings of the 16th European Conference on Computer Vision (ECCV), Glasgow, UK, 23–28 August 2020; pp. 492–511. [Google Scholar] [CrossRef]
- Wu, H.; Li, Z.; Wen, Z. MGFNet: A multiscale gated fusion network for multimodal semantic segmentation. Vis. Comput. 2025, 41, 9043–9055. [Google Scholar] [CrossRef]
- Huo, X.; Sun, G.; Tian, S.; Wang, Y.; Yu, L.; Long, J.; Zhang, W.; Li, A. HiFuse: Hierarchical multi-scale feature fusion network for medical image classification. Biomed. Signal Process. Control 2024, 87, 105534. [Google Scholar] [CrossRef]
- Liu, X.; Shi, Z.; Wu, Z.; Chen, J.; Zhai, G. GridDehazeNet+: An Enhanced Multi-Scale Network With Intra-Task Knowledge Transfer for Single Image Dehazing. IEEE Trans. Intell. Transp. Syst. 2023, 24, 870–884. [Google Scholar] [CrossRef]
- Spanhol, F.A.; Oliveira, L.S.; Petitjean, C.; Heutte, L. A Dataset for Breast Cancer Histopathological Image Classification. IEEE Trans. Biomed. Eng. 2015, 63, 1455–1462. [Google Scholar] [CrossRef] [PubMed]
- Parkhi, O.M.; Vedaldi, A.; Zisserman, A.; Jawahar, C.V. Cats and dogs. In Proceedings of the IEEE Conference on Computer Vision and Pattern Recognition (CVPR), Providence, RI, USA, 16–21 June 2012; pp. 3498–3505. [Google Scholar] [CrossRef]
- Kermany, D.S.; Goldbaum, M.; Cai, W.; Valentim, C.C.; Liang, H.; Baxter, S.L.; McKeown, A.; Yang, G.; Wu, X.; Yan, F.; et al. Identifying Medical Diagnoses and Treatable Diseases by Image-Based Deep Learning. Cell 2018, 172, 1122–1131. [Google Scholar] [CrossRef]
- Zhou, K.; Liu, Z.; Qiao, Y.; Xiang, T.; Loy, C.C. Domain Generalization: A Survey. IEEE Trans. Pattern Anal. Mach. Intell. 2023, 45, 4396–4415. [Google Scholar] [CrossRef]
- Wang, J.; Lan, C.; Liu, C.; Ouyang, Y.; Qin, T.; Lu, W.; Chen, Y.; Zeng, W.; Yu, P. Generalizing to Unseen Domains: A Survey on Domain Generalization. IEEE Trans. Knowl. Data Eng. 2023, 35, 8052–8072. [Google Scholar] [CrossRef]
- Microsoft. Neural Network Intelligence. Available online: https://nni.readthedocs.io/en/stable/ (accessed on 17 December 2024).








| Step | Formula | Example |
|---|---|---|
| Input | , , | |
| , | ||
| Evidence conversion | ||
| W is a non-informative weight | ||
| Opinion fusion | ||
| Fused opinion | , , |
| Dataset | Number of Views | AUC | ACC | ||
|---|---|---|---|---|---|
| Conventional | Proposed | Conventional | Proposed | ||
| BreakHis 40× | 2 | ||||
| 3 | |||||
| 4 | |||||
| BreakHis 100× | 2 | ||||
| 3 | |||||
| 4 | |||||
| BreakHis 200× | 2 | ||||
| 3 | |||||
| 4 | |||||
| BreakHis 400× | 2 | ||||
| 3 | |||||
| 4 | |||||
| Oxford-IIIT Pet | 2 | ||||
| 3 | |||||
| 4 | |||||
| Chest X-ray | 2 | ||||
| 3 | |||||
| 4 | |||||
| Number of Views | PML | Proposed | Reduction Rate |
|---|---|---|---|
| 2 | 269,812 | 266,042 | |
| 3 | 398,822 | 386,578 | |
| 4 | 527,832 | 505,834 |
| Metric | Dataset | MCDO | UA | EDL | PML | Proposed | |
|---|---|---|---|---|---|---|---|
| AUC | BreakHis | ||||||
| Oxford-IIIT Pet | |||||||
| Chest X-ray | |||||||
| ACC | BreakHis | ||||||
| Oxford-IIIT Pet | |||||||
| Chest X-ray | |||||||
| Dataset | Downsampler | SCAB | Metric | ||||
|---|---|---|---|---|---|---|---|
| AUC | ACC | ||||||
| BreakHis | ✓ | ✓ | |||||
| ✓ | |||||||
| ✓ | |||||||
| ✓ | ✓ | ||||||
| ✓ | |||||||
| ✓ | |||||||
| ✓ | ✓ | ||||||
| ✓ | |||||||
| ✓ | |||||||
| ✓ | ✓ | ||||||
| ✓ | |||||||
| ✓ | |||||||
| Oxford-IIIT Pet | ✓ | ✓ | |||||
| ✓ | |||||||
| ✓ | |||||||
| Chest X-ray | ✓ | ✓ | |||||
| ✓ | |||||||
| ✓ | |||||||
Disclaimer/Publisher’s Note: The statements, opinions and data contained in all publications are solely those of the individual author(s) and contributor(s) and not of MDPI and/or the editor(s). MDPI and/or the editor(s) disclaim responsibility for any injury to people or property resulting from any ideas, methods, instructions or products referred to in the content. |
© 2026 by the author. Licensee MDPI, Basel, Switzerland. This article is an open access article distributed under the terms and conditions of the Creative Commons Attribution (CC BY) license.
Share and Cite
Ngo, D. Stability-Enhanced Pseudo-Multiview Learning via Multiscale Grid Feature Extraction. Mathematics 2026, 14, 1085. https://doi.org/10.3390/math14061085
Ngo D. Stability-Enhanced Pseudo-Multiview Learning via Multiscale Grid Feature Extraction. Mathematics. 2026; 14(6):1085. https://doi.org/10.3390/math14061085
Chicago/Turabian StyleNgo, Dat. 2026. "Stability-Enhanced Pseudo-Multiview Learning via Multiscale Grid Feature Extraction" Mathematics 14, no. 6: 1085. https://doi.org/10.3390/math14061085
APA StyleNgo, D. (2026). Stability-Enhanced Pseudo-Multiview Learning via Multiscale Grid Feature Extraction. Mathematics, 14(6), 1085. https://doi.org/10.3390/math14061085
