Observer-Based Adaptive Event-Triggered Fault-Tolerant Control for Bidirectional Consensus of MASs with Sensor Faults
Abstract
1. Introduction
- A hierarchical algorithm is proposed to address unbalanced topology induced by negative weighting effects, in contrast to prevalent bidirectional consensus control designs under balanced communication topology [6]. Tracking error for each agent is defined solely based on its immediate parent node, thereby simplifying analysis of local errors and eliminating dependence on Laplacian matrices.
- DO and compensation signals are constructed to address external disturbances and command filtering errors in MASs [13]. This design enables overall FTC strategy to simultaneously account for both external disturbances and sensor or actuator faults, thereby broadening its applicability. The DO reduces the steady-state tracking error by compared to no-observer designs.
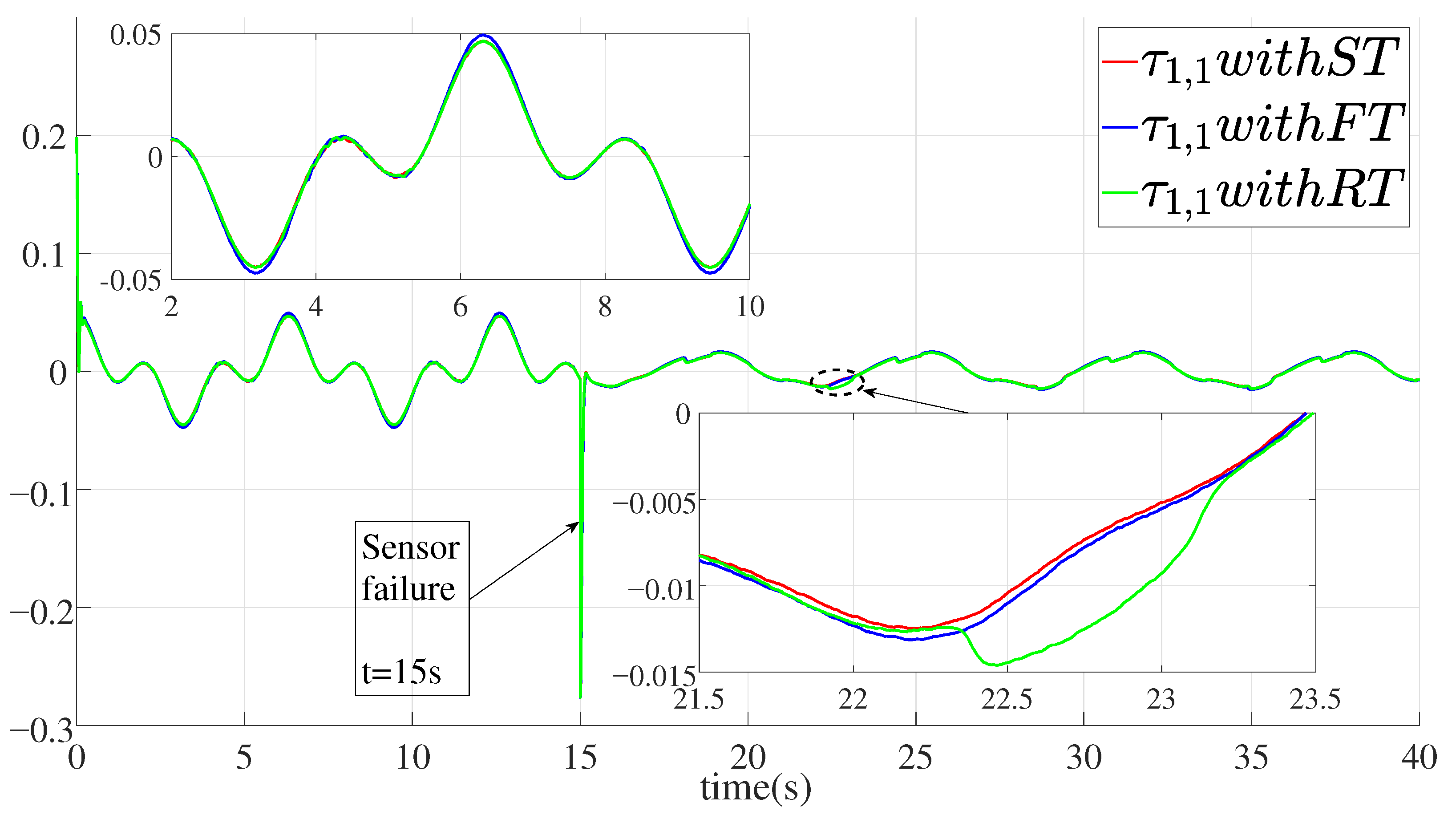
- Integrating the advantage of fewer triggering instances inherent in FT with the enhanced flexibility offered by RT [25], a novel switching threshold-based time-triggered mechanism is developed. This approach effectively balances communication frequency and tracking performance in MASs, thereby further mitigating the zero phenomenon while ensuring boundedness of signals is rigorously demonstrated. It has been demonstrated by the simulation results that the triggering frequency is reduced by compared with the FT scheme, while the tracking performance is improved by relative to the RT scheme.
2. Problem Description and Preliminaries
2.1. Problem Statement
- Bidirectional consensus tracking with guaranteed communication efficiency and tracking performance;
- Boundedness of all closed-loop signals regardless of the presence or absence of actuator and sensor faults.
2.2. Preliminary Work
2.3. Design of DO
3. Main Results
3.1. Event-Triggered Mechanism
3.2. Controller Design
3.3. Stability Analysis
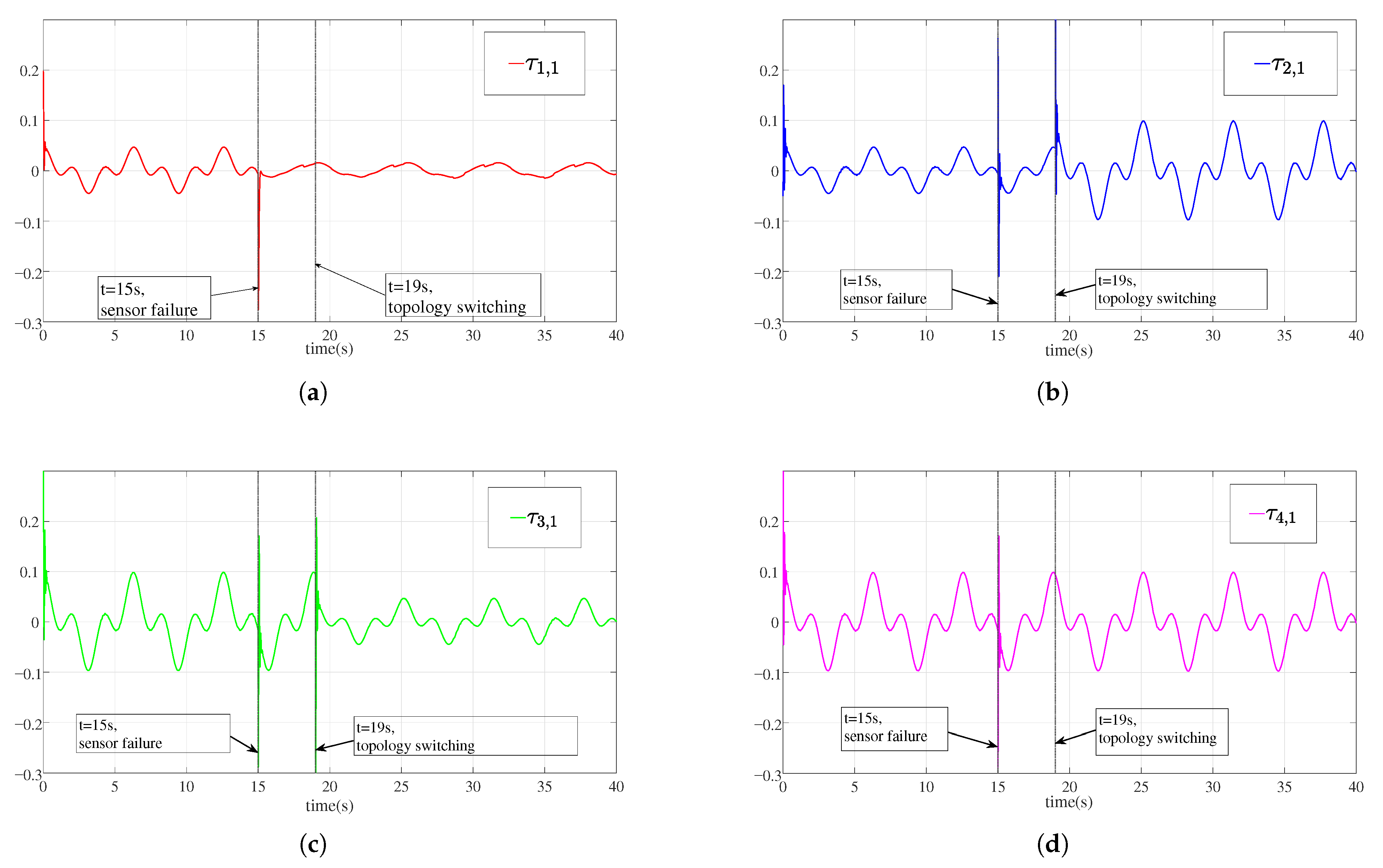
4. Simulation Examples
4.1. Main Simulations
4.2. Comparison Studies
5. Conclusions
Author Contributions
Funding
Data Availability Statement
Conflicts of Interest
Abbreviations
| DO | Disturbance observer |
| FTC | Fault-tolerant control |
| MASs | Multi-agent systems |
| RBFNNs | Radial basis function neural networks |
References
- Lizzio, F.F.; Capello, E.; Guglieri, G. A Review of Consensus-Based Multi-Agent UAV Implementations. J. Intell. Robot. Syst. 2022, 106, 43. [Google Scholar] [CrossRef]
- Zheng, B.; Ji, J.; Miao, Z.; Zhou, J. Achieving Distributed Consensus in Networked Flexible-Joint Manipulator Systems via Energy-Shaping Scheme. Int. J. Control Autom. Syst. 2023, 21, 2323–2337. [Google Scholar] [CrossRef]
- Li, H. Event-Triggered Bipartite Consensus of Multi-Agent Systems in Signed Networks. AIMS Math. 2022, 7, 5499–5526. [Google Scholar] [CrossRef]
- Wang, X.; Cao, Y.; Niu, B.; Song, Y. A Novel Bipartite Consensus Tracking Control for Multiagent Systems under Sensor Deception Attacks. IEEE Trans. Cybern. 2023, 53, 5984–5993. [Google Scholar] [CrossRef]
- Manickavalli, S.; Parivallal, A.; Kavikumar, R.; Kaviarasan, B. Distributed Bipartite Consensus of Multi-Agent Systems via Disturbance Rejection Control Strategy. Mathematics 2024, 12, 3225. [Google Scholar] [CrossRef]
- Zhang, H.; Duan, J.; Wang, Y.; Gao, Z. Bipartite Fixed-Time Output Consensus of Heterogeneous Linear Multiagent Systems. IEEE Trans. Cybern. 2021, 51, 548–557. [Google Scholar] [CrossRef]
- Wang, Y.; Ishii, H.; Bonnet, F.; Défago, X. Resilient Real-Valued Consensus in Spite of Mobile Malicious Agents on Directed Graphs. IEEE Trans. Parallel Distrib. Syst. 2022, 33, 586–603. [Google Scholar] [CrossRef]
- Ren, J.; Hua, L.; Zhao, M.; Lu, G. Bipartite consensus for multi-agent systems over signed networks: A novel dynamic event-triggered mechanism. Neurocomputing 2024, 609, 128502. [Google Scholar] [CrossRef]
- Wang, J.; Ke, J.; Zhang, J.-F. Differentially Private Bipartite Consensus over Signed Networks with Time-Varying Noises. IEEE Trans. Autom. Control 2024, 69, 5788–5803. [Google Scholar] [CrossRef]
- Chen, W.-H.; Yang, J.; Guo, L.; Li, S. A Nonlinear Disturbance Observer for Robotic Manipulators. IEEE Trans. Ind. Electron. 2000, 47, 932–938. [Google Scholar] [CrossRef]
- Zhang, D.; Hu, J.; Cheng, J.; Wu, Z.-G.; Yan, H. A Novel Disturbance Observer Based Fixed-Time Sliding Mode Control for Robotic Manipulators with Global Fast Convergence. IEEE/CAA J. Autom. Sin. 2024, 11, 661–672. [Google Scholar] [CrossRef]
- Nguyen, X.; Tiep, N.H.; Au, L.T.K.; Anh, N.N.; Nguyen, X.; Phi, N. A Finite-Time Disturbance Observer-Based Control for Constrained Second-Order Dynamical Systems and Its Application to the Attitude Tracking of a UAV. Mathematics 2025, 13, 1810. [Google Scholar]
- Hu, X.; Wang, B.; Shen, Y.; Fu, Y.; Li, N. Disturbance Observer-Enhanced Adaptive Fault-Tolerant Control of a Quadrotor UAV against Actuator Faults and Disturbances. Drones 2023, 7, 541. [Google Scholar] [CrossRef]
- Khan, Z.; Nasir, A.; Mekid, S. Fault-Tolerant Control Strategies for Industrial Robots: State of the Art and Future Perspective on AI-Based Fault Management. Artif. Intell. Rev. 2025, 58, 362. [Google Scholar] [CrossRef]
- Cartocci, N.; Napolitano, M.R.; Costante, G.; Valigi, P.; Fravolini, M.L. Aircraft robust data-driven multiple sensor fault diagnosis based on optimality criteria. Mech. Syst. Signal Process. 2022, 170, 108668. [Google Scholar] [CrossRef]
- Ren, H.; Ma, H.; Li, H.; Zhang, J.; Chen, M. Adaptive Fixed-Time Control of Nonlinear MASs with Actuator Faults. IEEE/CAA J. Autom. Sin. 2023, 10, 1252–1262. [Google Scholar] [CrossRef]
- Shi, J.; Chen, X.; Xing, S.; Liu, A.; Chen, C. Robust Cooperative Fault-Tolerant Control for Uncertain Multi-Agent Systems Subject to Actuator Faults. Sensors 2024, 24, 2651. [Google Scholar] [CrossRef]
- Wang, C.; Wen, C.; Hu, Q. Event-Triggered Adaptive Control for a Class of Nonlinear Systems with Unknown Control Direction and Sensor Faults. IEEE Trans. Autom. Control 2020, 65, 763–770. [Google Scholar] [CrossRef]
- Cao, L.; Mo, Y.; Xiao, W.; Feng, K.; Wu, Z.; Li, X. Dynamic Event-Triggered Adaptive Broad Learning for a Two-Degree-of-Freedom Helicopter System with Prescribed Performance. Mathematics 2025, 13, 3558. [Google Scholar] [CrossRef]
- Ji, R.; Ge, S.S.; Zhao, K. Coded Event-Triggered Control for Nonlinear Systems. Automatica 2024, 167, 111753. [Google Scholar] [CrossRef]
- Ge, X.; Han, Q.L.; Zhang, X.M.; Ding, D. Dynamic Event-Triggered Control and Estimation: A Survey. Int. J. Autom. Comput. 2021, 18, 857–886. [Google Scholar] [CrossRef]
- Li, Y.; Wang, H.; Zhao, X.; Xu, N. Event-Triggered Adaptive Tracking Control for Uncertain Fractional-Order Nonstrict-Feedback Nonlinear Systems via Command Filtering. Int. J. Robust Nonlinear Control 2022, 32, 7987–8011. [Google Scholar] [CrossRef]
- Xu, T.; Sun, Z.; Wen, G.; Duan, Z. Data-Driven Dynamic Event-Triggered Control. IEEE Trans. Autom. Control 2024, 69, 8804–8811. [Google Scholar] [CrossRef]
- Xu, C.; Xu, H.; Guan, Z.-H.; Ge, Y. Observer-Based Dynamic Event-Triggered Semiglobal Bipartite Consensus of Linear Multi-Agent Systems With Input Saturation. IEEE Trans. Cybern. 2023, 53, 3139–3152. [Google Scholar] [CrossRef]
- Dou, Y.; Xing, G.; Ma, A.; Zhao, G. A review of event-triggered consensus control in multi-agent systems. J. Control Decis. 2024, 12, 1–23. [Google Scholar] [CrossRef]
- Yu, R.; Chen, Y.-Y.; Zhang, Y. Switching Threshold Event-Triggered Critic Algorithm for Optimal Orbit-Tracking and Formation Motion. IET Control Theory Appl. 2024, 18, 454–464. [Google Scholar] [CrossRef]
- Wang, Z.; Liu, S.; Niu, B.; Zhang, L.; Zhao, N. Disturbance-Observer-Based Adaptive Neural Event-Triggered Fault-Tolerant Control for Uncertain Nonlinear Systems against Sensor Faults. Int. J. Gen. Syst. 2025, 54, 334–356. [Google Scholar] [CrossRef]
- Liu, S.; Niu, B.; Zong, G.; Zhao, X.; Xu, N. Adaptive Fixed-Time Hierarchical Sliding Mode Control for Switched Under-Actuated Systems with Dead-Zone Constraints Via Event-Triggered Strategy. Appl. Math. Comput. 2022, 435, 127441. [Google Scholar] [CrossRef]
- Pang, N.; Wang, X.; Wang, Z. Event-triggered adaptive control of nonlinear systems with dynamic uncertainties: The switching threshold case. IEEE Trans. Circuits Syst. II Express Briefs 2022, 69, 3540–3544. [Google Scholar] [CrossRef]


















| Symbol | Meaning |
|---|---|
| Signed adjacency weight between agents i and j | |
| State vector | |
| Estimated weight vector | |
| Approximation error | |
| Basis function vector | |
| Unknown disturbances | |
| Estimated disturbance | |
| Estimated extended disturbance state | |
| Baseline constant threshold | |
| Fixed triggering threshold | |
| H | Switching threshold boundary for ETC |
| Continuous control law | |
| Actual control input | |
| Euclidean norm for vectors; absolute value for scalars |
| Update Times | Mean Absolute Error 1 | |
|---|---|---|
| ETC with FT | 1295 | 0.012613 |
| ETC with RT | 2339 | 0.012056 |
| ETC with ST | 1407 | 0.011986 |
Disclaimer/Publisher’s Note: The statements, opinions and data contained in all publications are solely those of the individual author(s) and contributor(s) and not of MDPI and/or the editor(s). MDPI and/or the editor(s) disclaim responsibility for any injury to people or property resulting from any ideas, methods, instructions or products referred to in the content. |
© 2026 by the authors. Licensee MDPI, Basel, Switzerland. This article is an open access article distributed under the terms and conditions of the Creative Commons Attribution (CC BY) license.
Share and Cite
Yang, S.; Wei, H.; Liu, S. Observer-Based Adaptive Event-Triggered Fault-Tolerant Control for Bidirectional Consensus of MASs with Sensor Faults. Mathematics 2026, 14, 265. https://doi.org/10.3390/math14020265
Yang S, Wei H, Liu S. Observer-Based Adaptive Event-Triggered Fault-Tolerant Control for Bidirectional Consensus of MASs with Sensor Faults. Mathematics. 2026; 14(2):265. https://doi.org/10.3390/math14020265
Chicago/Turabian StyleYang, Shizhong, Hongchao Wei, and Shicheng Liu. 2026. "Observer-Based Adaptive Event-Triggered Fault-Tolerant Control for Bidirectional Consensus of MASs with Sensor Faults" Mathematics 14, no. 2: 265. https://doi.org/10.3390/math14020265
APA StyleYang, S., Wei, H., & Liu, S. (2026). Observer-Based Adaptive Event-Triggered Fault-Tolerant Control for Bidirectional Consensus of MASs with Sensor Faults. Mathematics, 14(2), 265. https://doi.org/10.3390/math14020265
