Multiplicative Fractional Hermite–Hadamard-Type Inequalities in G-Calculus
Abstract
1. Introduction
- ;
- ;
- ;
- , with .
2. Elements of G-Calculus
- , ;
- ;
- ;
- ;
- .
- A ∗-differentiable function is said to be ∗-increasing on , if for all .
- If for all , then is ∗-decreasing on .
- ;
- ;
- ;
- .
3. Quadrature and Convexity in Multiplicative Calculus
3.1. Multiplicative Quadrature Rules
3.1.1. Multiplicative Midpoint Formula
- 1-
- Multiplicative polynomial of degree 0: Let . Then,On the other hand, we haveThus, the multiplicative midpoint formula is at least of order 0.
- 2-
- Multiplicative polynomial of degree 1: Let . Then,On the other hand, we haveThus, the multiplicative midpoint formula is at least of order 1.
- 3-
- Multiplicative polynomial of degree 2: Let . Then, we haveOn the other hand, we haveSince , the multiplicative midpoint formula is not exact for multiplicative polynomials of degree 2. Therefore, the formula is indeed of order 1.The proof is completed. □
3.1.2. Multiplicative Trapezium Formula
- 1-
- Multiplicative polynomial of degree 0: For , we havewhich is equal to given by (4). Thus, the multiplicative trapezium formula is at least of order 0.
- 2-
- Multiplicative polynomial of degree 1: For , we havewhich is equal to given by (5). Thus, the multiplicative trapezium formula is at least of order 1.
- 3-
- Multiplicative polynomial of degree 2: Let . Then, we haveSince , the multiplicative trapezium formula is not exact for multiplicative polynomials of degree 2. Therefore, the formula is indeed of order 1.Thus, the proof is completed. □
3.2. Convexity in the Framework of Multiplicative Calculus
- Every polynomial with non-negative coefficients is a -convex function on ;
- is -convex on ;
- is -convex on ;
- is -convex on .
4. Multiplicative Hermite–Hadamard-Type Inequalities
4.1. Multiplicative Hermite–Hadamard Inequality
4.2. Multiplicative Midpoint-Type Inequalities
4.3. Multiplicative Trapezoid-Type Inequalities
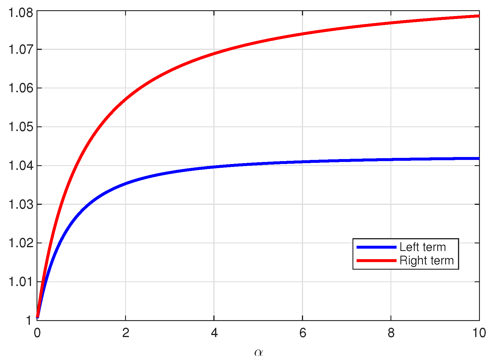
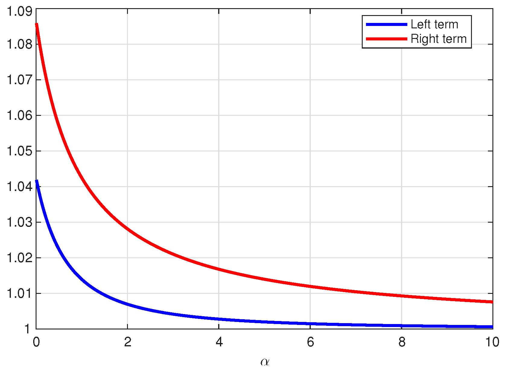
5. Illustrative Example
6. Practical Applications
7. Conclusions
Author Contributions
Funding
Data Availability Statement
Conflicts of Interest
References
- Grossman, M.; Katz, R. Non-Newtonian Calculus; Lee Press: Pigeon Cove, MA, USA, 1972. [Google Scholar]
- Stanley, D. A multiplicative calculus. Primus IX 1999, 4, 310–326. [Google Scholar] [CrossRef]
- Bashirov, A.E.; Kurpınar, E.M.; Özyapıcı, A. Multiplicative calculus and its applications. J. Math. Anal. Appl. 2008, 337, 36–48. [Google Scholar] [CrossRef]
- Boruah, K.; Hazarika, B. Application of geometric calculus in numerical analysis and difference sequence spaces. J. Math. Anal. Appl. 2017, 449, 1265–1285. [Google Scholar] [CrossRef]
- Boruah, K.; Hazarika, B. G-calculus. TWMS J. Appl. Eng. Math. 2018, 8, 94–105. [Google Scholar]
- Georgiev, S.G.; Zennir, K. Multiplicative Differential Calculus; Chapman & Hall/CRC: Boca Raton, FL, USA, 2022; Volume I. [Google Scholar]
- Grossman, M. Bigeometric Calculus: A System with a Scale-Free Derivative; Archimedes Foundation: Rockport, MA, USA, 1983. [Google Scholar]
- Abdeljawad, T.; Grossman, M. On geometric fractional calculus. J. Semigroup Theory Appl. 2016, 2016, 2. [Google Scholar]
- Fu, H.; Peng, Y.; Du, T.S. Some inequalities for multiplicative tempered fractional integrals involving the λ-incomplete gamma functions. AIMS Math. 2021, 6, 7456–7478. [Google Scholar] [CrossRef]
- Zhou, Z.; Du, T.S. Analytical properties and related inequalities derived from multiplicative Hadamard k-fractional integrals. Chaos Solitons Fractals 2024, 189, 115715. [Google Scholar] [CrossRef]
- Ai, D.; Du, T. A study on Newton-type inequalities bounds for twice ∗ differentiable functions under multiplicative Katugampola fractional integrals. Fractals 2025, 33, 2550032. [Google Scholar] [CrossRef]
- Budak, H.; Ergün, B. On multiplicative conformable fractional integrals: Theory and applications. Bound. Value Probl. 2025, 2025, 30. [Google Scholar] [CrossRef]
- Peng, Y.; Fu, H.; Du, T.S. Estimations of bounds on the multiplicative fractional integral inequalities having exponential kernels. Commun. Math. Stat. 2024, 12, 187–211. [Google Scholar] [CrossRef]
- Du, T.; Long, Y.; Liao, J. Multiplicative fractional HH-type inequalities via multiplicative AB-fractional integral operators. J. Comput. Appl. Math. 2026, 474, 116970. [Google Scholar] [CrossRef]
- Bas, U.; Akkurt, A.; Has, A.; Yildirim, H. Multiplicative Riemann–Liouville fractional integrals and derivatives. Chaos Solitons Fractals 2025, 196, 116310. [Google Scholar] [CrossRef]
- Kırmacı, U. Inequalities for differentiable mappings and applications to special means of real numbers and to midpoint formula. Appl. Math. Comput. 2004, 147, 137–146. [Google Scholar] [CrossRef]
- Dragomir, S.S.; Agarwal, R.P. Two inequalities for differentiable mappings and applications to special means of real numbers and to trapezoidal formula. Appl. Math. Lett. 1998, 11, 91–95. [Google Scholar] [CrossRef]
- Umar, M.; Butt, S.I.; Seol, Y. Milne and Hermite-Hadamard’s type inequalities for strongly multiplicative convex function via multiplicative calculus. AIMS Math. 2024, 9, 34090–34108. [Google Scholar] [CrossRef]
- Özcan, S. Hermite-Hadamard type inequalities for multiplicatively p-convex functions. J. Inequal. Appl. 2023, 2023, 121. [Google Scholar] [CrossRef]
- Ojo, A.; Olanipekun, P.O. Refinements of generalised Hermite-Hadamard inequality. Bull. Sci. Math. 2023, 188, 103316. [Google Scholar] [CrossRef]
- Lakhdari, A.; Budak, H.; Mlaiki, N.; Meftah, B.; Abdeljawad, T. New insights on fractal–fractional integral inequalities: Hermite–Hadamard and Milne estimates. Chaos Solitons Fractals 2025, 193, 116087. [Google Scholar] [CrossRef]
- Çakmak, A.F.; Başar, F. On line and double integrals in the non-Newtonian sense. In Proceedings of the AIP Conference Proceedings; American Institute of Physics: New York, NY, USA, 2014; Volume 1611, pp. 415–423. [Google Scholar]
- Anderson, G.D.; Vamanamurthy, M.K.; Vuorinen, M. Generalized convexity and inequalities. J. Math. Anal. Appl. 2007, 335, 1294–1308. [Google Scholar] [CrossRef]
- Niculescu, C.P. Convexity according to the geometric mean. Math. Inequal. Appl. 2000, 3, 155–167. [Google Scholar] [CrossRef]
- Dragomir, S.S. Inequalities of Hermite-Hadamard type for GG-convex functions. An. Univ. Vest Timiş. Ser. Mat.-Inform. 2019, 57, 34–52. [Google Scholar] [CrossRef]


| , | |
| , where |
Disclaimer/Publisher’s Note: The statements, opinions and data contained in all publications are solely those of the individual author(s) and contributor(s) and not of MDPI and/or the editor(s). MDPI and/or the editor(s) disclaim responsibility for any injury to people or property resulting from any ideas, methods, instructions or products referred to in the content. |
© 2025 by the authors. Licensee MDPI, Basel, Switzerland. This article is an open access article distributed under the terms and conditions of the Creative Commons Attribution (CC BY) license (https://creativecommons.org/licenses/by/4.0/).
Share and Cite
Lakhdari, A.; Saleh, W. Multiplicative Fractional Hermite–Hadamard-Type Inequalities in G-Calculus. Mathematics 2025, 13, 3426. https://doi.org/10.3390/math13213426
Lakhdari A, Saleh W. Multiplicative Fractional Hermite–Hadamard-Type Inequalities in G-Calculus. Mathematics. 2025; 13(21):3426. https://doi.org/10.3390/math13213426
Chicago/Turabian StyleLakhdari, Abdelghani, and Wedad Saleh. 2025. "Multiplicative Fractional Hermite–Hadamard-Type Inequalities in G-Calculus" Mathematics 13, no. 21: 3426. https://doi.org/10.3390/math13213426
APA StyleLakhdari, A., & Saleh, W. (2025). Multiplicative Fractional Hermite–Hadamard-Type Inequalities in G-Calculus. Mathematics, 13(21), 3426. https://doi.org/10.3390/math13213426

