Cost Optimization in a GI/M/2/N Queue with Heterogeneous Servers, Working Vacations, and Impatient Customers via the Bat Algorithm
Abstract
1. Introduction
2. Model Mathematical Description
- Inter-arrival times. Inter-arrival times of successive arrivals form an i.i.d. sequence with cumulative distribution function (density for ), Laplace–Stieltjes transformand mean inter-arrival time
- Finite capacity. The total system capacity is , counting customers both in service and waiting. Arrivals that would exceed capacity are blocked. Finite N ensures positive recurrence of the augmented Markov chain.
- State-dependent balking. Upon arrival to a system containing customers, a customer is admitted with probability and balks with probability . We assumeso no one joins a full system and admission propensities are nonincreasing in congestion. (Feedback customers are subject to the same rule; see below) Alternative information structures (delayed or noisy observations) can be incorporated by redefining ; our analysis is unchanged.
- Service structure and discipline. There is a single common FIFO queue feeding two heterogeneous servers. Server 1 and Server 2 provide exponential service with rates and , respectively, with . Server 1 is always available (no vacations).
- Working vacations of Server 2. If Server 2 becomes idle when the queue is empty, it immediately enters a working vacation, whose duration is exponential with rate . During a working vacation, Server 2 remains active but at a reduced exponential service rate . At the vacation’s end, Server 2 switches to regular service if at least one customer is waiting; otherwise, it initiates a new working vacation. This induces “multiple” working vacations separated by possible service epochs.
- Reneging (impatience). Whenever both servers are busy and the system contains customers, the queue length equals . Each waiting customer runs an independent exponential impatience timer . A customer whose service has not started before their timer expires abandons the system permanently. Impatience clocks are independent of the queue length process and of all other primitives.
- Bernoulli feedback. Upon service completion (either during regular operation or while Server 2 is on a working vacation), a customer departs the system with probability and, with complementary probability , instantaneously feeds back to the input stream and behaves as a fresh arrival (i.e., is subjected to balking and capacity constraints in the current state). This mechanism models rework/retx loops; its coupling with balking is crucial in finite capacity.
3. Steady-State Solution
- : The number of customers in the system at time t, including those in service.
- : The state of the server at time t, defined as
- : The remaining inter-arrival time for the next customer arrival at time t.
- Step 1: Eliminating .
- Step 2: An expression for .
- Step 3: The value at and higher derivatives.
- Step 4: Compact representation.
4. Performance Measures
- (i)
- Mean system size and mean sojourn time.
- (ii)
- Server-state occupancy probabilities.
- (iii)
- Flow rates of joining, balking, and reneging.
5. Cost Model and Optimization Study
- Unit cost elements.
- :
- Cost per unit time when Server 2 is idle during a working-vacation period;
- :
- Cost per unit time when Server 2 is busy during a working-vacation period;
- :
- Cost per unit time when Server 2 is busy during a normal (non-vacation) busy period;
- :
- Holding cost per unit time per customer present in the system;
- :
- Penalty cost per unit time due to balking or reneging;
- :
- Penalty cost per unit time per lost customer when the system is blocked;
- :
- Cost per unit of normal service effort;
- :
- Cost per unit of feedback service effort;
- :
- Fixed purchase (or capacity) cost per server unit.
- Performance indices (given).
- Total expected cost.
- Optimization problem.
- Solution approach.
Comments
- Service and vacation rates.
- and represent the normal operating capacities of two heterogeneous servers. Empirically, such asymmetry is common in practice, where one server is technologically superior or operated by a more skilled resource. Distinguishing them allows us to capture realistic differences in throughput and workload distribution.
- models the effective rate during a working-vacation period, a concept increasingly relevant in systems where partial service continues during maintenance, energy-saving modes, or off-peak operation. Including in the optimization enables one to quantify the trade-off between reduced productivity during vacations and the associated cost savings.
- Cost components.
- – differentiate between idle and busy states of Server 2 across normal and vacation regimes, thereby capturing the utilization-dependent expenditure structure.
- – encode congestion and dissatisfaction costs: holding cost for customers in queue, penalties for impatience (balking/reneging), and loss penalties under blocking. This reflects the service quality dimension and its direct impact on customer retention.
- – measure the marginal effort of normal versus feedback service, thereby penalizing overuse of resources and accounting for the additional burden of reprocessing tasks.
- accounts for fixed capacity investments, ensuring that expansion or contraction of server capability is consistently weighed against operational benefits.
- Modeling rationale.
6. Numerical Results
6.1. Numerical Results of System Performance Measures
- With fixed values of , , and an increase in leads to increases in and as expected. This in turn increases , , and Consequently, the probability of customer loss due to system size limitation significantly rises. Notably, the probability that Server 2 is idle during the working vacation period decreases with
- With fixed values of , and when the working vacation rate increases, Server 2 rapidly switches to the normal busy period at which the customers are served at a higher rate. Therefore, the characteristics , , , , and decrease. This implies an increase in and in because the mean working vacation time decreases. This trend matches absolutely with the realistic situation.
- With fixed values of , and when the impatience rate increases, the system characteristics , , and increase, while , , , and decrease. This relationship highlights that higher impatience rates lead to smaller system sizes on average and higher average reneging rates.
- For fixed values of , , and , an increase in the feedback probability leads to higher values of and as intuitively expected. Consequently, this increase results in elevated values of , , and the probability of customer loss due to system size limitation . Conversely, and the probability that Server 2 is idle during the working vacation period monotonically decrease.
| 0.3649478 | 0.5285393 | 0.5156073 | 0.7485630 | 0.8706453 | 1.2585121 | |
| 0.5213540 | 0.5285393 | 0.7365818 | 0.7485630 | 1.2437789 | 1.2585122 | |
| 0.6995574 | 0.9984455 | 0.6989834 | 0.9965871 | 0.6967290 | 0.9899939 | |
| 0.0004426 | 0.0015545 | 0.0010166 | 0.0034129 | 0.0032710 | 0.0100061 | |
| 0.0003104 | 0.0013975 | 0.0011433 | 0.0047919 | 0.0068955 | 0.0251020 | |
| 0.5285393 | 0.5253591 | 0.7485630 | 0.7430044 | 1.2585121 | 1.2486714 | |
| 0.5285393 | 0.5253591 | 0.7485630 | 0.7430044 | 1.2585122 | 1.2486714 | |
| 0.9984455 | 0.9984870 | 0.9965871 | 0.9966743 | 0.9899939 | 0.9901889 | |
| 0.0015545 | 0.0015130 | 0.0034129 | 0.0033257 | 0.0100061 | 0.0098111 | |
| 0.0013975 | 0.0013191 | 0.0047919 | 0.0045670 | 0.0251020 | 0.0243441 | |
| 0.5288857 | 0.5285393 | 0.7501344 | 0.7485630 | 1.2703945 | 1.2585121 | |
| 0.5288857 | 0.5285393 | 0.7501344 | 0.7485630 | 1.2703948 | 1.2585122 | |
| 0.9984379 | 0.9984455 | 0.9965519 | 0.9965871 | 0.9897164 | 0.9899939 | |
| 0.0015621 | 0.0015545 | 0.0034481 | 0.0034129 | 0.0102836 | 0.0100061 | |
| 0.0010108 | 0.0013975 | 0.0035746 | 0.0047919 | 0.0199789 | 0.0251020 | |



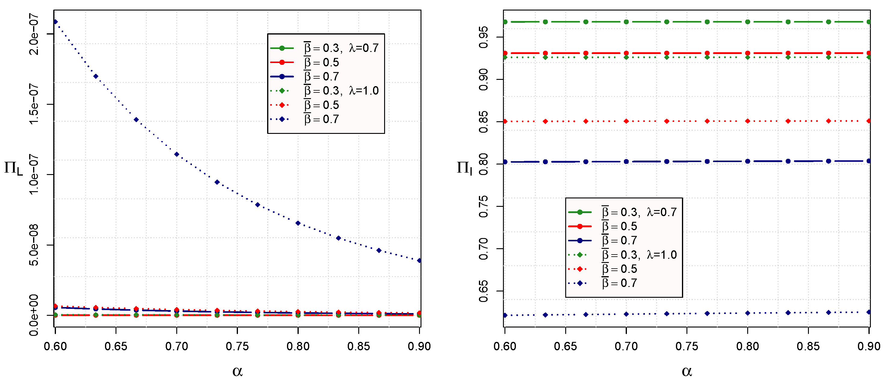
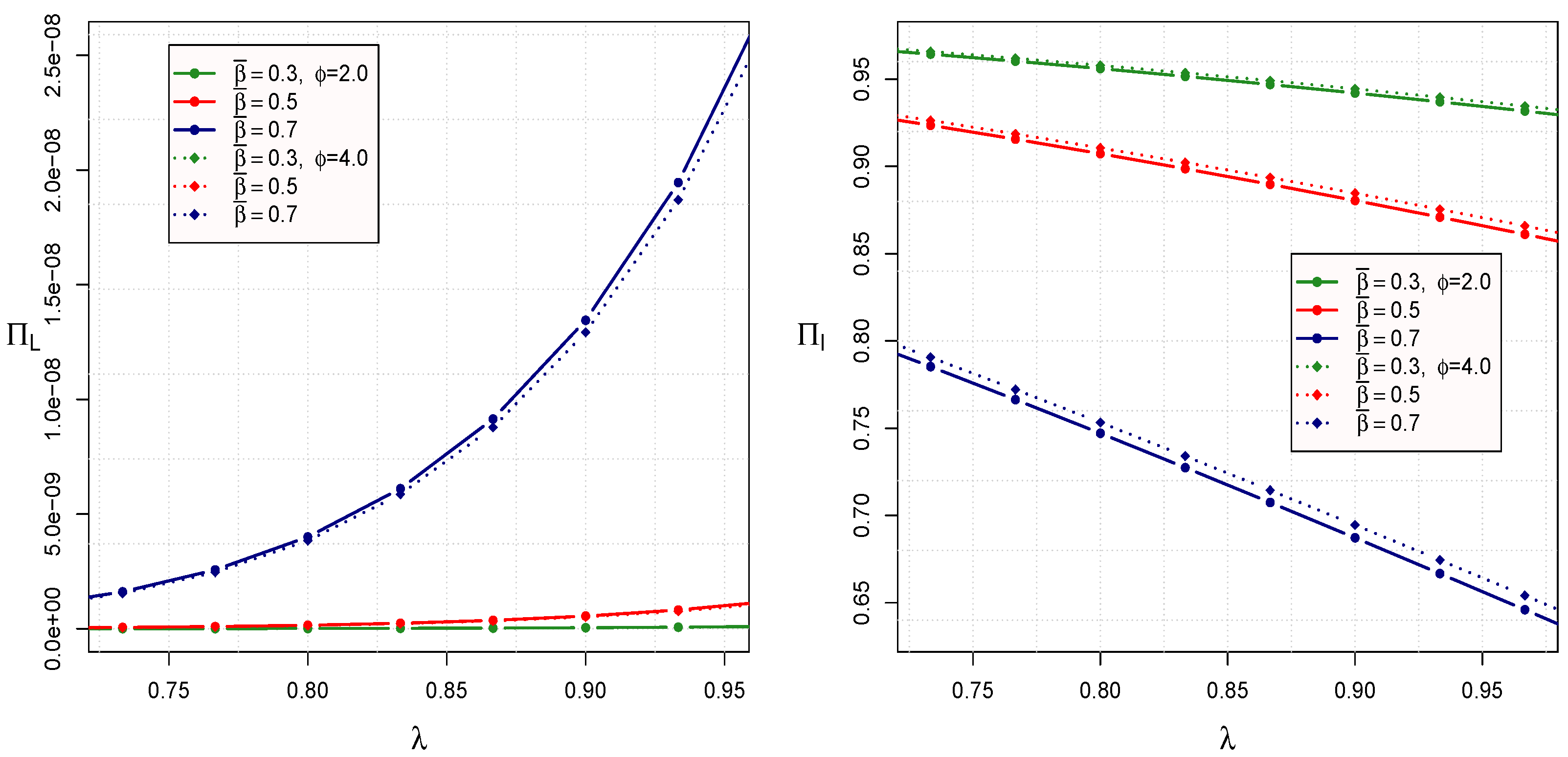
6.2. Numerical Results of Cost Optimization
6.3. Discussions
7. Model Application in Practice
- –
- We consider a flexible manufacturing facility that must concurrently support make-to-order (MTO) jobs—customer-specific production released upon demand—and opportunistic make-to-stock (MTS) runs that replenish standard inventory. The shop comprises two heterogeneous machines (servers) operating under a first-in, first-out (FIFO) discipline. Both machines primarily process MTO work. Incoming MTO orders that find both machines busy enter a finite buffer of size N; an arrival that encounters a full buffer is blocked and lost; otherwise, it joins the queue.
- –
- To sustain high utilization during light-load periods while preserving responsiveness to MTO demand, one machine (Server 2) may enter a working vacation (WV) whenever it becomes idle. During a WV, Server 2 continues to process jobs at a deliberately reduced service rate (for example, under a low-power or maintenance mode). The other machine (Server 1) remains fully available for MTO work at rate . This mechanism reflects the widely used modeling idea that a server need not switch completely off; instead, it can operate at a lower productive rate rather than halt altogether [30,78,79]. At the completion of a WV, Server 2 adapts to the system state: if the system is empty, it immediately initiates a new WV, capturing extended low-load spells; otherwise, it returns to normal operation and serves at its regular MTO rate . This interruption/continuation logic, standard in the WV literature, captures practical rules that preserve responsiveness when backlog exists [78,79].
- –
- Customer impatience is represented through two complementary behaviors. Balking allows a newly arriving order to decline entry when congestion is visible; in a finite-capacity setting, this is modeled by a state-dependent joining probability that depends on the observed system size i, generalizing the classical economics-of-balking perspective [80]. Reneging captures abandonment by customers who have joined but lose patience while waiting; we posit an exponential patience (hazard) rate while in the queue, following standard models of queues with abandonment [81,82,83]. Finally, we incorporate Bernoulli feedback at service completion: with probability , a job is routed back to the queue for rework (e.g., remedial processing or quality corrections), whereas with probability , it departs permanently. This abstraction is classical for rework loops and repeated service attempts [84,85].
- –
- In aggregate, the model integrates four operational realities—finite capacity, working vacations with interruption, impatience (balking and reneging), and rework via Bernoulli feedback—within a unified and tractable framework. The purpose is to support design decisions such as sizing the buffer N, tuning the aggressiveness of WV operation (choice of and the vacation policy), and quantifying the trade-offs among loss, abandonment, throughput, and cycle time in a two-server, heterogeneous MTO–MTS environment [86].
8. Conclusions and Perspectives
Author Contributions
Funding
Institutional Review Board Statement
Informed Consent Statement
Data Availability Statement
Acknowledgments
Conflicts of Interest
Notations
| Primitives and Parameters | |
| External arrival rate; mean inter-arrival time . | |
| Inter-arrival cdf, density, and Laplace–Stieltjes transform. | |
| N | Total capacity (in service + waiting). |
| Join/balking probability on seeing i customers. | |
| Exponential impatience (reneging) rate per waiting customer. | |
| Departure vs. feedback probability at service completion. | |
| Regular service rates of Server 1 and Server 2 . | |
| Server 2 service rate during a working vacation. | |
| Working-vacation termination rate. | |
| State processes and stationary objects | |
| Total customers in system at time t (queue + in service). | |
| Server 2 state: 0 = idle on WV; 1 = busy on WV; 2 = busy (regular). | |
| Remaining inter-arrival time at t. | |
| (density in u). | |
| Stationary version of as . | |
| LST of in u. | |
| Boundary (rate) probability at (arrival instant). | |
| Arbitrary-epoch stationary probability of . | |
| Pre-arrival (Palm) probability; . | |
| (WV balance parameter). | |
| (regular balance parameter). | |
| Performance measures | |
| Fractions of time: Server 2 idle on WV/busy on WV/busy regular. | |
| Loss probability on arrival: . | |
| Mean system size: . | |
| Mean sojourn time: . | |
| Effective joining rate. | |
| Average rates of balking and reneging. | |
| Cost model | |
| Unit cost coefficients used in the economic objective. | |
References
- Erlang, A.K. Sandsynlighedsregning og Telefonsamtaler. Nyt Tidss. Math. 1909, 20, 33–39. [Google Scholar]
- Kingman, J.F.C. The first Erlang century—and the next. Queueing Syst. 2009, 63, 3–12. [Google Scholar] [CrossRef]
- Kleinrock, L. Queueing Systems, Volume II: Computer Applications; Wiley: New York, NY, USA, 1976. [Google Scholar]
- Wolff, R.W. Stochastic Modeling and the Theory of Queues; Prentice-Hall International, Inc.: Englewood Cliffs, NJ, USA, 1989. [Google Scholar]
- Asmussen, S. Applied Probability and Qqueues, 2nd ed.; Springer: New York, NY, USA, 2003; Volume 51. [Google Scholar] [CrossRef]
- Baccelli, F.; Brémaud, P. Elements of Queueing Theory: Palm Martingale Calculus and Stochastic Recurrences, 2nd ed.; Springer: New York, NY, USA, 2003; Volume 26. [Google Scholar] [CrossRef]
- Takagi, H. Queueing Analysis, Volume 1: Vacation and Priority Systems; North-Holland: Amsterdam, The Netherlands, 1991. [Google Scholar]
- Shortle, J.F.; Thompson, J.M.; Gross, D.; Harris, C.M. Fundamentals of Queueing Theory, 5th ed.; John Wiley & Sons: Hoboken, NJ, USA, 2018. [Google Scholar] [CrossRef]
- Borovkov, A.A. Stochastic Processes in Queueing Theory; Applications of Mathematics, No. 4; Springer: New York, NY, USA, 1976; p. xi+280, Translated from the Russian by Kenneth Wickwire. [Google Scholar] [CrossRef]
- Khintchine, A.Y. Mathematical Methods in the Theory of Queueing; Griffin’s Statistical Monographs & Courses, No. 7; Andrews, D.M.; Quenouille, M.H., Translators; Hafner Publishing Co.: New York, NY, USA, 1960; p. 120. [Google Scholar]
- Little, J.D.C. A Proof for the Queueing Formula L=λW. Oper. Res. 1961, 9, 383–387. [Google Scholar] [CrossRef]
- Bouchentouf, A.A.; Laxmi, P.V.; Ziad, I. M/M/c/DWV Queueing Model with Bernoulli Schedule Working Vacation Interruption, Waiting Servers, and Impatience as a Model of a Call Center. Am. J. Math. Manag. Sci. 2025, 43, 173–192. [Google Scholar] [CrossRef]
- Yang, X.; Zhang, Y.; Wang, B.; Li, X.J. Performance Analysis and Cost Optimization of the M/M/1/N Queueing System with Working Vacation and Working Breakdown. Mathematics 2025, 13, 2980. [Google Scholar] [CrossRef]
- Singh, M.; Jain, M.; Singh, V.P. Analytical and Computational Study of Bi-level Vacation Policy for Transient Markovian Queue with State-Dependent Rates, Waiting Server, and Discouragement. Commun. Appl. Math. Comput. 2025, 1–26. [Google Scholar] [CrossRef]
- Dhibar, S.; Jain, M. Metaheuristics and strategic behavior of markovian retrial queue under breakdown, vacation and bernoulli feedback. Appl. Intell. 2025, 55, 273. [Google Scholar] [CrossRef]
- Tamuli, A.; Das, D.; Choudhury, A.; Kushvaha, B. Optimal service design for heterogeneous queueing system with reverse balking and reneging. Oper. Res. 2025, 25, 33. [Google Scholar] [CrossRef]
- Wu, C.H.; Yang, D.Y.; Lin, W.L. Modeling and cost optimization of controlling customer arrivals in queueing systems with two waiting areas. J. Ind. Manag. Optim. 2025, 21, 1251–1268. [Google Scholar] [CrossRef]
- Mathavavisakan, N.M.; Indhira, K.; Ammar, S.I. Cost optimization and analysis of retrial queues with hybrid vacation policies and fault correction: A metaheuristic approach. RAIRO-Oper. Res. 2025, 59, 2683–2720. [Google Scholar] [CrossRef]
- Ke, J.C.; Chang, F.M.; Liu, T.H. Bi-objective optimization of a retrial model with synchronous working vacation interruption. Qual. Technol. Quant. Manag. 2025, 22, 659–682. [Google Scholar] [CrossRef]
- Bouchentouf, A.A.; Kumar, K.; Chahal, P.K. Particle Swarm Optimization for a redundant repairable machining system with working vacations and impatience in a multi-phase random environment. Swarm Evol. Comput. 2024, 90, 101688. [Google Scholar] [CrossRef]
- Chahal, P.K.; Kumar, K.; Soodan, B.S. Grey wolf algorithm for cost optimization of cloud computing repairable system with N-policy, discouragement and two-level Bernoulli feedback. Math. Comput. Simul. 2024, 225, 545–569. [Google Scholar] [CrossRef]
- Haghighi, A.M.; Mishev, D.P. Queuing Models in Industry and Business; Nova Publishers: New York, NY, USA, 2008; LCCN 2007043239. [Google Scholar]
- Newell, G.F. Applications of Queueing Theory; Monographs on Applied Probability and Statistics; Chapman and Hall, Ltd.: London, UK, 1971; p. x+148. [Google Scholar]
- Haghighi, A.M.; Mishev, D.P. Delayed and Network Queues; John Wiley & Sons, Inc.: Hoboken, NJ, USA, 2016; p. xiii+400. [Google Scholar]
- Ancker, C.J., Jr.; Gafarian, A.V. Some queuing problems with balking and reneging. II. Oper. Res. 1963, 11, 928–937. [Google Scholar] [CrossRef]
- Ancker, C.J., Jr.; Gafarian, A.V. Some queuing problems with balking and reneging. I. Oper. Res. 1963, 11, 88–100. [Google Scholar] [CrossRef]
- Abou-El-Ata, M. The state-dependent queue: M/M/1/N with reneging and general balk functions. Microelectron. Reliab. 1991, 31, 1001–1007. [Google Scholar] [CrossRef]
- Wang, K.H.; Chang, Y.C. Cost analysis of a finite M/M/R queueing system with balking, reneging, and server breakdowns. Math. Methods Oper. Res. 2002, 56, 169–180. [Google Scholar] [CrossRef]
- Ammar, S.I.; Helan, M.M.; Al Amri, F.T. The busy period of an M/M/1 queue with balking and reneging. Appl. Math. Model. 2013, 37, 9223–9229. [Google Scholar] [CrossRef]
- Servi, L.; Finn, S. M/M/1 queues with working vacations (M/M/1/WV). Perform. Eval. 2002, 50, 41–52. [Google Scholar] [CrossRef]
- Xu, X.; Liu, M.; Zhao, X. The bulk input M[X]/M/1 queue with working vacations. J. Syst. Sci. Syst. Eng. 2009, 18, 358–368. [Google Scholar] [CrossRef]
- Baba, Y. The MX/M/1 Queue with Multiple Working Vacation. Am. J. Oper. Res. 2012, 2, 217–224. [Google Scholar] [CrossRef][Green Version]
- Jain, M.; Agrawal, P.K. M/Ek/1 queueing system with working vacation. Qual. Technol. Quant. Manag. 2007, 4, 455–470. [Google Scholar] [CrossRef]
- Li, J.h.; Tian, N.s.; Zhang, Z.G.; Luh, H.P. Analysis of the M/G/1 queue with exponentially working vacations—A matrix analytic approach. Queueing Syst. 2009, 61, 139–166. [Google Scholar] [CrossRef]
- Zhang, M.; Hou, Z. M/G/1 queue with single working vacation. J. Appl. Math. Comput. 2012, 39, 221–234. [Google Scholar] [CrossRef]
- Lin, C.H.; Ke, J.C. Multi-server system with single working vacation. Appl. Math. Model. 2009, 33, 2967–2977. [Google Scholar] [CrossRef]
- Xu, X.; Geng, J.; Liu, M.; Guo, H. Stationary analysis for the fluid model driven by the M/M/c working vacation queue. J. Math. Anal. Appl. 2013, 403, 423–433. [Google Scholar] [CrossRef]
- Wu, C.H.; Wang, K.H.; Ke, J.C.; Ke, J.B. A heuristic algorithm for the optimization of M/M/s queue with multiple working vacations. J. Ind. Manag. Optim. 2012, 8, 1–17. [Google Scholar] [CrossRef]
- Majid, S.; Manoharan, P. Analysis of a M/M/c queue with single and multiple synchronous working vacations. Appl. Appl. Math. 2017, 12, 671–694. [Google Scholar]
- Li, J.H.; Tian, N.S.; Liu, W.Y. Discrete-time GI/Geo/1 queue with multiple working vacations. Queueing Syst. 2007, 56, 53–63. [Google Scholar] [CrossRef]
- Li, J.h.; Tian, N.s. Analysis of the discrete time Geo/Geo/1 queue with single working vacation. Qual. Technol. Quant. Manag. 2008, 5, 77–89. [Google Scholar] [CrossRef]
- Baba, Y. Analysis of a GI/M/1 queue with multiple working vacations. Oper. Res. Lett. 2005, 33, 201–209. [Google Scholar] [CrossRef]
- Banik, A.; Gupta, U.; Pathak, S. On the GI/M/1/N queue with multiple working vacations—Analytic analysis and computation. Appl. Math. Model. 2007, 31, 1701–1710. [Google Scholar] [CrossRef]
- Li, J.H.; Tian, N.S.; Ma, Z.Y. Performance analysis of GI/M/1 queue with working vacations and vacation interruption. Appl. Math. Model. 2008, 32, 2715–2730. [Google Scholar] [CrossRef]
- Banik, A.D. Analysis of single working vacation in GI/M/1/N and GI/M/1/∞ queueing systems. Int. J. Oper. Res. 2010, 7, 314–333. [Google Scholar] [CrossRef]
- Zhang, M.; Hou, Z. Steady state analysis of the GI/M/1/N queue with a variant of multiple working vacations. Comput. Ind. Eng. 2011, 61, 1296–1301. [Google Scholar] [CrossRef]
- Yue, D.; Yue, W.; Xu, G. Analysis of customers’ impatience in an M/M/1 queue with working vacations. J. Ind. Manag. Optim. 2012, 8, 895–908. [Google Scholar] [CrossRef]
- Selvaraju, N.; Goswami, C. Impatient customers in an M/M/1 queue with single and multiple working vacations. Comput. Ind. Eng. 2013, 65, 207–215. [Google Scholar] [CrossRef]
- Laxmi, P.V.; Goswami, V.; Jyothsna, K. Analysis of finite buffer Markovian queue with balking, reneging and working vacations. Int. J. Strateg. Decis. Sci. 2013, 4, 1–24. [Google Scholar] [CrossRef]
- Bouchentouf, A.A.; Guendouzi, A.; Majid, S. On impatience in Markovian M/M/1/N/DWV queue with vacation interruption. Croat. Oper. Res. Rev. CRORR 2020, 11, 21–37. [Google Scholar] [CrossRef]
- Goswami, V. A discrete-time queue with balking, reneging, and working vacations. Int. J. Stoch. Anal. 2014, 8, 358529. [Google Scholar] [CrossRef]
- Laxmi, P.V.; Rajesh, P. Analysis of variant working vacations queue with customer impatience. Int. J. Manag. Sci. Eng. Manag. 2017, 12, 186–195. [Google Scholar] [CrossRef]
- Bouchentouf, A.A.; Guendouzi, A.; Meriem, H.; Shakir, M. Analysis of a single server queue in a multi-phase random environment with working vacations and customers’ impatience. Oper. Res. Decis. 2022, 32, 16–33. [Google Scholar] [CrossRef]
- Bouchentouf, A.A.; Houalef, M.; Guendouzi, A. Analysis of a batch arrival multi-server queueing system with waiting servers, synchronous working vacations and impatient customers. Acta Univ. Sapientiae Math. 2022, 14, 37–60. [Google Scholar] [CrossRef]
- Majid, S.; Bouchentouf, A.A.; Guendouzi, A. Analysis and optimisation of a M/M/1/WV queue with Bernoulli schedule vacation interruption and customer’s impatience. Acta Univ. Sapientiae Math. 2021, 13, 367–395. [Google Scholar] [CrossRef]
- Takacs, L. A single-server queue with feedback. Bell Syst. Tech. J. 1963, 42, 505–519. [Google Scholar] [CrossRef]
- Thangaraj, V.; Vanitha, S. On the analysis of M/M/1 feedback queue with catastrophes using continued fractions. Int. J. Pure Appl. Math. 2009, 53, 133–151. [Google Scholar]
- Kumar, R.; Jain, N.K.; Som, B.K. Optimization of an M/M/1/N feedback queue with retention of reneged customers. Oper. Res. Decis. 2014, 24, 45–58. [Google Scholar] [CrossRef]
- Ayyappan, G.; Shyamala, S. Transient solution of an M[X]/G/1 queueing model with feedback, random breakdowns, Bernoulli schedule server vacation and random setup time. Int. J. Oper. Res. 2016, 25, 196–211. [Google Scholar] [CrossRef]
- Bouchentouf, A.A.; Guendouzi, A. Sensitivity analysis of feedback multiple vacation queueing system with differentiated vacations, vacation interruptions and impatient customers. Int. J. Appl. Math. Stat. 2018, 57, 104–121. [Google Scholar]
- Bouchentouf, A.A.; Guendouzi, A. Cost optimization analysis for an MX/M/c vacation queueing system with waiting servers and impatient customers. SeMA J. 2019, 76, 309–341. [Google Scholar] [CrossRef]
- Bouchentouf, A.A.; Guendouzi, A. The MX/M/c Bernoulli feedback queue with variant multiple working vacations and impatient customers: Performance and economic analysis. Arab. J. Math. 2020, 9, 309–327. [Google Scholar] [CrossRef]
- Bouchentouf, A.A.; Guendouzi, A. Single server batch arrival Bernoulli feedback queueing system with waiting server, K-variant vacations and impatient customers. Oper. Res. Forum 2021, 2, 23. [Google Scholar] [CrossRef]
- Guendouzi, A.; Saadaoui, A. Customer impatience in the GI/M(k)/1/N queue with working vacation: Economic and performance analysis. Croat. Oper. Res. Rev. 2025, 17, 2026.0002. [Google Scholar] [CrossRef]
- Singh, V.P. Two-server Markovian queues with balking: Heterogeneous vs. homogeneous servers. Oper. Res. 1970, 18, 145–159. [Google Scholar] [CrossRef]
- Neuts, M.F.; Takahashi, Y. Asymptotic behavior of the stationary distributions in the GI/PH/c queue with heterogeneous servers. Z. Wahrsch. Verw. Gebiete 1981, 57, 441–452. [Google Scholar] [CrossRef]
- Shawky, A.I. On Poisson machine interference model: M/M/2/k/N with balking, reneging and heterogeneous repairmen. Commun. Fac. Sci. Univ. Ank. Sér. A1 Math. Stat. 2004, 53, 7–12. [Google Scholar] [CrossRef]
- Krishna Kumar, B.; Pavai Madheswari, S. An M/M/2 queueing system with heterogeneous servers and multiple vacations. Math. Comput. Model. 2005, 41, 1415–1429. [Google Scholar] [CrossRef]
- Bouchentouf, A.A.; Messabihi, A. Heterogeneous two-server queueing system with reverse balking and reneging. Opsearch 2018, 55, 251–267. [Google Scholar] [CrossRef]
- Krishnamoorthy, A.; Sreenivasan, C. An M/M/2 queueing system with heterogeneous servers including one with working vacation. Int. J. Stoch. Anal. 2012, 16, 145867. [Google Scholar] [CrossRef]
- Ammar, S.I. Transient analysis of a two-heterogeneous servers queue with impatient behavior. J. Egypt. Math. Soc. 2014, 22, 90–95. [Google Scholar] [CrossRef]
- Kumar, R.; Sharma, S. Transient analysis of a Markovian queuing model with multiple-heterogeneous servers, and customers’ impatience. Opsearch 2021, 58, 540–556. [Google Scholar] [CrossRef]
- Vijaya Laxmi, P.; Jyothsna, K. Balking and reneging multiple working vacations queue with heterogeneous servers. J. Math. Model. Algorithms Oper. Res. 2015, 14, 267–285. [Google Scholar] [CrossRef]
- Yang, X. A New Metaheuristic Bat-Inspired Algorithm. In Nature Inspired Cooperative Strategies for Optimization (NICSO 2010); González, J.R., Pelta, D.A., Cruz, C., Terrazas, G., Krasnogor, N., Eds.; Studies in Computational Intelligence; Springer: Berlin/Heidelberg, Germany, 2010; Volume 284, pp. 65–74. [Google Scholar] [CrossRef]
- Shekhar, C.; Varshney, S.; Kumar, A. Optimal control of a service system with emergency vacation using bat algorithm. J. Comput. Appl. Math. 2020, 364, 112332. [Google Scholar] [CrossRef]
- Jyothsna, K.; Vijaya Kumar, P.; Vijaya Laxmi, P. Bat algorithm for optimizing a working vacation queue with impatient clients and secondary service. Opsearch 2025, 62, 777–796. [Google Scholar] [CrossRef]
- Cox, D.R. The analysis of non-Markovian stochastic processes by the inclusion of supplementary variables. Proc. Camb. Philos. Soc. 1955, 51, 433–441. [Google Scholar] [CrossRef]
- Li, J.; Tian, N. The M/M/1 queue with working vacations and vacation interruptions. J. Syst. Sci. Syst. Eng. 2007, 16, 121–127. [Google Scholar] [CrossRef]
- Zhang, M.; Hou, Z. Performance analysis of M/G/1 queue with working vacations and vacation interruption. J. Comput. Appl. Math. 2010, 234, 2977–2985. [Google Scholar] [CrossRef]
- Naor, P. The regulation of queue size by levying tolls. Econometrica 1969, 37, 15–24. [Google Scholar] [CrossRef]
- Stanford, R.E. Reneging phenomena in single channel queues. Math. Oper. Res. 1979, 4, 162–178. [Google Scholar] [CrossRef]
- Ward, A.R.; Glynn, P.W. A diffusion approximation for a Markovian queue with reneging. Queueing Syst. 2003, 43, 103–128. [Google Scholar] [CrossRef]
- Ward, A.R.; Glynn, P.W. A diffusion approximation for a GI/GI/1 queue with balking or reneging. Queueing Syst. 2005, 50, 371–400. [Google Scholar] [CrossRef]
- Choi, B.D.; Kim, B.; Choi, S.H. On the M/G/1 Bernoulli feedback queue with multi-class customers. Comput. Oper. Res. 2000, 27, 269–286. [Google Scholar] [CrossRef]
- Choi, B.D.; Kim, B.; Choi, S.H. An M/G/1 queue with multiple types of feedback, gated vacations and FCFS policy. Comput. Oper. Res. 2003, 30, 1289–1309. [Google Scholar] [CrossRef]
- Gross, D.; Shortle, J.F.; Thompson, J.M.; Harris, C.M. Fundamentals of Queueing Theory, 4th ed.; Wiley Series in Probability and Statistics; John Wiley & Sons, Inc.: Hoboken, NJ, USA, 2008; p. xiv+500. [Google Scholar] [CrossRef]
- Latouche, G.; Ramaswami, V. Introduction to Matrix Analytic Methods in Stochastic Modeling; ASA-SIAM Series on Statistics and Applied Probability, Society for Industrial and Applied Mathematics (SIAM); American Statistical Association: Alexandria, VA, USA, 1999; p. xiv+334. [Google Scholar] [CrossRef]
- Neuts, M.F. A versatile Markovian point process. J. Appl. Probab. 1979, 16, 764–779. [Google Scholar] [CrossRef]
- Heffes, H.; Lucantoni, D.M. A Markov Modulated Characterization of Packetized Voice and Data Traffic. IEEE J. Sel. Areas Commun. 1986, 4, 856–868. [Google Scholar] [CrossRef]
- Lucantoni, D.M. New Results on the Single Server Queue with a Batch Markovian Arrival Process. Commun. Stat. Stoch. Model. 1991, 7, 1–46. [Google Scholar] [CrossRef]
- Green, L.V.; Kolesar, P.J.; Whitt, W. Coping with Time-Varying Demand when Setting Staffing Requirements for a Service System. Prod. Oper. Manag. 2007, 16, 13–39. [Google Scholar] [CrossRef]
- Kelly, F.P. Reversibility and Stochastic Networks. with a New Preface, 1979th ed.; Cambridge University Press: Cambridge, UK, 2011. [Google Scholar]
- Boucherie, R.J.; van Dijk, N.M. (Eds.) Queueing Networks. A Fundamental Approach; Springer: New York, NY, USA, 2011; Volume 154. [Google Scholar] [CrossRef]
- Gans, N.; Koole, G.; Mandelbaum, A. Telephone Call Centers: Tutorial, Review, and Research Prospects. Manuf. Serv. Oper. Manag. 2003, 5, 79–141. [Google Scholar] [CrossRef]
- Harchol-Balter, M. Performance Modeling and Design of Computer Systems. Queueing Theory in Action; Cambridge University Press: Cambridge, UK, 2013. [Google Scholar] [CrossRef]
- Brown, L.; Gans, N.; Mandelbaum, A.; Sakov, A.; Shen, H.; Zeltyn, S.; Zhao, L. Statistical analysis of a telephone call center: A queueing-science perspective. J. Am. Stat. Assoc. 2005, 100, 36–50. [Google Scholar] [CrossRef]
- Garnett, O.; Mandelbaum, A.; Reiman, M.I. Designing a Call Center with Impatient Customers. Manuf. Serv. Oper. Manag. 2002, 4, 208–227. [Google Scholar] [CrossRef]
- Whittle, P. Restless Bandits: Activity Allocation in a Changing World; Cambridge University Press: Cambridge, UK, 1988. [Google Scholar] [CrossRef]
- Sutton, R.S.; Barto, A.G. Reinforcement Learning—An Introduction, 2nd ed.; MIT Press: Cambridge, MA, USA, 2018. [Google Scholar]
- Rockafellar, R.T.; Uryasev, S. Optimization of Conditional Value-at-Risk. J. Risk 2000, 2, 21–41. [Google Scholar] [CrossRef]
- Ben-Tal, A.; El Ghaoui, L.; Nemirovski, A. Robust Optimization; Princeton Series in Applied Mathematics; Princeton University Press: Princeton, NJ, USA, 2009; p. xxii+542. [Google Scholar] [CrossRef]
- Shwartz, A.; Weiss, A. Large Deviations for Performance Analysis. Queues, Communications, and Computing, 1995th ed.; Routledge Revivals; Routledge: Milton, FL, USA, 2018. [Google Scholar] [CrossRef]
- Asmussen, S.r.; Glynn, P.W. Stochastic Simulation: Algorithms and Analysis; Stochastic Modelling and Applied Probability; Springer: New York, NY, USA, 2007; Volume 57, p. xiv+476. [Google Scholar] [CrossRef]
- Juneja, S.; Shahabuddin, P. Rare-Event Simulation Techniques: An Introduction and Recent Advances. In Handbooks in Operations Research and Management Science; Henderson, S.G., Nelson, B.L., Eds.; Elsevier: Amsterdam, The Netherlands, 2006; Volume 13, pp. 291–350. [Google Scholar] [CrossRef]
- Sidje, R.B. EXPOKIT: A Software Package for Computing Matrix Exponentials. ACM Trans. Math. Softw. 1998, 24, 130–156. [Google Scholar] [CrossRef]






| Reference Block | Arr. | Fin N | 2H | WV | Balk. | Ren. | FB | Palm/Time | Scope/Method |
|---|---|---|---|---|---|---|---|---|---|
| [30] | P | 🟠 | ⚪ | 🟢 | ⚪ | ⚪ | ⚪ | ⚪ | Canonical working-vacation idea; single server baseline. |
| WV, multi-server (homog.) [35,36,37,38,40,41] | P/GI | 🟠 | 🟠 | 🟢 | ⚪ | ⚪ | ⚪ | ⚪ | Homogeneous c; PH/Erlang/discrete-time variants; some finite buffers. |
| GI input with WV (mostly ) [42,45,46] | GI | 🟠 | ⚪ | 🟢 | ⚪ | ⚪ | ⚪ | 🟠 | Renewal via supplementary variable/PH; mainly single-server. |
| WV + impatience (Markovian) [48,50,52,53,54] | P | 🟠 | 🟠 | 🟢 | 🟢 | 🟢 | ⚪ | ⚪ | Balking & reneging with WV; chiefly or homogeneous servers. |
| Feedback queues (no WV) [56,57,58,59,61,63] | P/GI | 🟠 | 🟠 | ⚪ | ⚪ | ⚪ | 🟢 | ⚪ | Classical rework/feedback; little coupling with WV. |
| Heterogeneous [65,66,67,70,71,72] | P | 🟠 | 🟢 | ⚪ | 🟠 | 🟠 | ⚪ | ⚪ | Two unequal servers; limited impatience/WV interaction. |
| (heterogeneous) [73] | GI | 🟢 | 🟢 | ⚪ | 🟠 | 🟠 | ⚪ | ⚪ | Finite capacity under renewal input; no WV/feedback/cost pipeline. |
| Present work | P/GI | 🟢 | 🟢 | 🟢 | 🟢 | 🟢 | 🟢 | 🟢 | Unified with heterogeneity, WV, state-dep. balking, exp. reneging, Bernoulli feedback; explicit Palm vs. time; supplementary variable + LST recursion (); full performance; economic cost + Bat optimization [74,75,76] Section 3, Section 4 and Section 5. |
| i | ||||||
|---|---|---|---|---|---|---|
| Deterministic inter-arrival time distribution | ||||||
| 0 | 0.3589552 | 0.7055414 | ||||
| 1 | 0.2661013 | 0.06782457 | 0.12072168 | 0.1208911 | 0.02869207 | 0.00995806 |
| 2 | 0.07912866 | 0.07143672 | 0.06173432 | 0.04550012 | ||
| 3 | 0.01260821 | 0.01819160 | 0.01022743 | 0.01339617 | ||
| 4 | 0.00151615 | 0.00300192 | 0.00126551 | 0.00236619 | ||
| 5 | 0.00013569 | 0.00034105 | 0.00011576 | 0.00028012 | ||
| 6 | 0.00000878 | 0.00002671 | 0.00000762 | 0.00002256 | ||
| 7 | 0.00000038 | 0.00000139 | 0.00000034 | 0.00000119 | ||
| 8 | 0.00000001 | 0.00000003 | 0.00000002 | 0.00000004 | ||
| 9 | 0.00000000 | 0.00000000 | 0.00000000 | 0.00000000 | ||
| Sum | 0.6250565 | 0.16122245 | 0.21372110 | 0.8264325 | 0.10204305 | 0.07152445 |
| Exponential inter-arrival time distribution | ||||||
| 0 | 0.6413016 | 0.6413016 | ||||
| 1 | 0.2238212 | 0.02989575 | 0.02623701 | 0.2238212 | 0.02989575 | 0.02623701 |
| 2 | 0.04733494 | 0.01944150 | 0.04733494 | 0.01944150 | ||
| 3 | 0.00614876 | 0.00444061 | 0.00614876 | 0.00444061 | ||
| 4 | 0.00061891 | 0.00064103 | 0.00061891 | 0.00064103 | ||
| 5 | 0.00004733 | 0.00006390 | 0.00004733 | 0.00006390 | ||
| 6 | 0.00000266 | 0.00000443 | 0.00000266 | 0.00000443 | ||
| 7 | 0.00000010 | 0.00000020 | 0.00000010 | 0.00000020 | ||
| 8 | 0.00000000 | 0.00000001 | 0.00000000 | 0.00000001 | ||
| 9 | 0.00000000 | 0.00000000 | 0.00000000 | 0.00000000 | ||
| Sum | 0.8651229 | 0.08404845 | 0.05082868 | 0.8651229 | 0.08404845 | 0.05082868 |
| Erlang-2 inter-arrival time distribution | ||||||
| 0 | 0.90496984 | 0.5950249 | ||||
| 1 | 0.08299433 | 0.00385205 | 0.00451111 | 0.3586692 | 0.01288227 | 0.01095993 |
| 2 | 0.00233648 | 0.00125206 | 0.01663433 | 0.00525185 | ||
| 3 | 0.00003961 | 0.00004322 | 0.00030899 | 0.00025859 | ||
| 4 | 0.00000048 | 0.00000082 | 0.00000404 | 0.00000577 | ||
| 5 | 0.00000000 | 0.00000001 | 0.00000004 | 0.00000008 | ||
| 6 | 0.00000000 | 0.00000000 | 0.00000000 | 0.00000000 | ||
| 7 | 0.00000000 | 0.00000000 | 0.00000000 | 0.00000000 | ||
| 8 | 0.00000000 | 0.00000000 | 0.00000000 | 0.00000000 | ||
| 9 | 0.00000000 | 0.00000000 | 0.00000000 | 0.00000000 | ||
| Sum | 0.98796417 | 0.00622862 | 0.00580721 | 0.9536941 | 0.02982966 | 0.01647621 |
| variation (with balking) | variation (with balking) | |||||
| 0.4755609 | 0.4556073 | 0.4355588 | 0.5991304 | 0.5583294 | 0.5217978 | |
| 0.3963007 | 0.3796727 | 0.3629657 | 0.4993088 | 0.4652965 | 0.4348463 | |
| 1.0585704 | 1.0736609 | 1.0862906 | 1.1999195 | 1.1999433 | 1.1999592 | |
| 0.1414296 | 0.1263391 | 0.1137094 | 0.0000805 | 0.0000567 | 0.0000408 | |
| 0.0206344 | 0.0172738 | 0.0146332 | 0.1027059 | 0.0828194 | 0.0679238 | |
| variation (with balking) | variation (without balking) | |||||
| 0.4556073 | 0.4499070 | 0.4431046 | 0.5583294 | 0.5342463 | 0.5140029 | |
| 0.3796727 | 0.3749225 | 0.3692539 | 0.4652965 | 0.4452205 | 0.4283468 | |
| 1.0736609 | 1.0849904 | 1.0929703 | 1.1999433 | 1.1999590 | 1.1999692 | |
| 0.1263391 | 0.1150096 | 0.1070297 | 0.0000567 | 0.0000410 | 0.0000308 | |
| 0.0172738 | 0.0149741 | 0.0133365 | 0.0828194 | 0.0679570 | 0.0578190 | |
| variation (with balking) | variation (without balking) | |||||
| 0.4556073 | 0.4513631 | 0.4472588 | 0.5583294 | 0.5540824 | 0.5499365 | |
| 0.3796727 | 0.3761359 | 0.3727157 | 0.4652965 | 0.4617568 | 0.4583014 | |
| 1.0736609 | 1.0763325 | 1.0788873 | 1.1999433 | 1.1999443 | 1.1999452 | |
| 0.1263391 | 0.1236675 | 0.1211127 | 0.0000567 | 0.0000557 | 0.0000548 | |
| 0.0172738 | 0.0167911 | 0.0163336 | 0.0828194 | 0.0814966 | 0.0802134 | |
| With Balking | Without Balking | ||||
|---|---|---|---|---|---|
| 1.6220068 | 1.9243682 | 1.2092605 | 1.3692950 | ||
| 0.5429882 | 0.5702495 | 0.5018050 | 0.5213838 | ||
| 0.5206338 | 0.5651892 | 0.4405885 | 0.4677076 | ||
| 85.2775457 | 88.1958150 | 82.1100803 | 83.8265865 | ||
| 1.8395036 | 2.2576245 | 1.2879081 | 1.5292813 | ||
| 0.5598252 | 0.5966068 | 0.5057864 | 0.5313989 | ||
| 0.4590795 | 0.5475410 | 0.3285328 | 0.3848557 | ||
| 93.3784508 | 97.3268385 | 89.4158168 | 91.8879399 | ||
| 2.0449603 | 2.5894097 | 1.3117024 | 1.6659500 | ||
| 0.5619796 | 0.6001498 | 0.5079521 | 0.5444188 | ||
| 0.3384183 | 0.4609499 | 0.1290864 | 0.1587587 | ||
| 100.7312278 | 105.7525288 | 95.9237311 | 99.2935054 | ||
Disclaimer/Publisher’s Note: The statements, opinions and data contained in all publications are solely those of the individual author(s) and contributor(s) and not of MDPI and/or the editor(s). MDPI and/or the editor(s) disclaim responsibility for any injury to people or property resulting from any ideas, methods, instructions or products referred to in the content. |
© 2025 by the authors. Licensee MDPI, Basel, Switzerland. This article is an open access article distributed under the terms and conditions of the Creative Commons Attribution (CC BY) license (https://creativecommons.org/licenses/by/4.0/).
Share and Cite
Guendouzi, A.; Bouzebda, S. Cost Optimization in a GI/M/2/N Queue with Heterogeneous Servers, Working Vacations, and Impatient Customers via the Bat Algorithm. Mathematics 2025, 13, 3559. https://doi.org/10.3390/math13213559
Guendouzi A, Bouzebda S. Cost Optimization in a GI/M/2/N Queue with Heterogeneous Servers, Working Vacations, and Impatient Customers via the Bat Algorithm. Mathematics. 2025; 13(21):3559. https://doi.org/10.3390/math13213559
Chicago/Turabian StyleGuendouzi, Abdelhak, and Salim Bouzebda. 2025. "Cost Optimization in a GI/M/2/N Queue with Heterogeneous Servers, Working Vacations, and Impatient Customers via the Bat Algorithm" Mathematics 13, no. 21: 3559. https://doi.org/10.3390/math13213559
APA StyleGuendouzi, A., & Bouzebda, S. (2025). Cost Optimization in a GI/M/2/N Queue with Heterogeneous Servers, Working Vacations, and Impatient Customers via the Bat Algorithm. Mathematics, 13(21), 3559. https://doi.org/10.3390/math13213559

