Abstract
This paper concentrates on the fixed-time optimal consensus issue of multi-agent systems (MASs) under false data injection (FDI) attacks. To mitigate FDI attacks on sensors and actuators that may cause systems to deviate from the reference trajectory, a zero-sum game framework is established, where the secure control protocol aims at the better system performance, yet the attacker plays a contrary role. By solving the Hamilton–Jacobi–Isaacs (HJI) equation related to the zero-sum game, an optimal secure tracking controller based on the event-triggered mechanism (ETM) is obtained to decrease the consumption of system resources while the fixed-time consensus can be guaranteed. Moreover, a critic-only online reinforcement learning (RL) algorithm is proposed to approximate the optimal policy, in which the critic neural networks are constructed by the experience replay-based approach. The unmanned aerial vehicle (UAV) systems are adopted to verify the feasibility of the presented approach.
MSC:
93A16; 93D40; 93D50; 49L20; 49L12; 91A23
1. Introduction
Recently, the cooperative control of multi-agent systems (MASs) has attracted ever-increasing research interest due to its wide engineering applications, such as UAV, intelligent robots and smart grids [1,2]. Consensus is one of the fundamental research problems, in which all the states can reach a common value by a distributed consensus protocol. There is a multitude of research on the consensus of MASs in various engineering fields [3,4].
Optimal control is a subdivision of control theory. Its purpose is to design a control policy such that the consensus control goal and some performance indicators can reach a balance. With years of exploration and advancement, the optimal control of MASs has obtained fruitful achievements [5,6,7]. For instance, in [6], the authors presented a data-driven optimal controller to solve the cluster synchronization issue for heterogeneous MASs with disturbances. In [7], by implementing a velocity-free distributed optimal control policy, the consensus problem of second-order MASs without velocity information was investigated. It should be pointed out that, in the above-mentioned results, the optimal control schemes are designed to continuously calculate and update data information. This may produce an unnecessary waste of system and communication resources. To overcome this drawback, the event-triggered mechanism (ETM) is introduced to reduce the update and computation times of the control strategy, in which a predefined threshold is designed to determined the sampling instant. Recently, extensive efforts have been dedicated to study the event-triggered optimal control issue of MASs. In [8], a model-free event-triggered optimal controller was developed for discrete-time MASs. In [9], the authors discussed the containment consensus of MASs by designing event-triggered optimal controller. In [10], the consensus issue for MASs was addressed by a dynamic event-triggered optimal control strategy. Note that, in [8,9,10], the designed controller is not only related to the local communications, and the communication environment is safe. However, due to the openness of communication networks, the communication connections are fragile such that they are easily attacked from external adversaries. Therefore, it is necessary to develop an event-triggered optimal control policy against some potential cyber-attacks.
False data injection (FDI) attack is a common and highly concealed attack model, which aims to destroy the consensus by compromising the integrity of measurements and control signals with false signals. There is a vast amount of literature focusing on the research of the consensus for MASs under FDI attacks [11,12,13]. For instance, in [11], a Lyapunov-based nonlinear control protocol was designed to achieve the consensus target for MASs under FDI attacks, where the attack signals are detected by a neural network. Further, considering comprehensive system performance, some researchers have investigated the optimal consensus of MASs under FDI attacks. In [14], an optimal control strategy based on the simplified adaptive dynamic programming framework method and ETM was presented to address the consensus issue for MASs. In [15], the authors proposed a fault-tolerant optimal control scheme based on multi-layer game theory to achieve the optimal tracking consensus of MASs under FDI attacks. It should be pointed out that the settling time of all states cannot be estimated. This may limit the application scope of the obtained results.
The fast convergence rate is an important performance index because it implies better system performance and robustness. In [16], the finite-time optimal control policy was proposed. However, the estimation of settling time is related to the initial values of systems and the weight vector. This causes the designed controller being unable to address the finite-time optimal control issue when the initial conditions are unknown. Further, some scholars presented the fixed-time optimal control scheme [17,18,19]. For example, in [19], the formation tracking problem was solved for heterogeneous MASs under actuator faults by designing fixed/prescribed-time optimal control schemes. Although the fast convergence goal can be achieved via optimal control law in [17,18,19], the works ignore the unsafe communication environment and limited system resources. To the best of our knowledge, there is a rarity of relevant work focusing on the fixed-time consensus issue for MASs under FDI attacks by adopting an event-triggered optimal control strategy.
Motivated by the above discussion, the purpose of this paper is to design a zero-sum-game-based optimal protocol, such that the fixed-time consensus of MASs under FDI attacks can be achieved. The contributions of this paper are summarized as follows:
- (1)
- Based on the zero-sum game theory, an optimal control law is developed, where the ETM is introduced to reduce the system and communication resources. Compared with [14,15], the designed event-triggered control scheme not only can ensure the optimal control performance but also the fixed-time convergence.
- (2)
- A critic-only reinforcement learning (RL) algorithm is presented for the online approximation of control policy and value function within a fixed time.
- (3)
- By employing the experience replay-based and gradient descent methods, the weight update rule is obtained to approximate the unknown weight vector, where the update rule does not need to calculate the high power term of the weight error. Compared with [16,20], the weight update law is more simple.
The remainder of this paper is organized as follows. In Section 2, some preliminaries are given. In Section 3, the system, attack models and control objective are proposed. In Section 4, the zero-sum differential game-based optimal controller design approach is given and the performance analysis is presented. In Section 5, the RL-based algorithm is developed. In Section 6, the simulation example is proposed. Conclusions are drawn in Section 7.
2. Preliminaries
2.1. Graph Theory
For MASs, the graph expresses the communication topology among N followers and one leader. expresses the communication links among followers. and denote the set of nodes and edges, respectively. If there is a path from node j to node i, then . The adjacency matrix of is defined as , which satisfies , if , , otherwise. is the set of neighbors of node i. For graph , the corresponding Laplacian matrix is denoted as , , and . denotes the communication links between the followers and leader. The corresponding adjacency matrix is defined as , where if there is a path from i-th follower and leader, then and , otherwise. Let .
2.2. Lemmas
Lemma 1
([21]). For , , the following inequalities hold:
Lemma 2
([22]). Assume that there exists a constant such that . Then, for constants , and , the following inequality holds:
where .
Lemma 3
([22]). Assume that x is a solution of nonlinear system , where is a nonlinear function. If there exists a radially unbounded and positive function , constants , , , and , such that
holds, then x is fixed-time stable with the residual set
where . The settling time is estimated as
3. Problem Formulation
3.1. System Models
Considering MASs with followers and one leader, the state equations of i-th follower and leader are described as follows:
and
respectively, where and are the state vector of the i-th follower and the leader, respectively. D is the compact set. is the nonlinear function. B is the input matrix. is the control input, which is selected by the follower itself. For brevity, “” will be omitted in the following expressions.
Assumption 1.
For any , there exists a constant such that holds.
Assumption 2.
The graph contains a spanning tree rooted by the leader, i.e., .
Remark 1.
Assumptions 1 and 2 are common. Specifically, for the considered system model, the state equation needs to satisfy the existence and uniqueness of solution. Therefore, Assumption 1 is necessary. In addition, because the design of the control protocol is not only related to the agent’s information, but also the information of its neighbors, the realization of consensus of MASs depends on the communication networks. In the theory, the communication networks among agents can be described by an algebraic graph. If the graph is not connect, the consensus of MASs cannot be achieved [23]. Therefore, Assumption 3 is necessary.
3.2. Attack Model
In this paper, we take FDI attacks on both the sensors and actuators of an individual follower into account. An attack on a sensor of the follower i is
where is the normal state, is the corrupted state and is an unknown time-varying and state-independent false injection signal acting on sensors. It should be pointed out that is not available and is measurable.
For follower i, the attack on an actuator is
where is the normal control input, is the compromised signal and is an unknown time-varying signal acting on the actuator. Therefore, is the actual control input.
Assumption 3.
The attack signals , and are bounded, i.e., there exist positive constants , and such that , and hold, respectively.
Remark 2.
For the FDI attack signals, in [24], the authors indicated that the attack signals can be very large and the upper bound may not exist. However, restricted by hardware, it is impossible that the malicious attacker injects infinite amounts of false information. Hence, it is rational that the false signal is assumed to be bound. In addition, based on the subsequent stability analysis, the derivative of the sensor attack signal is assumed to be bounded. Therefore, Assumption 3 is reasonable and necessary.
Remark 3.
In [13,14], the adversary launches an attack signal on the output information of states, i.e., sensors. Actually, some adversaries may simultaneously attack sensors and actuators to decrease the system performance. Therefore, in this paper, we consider the FDI attack model including sensors and actuators attacks. Compared with the model in [13,14], the considered attack pattern is more realistic.
3.3. Control Objective
The control objective of this paper is to design a zero-sum differential game-based optimal control law such that systems (1) and (2) achieve fixed-time consensus under FDI attacks, and minimize the predefined cost function.
Define the tracking error , the error systems can be expressed as
where and .
The control objective can be converted to design a zero-sum differential game-based optimal control law such that the error system (5) achieves fixed-time stability, and minimizes the predefined cost function.
4. Zero-Sum Differential Game-Based Optimal Controller Design
In this section, an optimal control strategy is presented based on the zero-sum differential game theory and ETM. The FDI attack signals and the controller are selected as two players on opposite sides. The attack signals pursue maximum disruption to system stability, and the controller intends to reach the control goal. Firstly, we define the cost function and HJI equation. Then, by solving the HJI equation, the optimal control law and attack strategy are obtained. Finally, the performance analysis is given.
4.1. Cost Function
Define the local tracking error . Further, we can derive
where denotes the ith row of matrix . Because the matrix is nonsingular, the fixed-time stability issues of and are equivalent.
For agent i, the cost function is defined as follows:
where . , , , and are positive matrices. Define the optimal value function as
Define the coupled Hamiltonian function as
Based on the stationarity conditions, we can obtain the pair of feedback Nash strategies
and
Let be the triggering time sequence for agent i. denotes the measurement error. Under the ETM, the optimal control strategy and the worse attacks strategy are expressed as
and
where . The triggering instant can be determined by
where is determined by subsequence analysis, and .
The coupled HJI equation is rewritten as
4.2. Performance Analysis
In this subsection, some important assumptions and main analysis results are given.
Assumption 4
([25]). There exist constants and such that holds.
Assumption 5
([25]). There exist constants and such that and hold, respectively.
Remark 4.
From the cost function, optimal value function and optimal control strategy , it is easy to find that and are related to the error . This shows that Assumption 4 is reasonable. When , is related to the error . Based on the definition of , we can derive that Assumption 4 holds.
Theorem 1.
Proof.
This proof will be divided into three steps.
Step 1: proving the stability of .
Choosing the Lyapunov function , the derivative of is calculated as
By applying Assumption 5, we can obtain
and
According to Assumption 3, it is easy to find that is bounded. Therefore, there exists a constant such that holds. We can further derive
where . By applying the triggering condition (15) and Assumption 4, we can obtain
where .
Based on Lemma 3, the error is fixed-time stable with the residual set , . This means that the systems (1) and (2) can achieve fixed-time consensus under the event-triggered optimal policy (13) against the worse attacks (14). The settling time can be estimated as
Step 2: excluding the Zeno behavior.
From Assumptions 2, 3 and 5, as well as the proof of above part, it is easy to find that are bounded indicated by . When , we have . Integrating the both sides of the above inequality, we obtain . When , , where and . Due to , we can select suitable parameters , and such that . Therefore, there holds . The Zeno behavior is excluded.
Step 3: verifying Isaacs’ condition.
By performing similar manipulations to the proof of Theorem 2 in [16], we can derive that and are the event-triggered optimal Nash strategies. The proof is completed. □
5. RL-Based Learning Algorithm
From the expression of optimal control strategies (13) and (14), it is obvious that the control strategies are related to the optimal value function , which is a solution of the HJI equation. Because solving the HJI equation is difficult, a RL-based learning algorithm is developed, where the critic network is utilized to approximate the optimal value function.
According to the Weierstrass higher-order approximation theorem [26], we utilize critic neural networks to approximate the value function and its gradient, described by
and
respectively, where denotes the ideal weight vector, is the activation function, is the number of neurons and is the approximation error.
Assumption 6.
The weight vector, activation function and approximation error are bounded, i.e., there exist constants , , and , such that , , and hold, respectively.
Based on (20) and (21), the Nash equilibrium solutions (13) and (14) can be reformed as
and
respectively. Since is unknown, a neural network is utilized to estimate the optimal value function , expressed by
where is the estimation of . Consequently, the approximation of the Nash policies can be rewritten as
and
Further, we can derive the Bellman error . The objective is to design the weight update rule minimizing Bellman error with the objective function . Based on the normalized gradient descent algorithm, the weight law is designed as
where . . , . Let the weight error be . Then, the error dynamics can be expressed as
where .
Now, we give an important definition.
Definition 1.
The historical data are said to be s-sufficiently rich, if the matrix has .
Remark 5.
In [16], Definition 1 is firstly proposed. By employing the historical data , the weight update rule was designed to achieve the finite-time convergence. Compared with the finite-time convergence, the fixed-time convergence is more actual. Therefore, in this paper, we design the weight update law (27) such that can tend to a constant within a fixed time.
Remark 6.
In [16,20,27], the update law of weight vector is related to the power terms of and . From the perspective of expression form, the weight update laws in [16,20,27] are complex and complicated. Meanwhile, in application, this may increase the complexity of computation and cost consumption to impact the approximation performance. To conquer this shortcoming, we design the update law of weight vector, which does not calculate the power of and . Compared with [16,20,27], the weight update law (27) is more simple.
Stability Analysis
Theorem 2.
Proof.
Consider the Lyapunov function , where . The derivative of can be computed as
According to Theorem 1, we can further obtain
By applying Assumption 6, there holds
where .
Now, we calculate the derivative of . According to (28), we have
By employing Lemma 2, we can obtain
where . Due to , we have . Let , where . Based on Definition 1 and Assumption 6, we obtain
On the basis of the proof for Proposition 1 in [16], we can derive . In addition, since is bounded and , there exists a constant such that . Now, we further obtain
Let , and . There holds
which implies that, when ,
where , and . Applying Lemma 1, we have
where , , . According to Lemma 3, the settling time can be estimated by .
Let . The residual set is
This implies that is fixed-time stable with the set . The proof is completed. □
Remark 7.
In [16], the evaluated settling time depends on the initial conditions of all states (including agents and weight vector). This implies that the settling time needs to be repeatedly calculated while the initial conditions are changed. To address this issue, we estimate the settling time by utilizing the fixed-time stability theory. Obviously, it is independent of the initial values. Compared with [16], the settling time is more general and actual.
Remark 8.
Because obtaining the analytical solution of the HJI equation is difficult, the critic neural networks are utilized to approximate this solution. Meanwhile, the unknown weight vector needs to be estimated by the design weight update law. This causes a certain degree of approximation bias for the optimal Nash strategies. Therefore, the stability of the error under approximate optimal strategies and the bounded weight vector need to be proved. In Theorem 2, the proof is divided into two parts. Firstly, we construct the Lyapunov function about and the weight error. Secondly, the stability and bounded analysis are given based on Lemmas 1–3 and Theorem 1.
Remark 9.
In [28], the authors presented a resilient observer-based control scheme based on ETM to address the consensus issue of MASs directed graph and FDI attacks. To further reduce the consumption of system resources, in [29,30], the dynamic ETM was introduced to design the controller such that the consensus of linear and nonlinear MASs under FDI attacks on actuators and sensors were achieved, respectively. Although the control goals can be guaranteed under the designed control protocols in [28,29,30], the convergence time of the system state cannot be estimated. From the perspective of practical application, it is necessary to develop the control strategy to achieve the fast convergence of the system state and estimate the convergence time. Furthermore, although the introduction of ETM can strike a balance between the ideal control objectives and satisfactory communication efficiency in [28,29,30], some system performance may be not optimal. To overcome the above shortcoming, in this paper, we introduce utilize the zero-sum game and optimal theories to design the control policy such that some comprehensive system performance index reaches optimization. Meanwhile, the ETM is introduced to reduce the costs of communication and computation.
6. Simulation Results
In this section, a simulation example associated with the leader-following time-varying formation tracking issue of multi-UAV systems is considered to illustrate the effectiveness of the control protocol. The multi-UAV systems include four following UAVs and one leader UAV. In the ground inertial frame O-XYZ, the height of each UAV can be controlled separately. Therefore, we only consider the formation tracking movements of UAVs with fixed height mode in the X-Y plane. The dynamics of multi-UAV systems are described as [31]
where . and are the position and velocity of the ith UAV, respectively. is the control input. ; and are damping constants of the ith UAV, .
The dynamics equation of the leader UAV is described as [31]
where , and are the position and velocity of the leader UAV, respectively. ; and are the damping constants of the leader UAV. The communication networks with five UAVs are described in Figure 1. Choose the initial values of position and velocity as , , , , , , , , , , , , . For UAVs (i = 1, 2, 3, 4), the desired formation patterns are defined as
Figure 1.
The communication networks.
The first types of FDI attack signals are selected as , , , , , , and .
For the cost function, the parameters are selected as , , , , , , , , , , , , and . Let ; the activation function is . , , and .
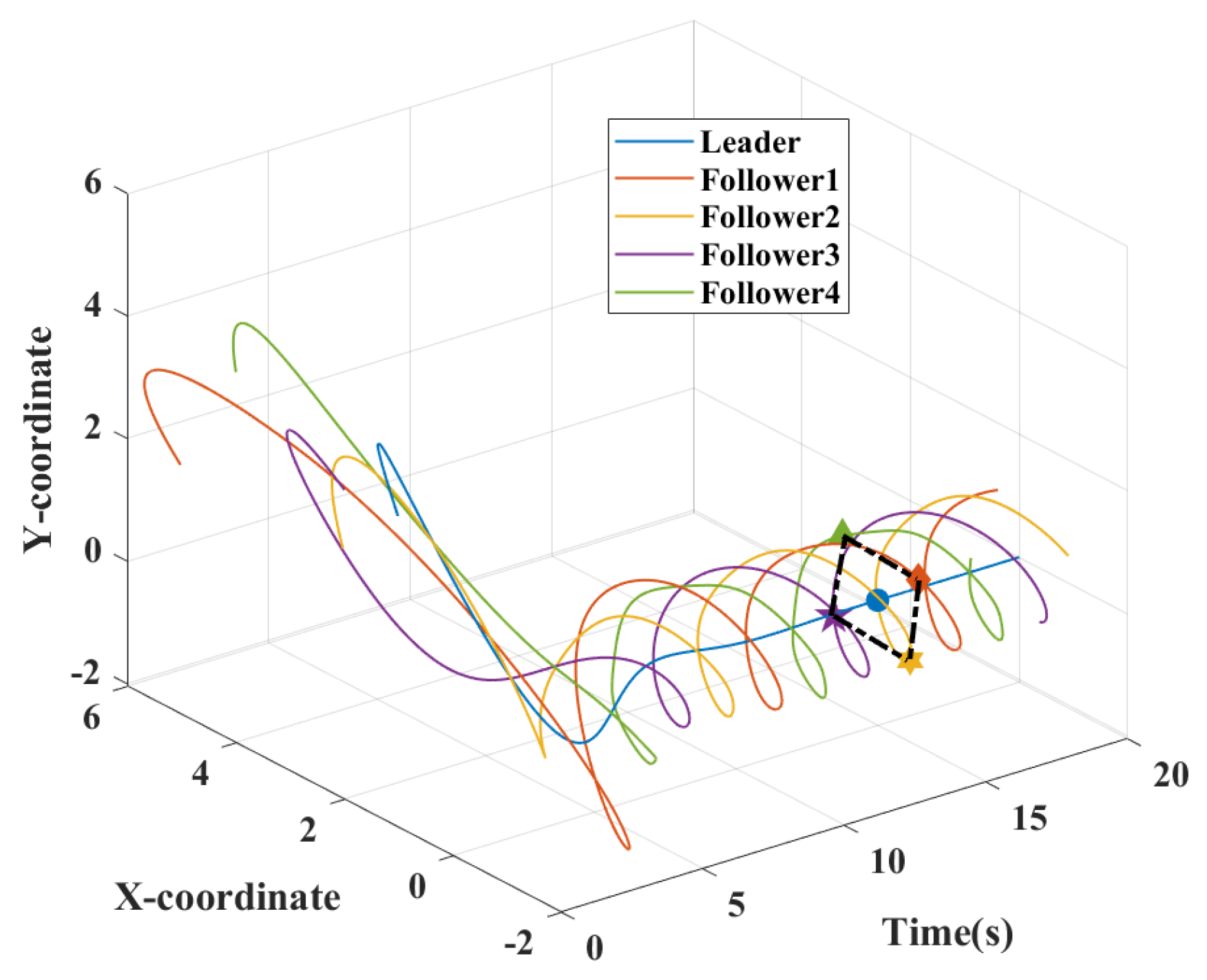
Based on the above parameters, the settling time is calculated as . By employing MATLAB tools, the position trajectories of the leader UAV and follower UAVs are shown in Figure 2. Meanwhile, the snapshots of position trajectories at and 15 s for multi-UAV systems are displayed in Figure 2. In addition, the velocity trajectories of the leader and follower UAVs are shown in Figure 3. Figure 4 gives the curves of the norm of the formation error . From Figure 2, Figure 3 and Figure 4, it is easy to find that the time-varying formation can be achieved, and the formation error converges to the residual set within the settling time . In addition, we record the execution instants for four UAVs shown in Figure 5. Evidently, the Zeno behavior does not occur. This illustrates the effectiveness of the designed event-triggered optimal control law.
Figure 2.
The position trajectories within s and snapshots at and 15 s for multi-UAV systems under the first type of FDI attacks.
Figure 3.
The velocity trajectories for multi-UAV systems under the first type of FDI attacks.
Figure 4.
The trajectories of
Figure 5.
The triggering instants of 4 UAVs.
Furthermore, the trajectories of the cost function are displayed in Figure 6. The performance comparison of execution times for the continuous optimal control strategy and the designed control protocol in this paper are displayed in Table 1. The date of Table 1 indicates that the designed control protocol in this paper can significantly reduce the execution times compared with the continuous case. Furthermore, combining with Figure 6 and Table 1, it is easy to see that the cost consumption is directly proportional to the number of triggers. This again demonstrates the superiority of the event-triggered optimal control scheme in reducing resource consumption.
Figure 6.
The cost function
Table 1.
Comparison of triggering times for continuous and event-triggered control strategies.
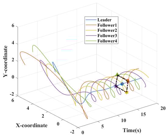
To demonstrate the effectiveness of the presented control scheme, we reselect the second type of FDI attack signals as follows: , , , , , , and .
For the cost function, the parameters are selected as , , , , , , , , , , , , , , and . The other parameters are same as the parameters in the first type of FDI attacks.
Based on the above parameters, the position trajectories of the leader UAV and follower UAVs and the snapshots of position trajectories at s for multi-UAV systems are shown in Figure 7. The trajectories of are displayed in Figure 8. From Figure 7 and Figure 8, we can observe that the time-varying formation can be reached, and trends to the residual set within the settling time . The triggering instants and the curves of the cost function are given in Figure 9 and Figure 10, respectively. It is easy to see that the update frequency of the control scheme is significantly decreased, the Zeno behavior does not happen and the number of triggering times impacts the cost consumption. This indicates the advantage of the designed optimal control in decreasing the update frequency and saving system resources.
Figure 7.
The position trajectories within s and snapshots at s for multi-UAV systems under the second type of FDI attacks.
Figure 8.
The trajectories of
Figure 9.
The triggering instants of 4 UAVs.
Figure 10.
The cost function
During the simulation process, the selection of parameters can greatly affect the simulation results. Owing to numerous parameters, we firstly give the initialization conditions, such as the communication networks, initial value of the states, attack signals, formation pattern and so on. This can decrease the number of the adjustable parameters. Next, we arbitrarily choose the other parameters within the preset ranges. Meanwhile, the practical application demand is considered to select the more reasonable parameters. For example, the system parameters , , and can decide the convergence speed of the states. If , , and are too small, the formation can be achieved faster. However, from application standpoint, this may not be actual. In addition, the triggering parameters also have a decisive impact on the stability of systems. Especially, the triggering parameters not only affect the system performance, but also the execution times and control costs. The selection of FDI attack signals is also key for the stability of systems. If the attack signals are large, will generate significant oscillations (see Figure 4 and Figure 8). To display the better simulation results, the parameters are chosen to strike a trade-off among the desired system performance, lower triggering times and cost consumption.
7. Conclusions
In this article, the fixed-time optimal consensus of MASs in the presence of FDI attacks has been investigated. A zero-sum game event-triggered optimal control strategy has been presented, where the game includes two players, i.e., the control input and the FDI attack signals. Based on the optimal theory, the optimal control law depends on the analytical solution of the HJI equation, and it is difficult to obtain the expression. A critic-only RL online learning algorithm has been presented to approximate the solution of the HJI equation. The weight update law has been derived by employing the current and historical data. Compared with the FDI attack, the Byzantine attack has higher destructive and covert power. In the future, the research will focus on the fixed-time optimal consensus for MASs under Byzantine attacks.
Author Contributions
Conceptualization, R.L.; Methodology, J.Y., R.L. and X.H.; Writing—original draft, J.Y., R.L., Q.G. and X.H.; Resources, Q.G.; Supervision, Q.G.; Funding acquisition, Q.G.; Validation, J.Y.; Software, X.H. All authors have read and agreed to the published version of the manuscript.
Funding
This work was supported in part by the National Natural Science Foundation of China under grants 61305076.
Data Availability Statement
Data availability is not applicable to this article as no new data were created or analyzed in this study.
Conflicts of Interest
The authors declare no conflicts of interest.
Abbreviations
| n-dimensional real vector | |
| real matrices set | |
| n-dimensional identify matrix | |
| Positive (negative) definite matrix | |
| Transpose of matrix A | |
| Inverse of matrix A | |
| and | Euclidean norm and 1-norm of x |
| () | Maximum (minimum) eigenvalue of A |
| n-dimensional null matrix | |
| Diagonal matrix with the elements | |
| Absolute value of a | |
| Gradient of V with regard to vector x |
References
- Guo, J.Y.; Cheng, L.; Wang, S. CoTV: Cooperative control for traffic light signals and connected autonomous vehicles using deep reinforcement learning. IEEE Trans. Intell. Transp. Syst. 2023, 24, 10501–10512. [Google Scholar] [CrossRef]
- Deng, Z.H.; Luo, J.; Chen, T. Distributed strategy for constrained resource allocation problems of autonomous second-order nonlinear agents and its application to smart grids. Inf. Sci. 2024, 652, 119754. [Google Scholar] [CrossRef]
- Yan, Z.; Yang, B.; Luo, M.; Hu, M. Finite-time partial component consensus for nonlinear leader-following multi-agent systems. Mathematics 2024, 12, 3552. [Google Scholar] [CrossRef]
- Luo, Z.; Liu, H.; Ouyang, Z. Fixed-time formation tracking control of nonlinear multi-agent systems with directed topology and disturbance. Mathematics 2023, 11, 2849. [Google Scholar] [CrossRef]
- Zhang, J.X.; Liu, W.; Li, Y.M. Optimal formation control for second-order multi-agent systems with obstacle avoidance. IEEE-CAA J. Autom. Sin. 2023, 10, 563–565. [Google Scholar] [CrossRef]
- Li, H.Y.; Wei, Q.L. Data-driven optimal output cluster synchronization control of heterogeneous multi-agent systems. IEEE Trans. Autom. Sci. Eng. 2024, 21, 3910–3920. [Google Scholar] [CrossRef]
- Zou, Y.; Xia, K.W.; Zuo, Z.Y.; Li, D.Y.; Ding, Z.T. Velocity-free distributed coordinated optimal control for second-order multi-agent systems. Automatica 2023, 154, 111059. [Google Scholar] [CrossRef]
- Cao, A.; Wang, F.Y.; Liu, Z.X.; Chen, Z.Q. Model-free event-triggered optimal containment control for multiagent systems via adaptive dynamic programming. IEEE Trans. Control. Netw. Syst. 2024, 11, 1452–1464. [Google Scholar] [CrossRef]
- Wang, Z.C.; Wang, X.; Zhao, C. Event-triggered containment control for nonlinear multiagent systems via reinforcement learning. IEEE Trans. Circuits Syst. II-Express Briefs 2023, 70, 2904–2908. [Google Scholar] [CrossRef]
- Zhang, H.; Wang, A.Q.; Ji, W.Q.; Qiu, J.B.; Yan, H.C. Optimal consensus control for continuous-time linear multiagent systems: A dynamic event-triggered approach. IEEE Trans. Neural Netw. Learn. Syst. 2024, 35, 14449–14457. [Google Scholar] [CrossRef]
- Sargolzaei, A.; Allen, B.C.; Crane, C.D.; Dixon, W.E. Lyapunov-based control of a nonlinear multiagent system with a time-varying input delay under false-data-injection attacks. IEEE Trans. Ind. Inform. 2022, 18, 2693–2703. [Google Scholar] [CrossRef]
- Zha, L.J.; Liu, D.Z.; Tian, E.G.; Xie, X.P.; Peng, C.; Cao, J. Secure bipartite consensus control for dynamic event-triggered multi-agent systems based on co-estimation of state and attacks. IEEE Trans. Autom. Sci. Eng. 2024. [Google Scholar] [CrossRef]
- Mamoon, M.; Mustafa, G.; Iqbal, N.; Rehan, M.; Ahmed, I.; Khalid, M. An adaptive neural network approach for resilient leader-following consensus control of multi-agent systems under cyber-attacks. ISA Trans. 2024. [Google Scholar] [CrossRef]
- Xu, Y.Y.; Li, T.S.; Yang, Y.; Tong, S.C.; Chen, C.L.P. Simplified ADP for event-triggered control of multiagent systems against FDI attacks. IEEE Trans. Syst. Man Cybern.-Syst. 2023, 53, 4672–4683. [Google Scholar] [CrossRef]
- Yang, H.Y.; Zhang, H.; Wang, Z.P.; Huang, C.; Yan, H.C. Asynchronous observer-based fault-tolerant optimal control of multiagent systems. IEEE Syst. J. 2024, 18, 1402–1413. [Google Scholar] [CrossRef]
- Kokolakis, N.M.T.; Vamvoudakis, K.G. Safety-aware pursuitevasion games in unknown environments using gaussian processes and finite-time convergent reinforcement learning. IEEE Trans. Neural Netw. Learn. Syst. 2024, 35, 3130–3143. [Google Scholar] [CrossRef] [PubMed]
- Guang, W.W.; Wang, X.; Zhang, W.; Li, H.Q.; Li, H.Y.; Huang, T.W. Fixed-time optimal bipartite containment control for stochastic nonlinear multiagent systems with unknown hysteresis. IEEE Trans. Autom. Sci. Eng. 2024. [Google Scholar] [CrossRef]
- Wang, P.; Yu, C.P.; Lv, M.L.; Cao, J.D. Adaptive fixed-time optimal formation control for uncertain nonlinear multiagent systems using reinforcement learning. IEEE Trans. Netw. Sci. Eng. 2024, 11, 1729–1743. [Google Scholar] [CrossRef]
- Cheng, W.L.; Zhang, K.; Jiang, B. Fixed-time and prescribed-time fault-tolerant optimal tracking control for heterogeneous multiagent systems. IEEE Trans. Autom. Sci. Eng. 2023. [Google Scholar] [CrossRef]
- Li, R.H.; Gan, Q.T.; Ru, Y.S. Event-based fixed-time optimal consensus of multi-agent systems. J. Army Eng. Univ. PLA 2024, 3, 28–38. [Google Scholar]
- Hardy, G.; Littlewood, J.; Polya, G. Inequalities; Cambridge University Press: London, UK, 1952. [Google Scholar]
- Zhang, J.X.; Fu, Y.; Fu, J. Adaptive fixed-time output-feedback optimal time-varying formation control for multiple omnidirectional robot systems. IEEE Trans. Fuzzy Syst. 2024, 32, 792–803. [Google Scholar] [CrossRef]
- Olfati-Saber, R.; Murray, R.M. Consensus problems in networks of agents with switching topology and time-delays. IEEE Trans. Autom. Control 2004, 49, 1520–1533. [Google Scholar] [CrossRef]
- Lu, A.Y.; Yang, G.H. Secure state estimation for multiagent systems with faulty and malicious agents. IEEE Trans. Autom. Control 2020, 65, 3471–3485. [Google Scholar] [CrossRef]
- Liu, C.; Liu, L.; Cao, J.D.; Abdel-Aty, M. Intermittent event-triggered optimal leader-following consensus for nonlinear multi-agent systems via actor-critic algorithm. IEEE Trans. Neural Netw. Learn. Syst. 2023, 34, 3992–4006. [Google Scholar] [CrossRef]
- Hornik, K.; Stinchcombe, M.; White, H. Universal approximation of an unknown mapping and its derivatives using multilayer feedforward networks. Neural Netw. 1990, 3, 551–560. [Google Scholar] [CrossRef]
- Gong, Z.Y.; Yang, F.S.; Wu, D.R. Zero-sum game based secure tracking control of UAV against FDI attacks using fixed-time convergent reinforcement learning. In Proceedings of the 2023 62nd IEEE Conference on Decision and Control (CDC), Singapore, 13–15 December 2023. [Google Scholar]
- Zhang, S.Q.; Che, W.W.; Deng, C. Observer-based event-triggered secure synchronization control for multi-agent systems under false data injection attacks. Int. J. Robust Nonlinear 2022, 32, 4843–4860. [Google Scholar] [CrossRef]
- Yang, Y.; Wang, X.; Li, Y.F.; Gorbachev, S.; Yue, D. Adaptive resilient tracking control with dual-terminal dynamic-triggering for a linear multi-agent system against false data injection attacks. IEEE Trans. Signal Inf. Process. Over Netw. 2023, 9, 1–12. [Google Scholar] [CrossRef]
- Wang, J.L.; Wang, W.; Yu, Y. Event-triggered fuzzy adaptive asymptotic consensus control of nonlinear multi-agent systems against FDI attacks. Int. J. Fuzzy Syst. 2024. [Google Scholar] [CrossRef]
- Gong, X.; Basin, M.V.; Feng, Z.; Huang, T.W.; Cui, Y.K. Resilient time-varying formation-tracking of multi-UAV systems against composite attacks: A two-layered framework. IEEE-CAA J. Autom. Sin. 2023, 10, 969–984. [Google Scholar] [CrossRef]
Disclaimer/Publisher’s Note: The statements, opinions and data contained in all publications are solely those of the individual author(s) and contributor(s) and not of MDPI and/or the editor(s). MDPI and/or the editor(s) disclaim responsibility for any injury to people or property resulting from any ideas, methods, instructions or products referred to in the content. |
© 2025 by the authors. Licensee MDPI, Basel, Switzerland. This article is an open access article distributed under the terms and conditions of the Creative Commons Attribution (CC BY) license (https://creativecommons.org/licenses/by/4.0/).









