Abstract
The Kennedy model provides a flexible and mathematically consistent framework for modeling the term structure of interest rates, leveraging Gaussian random fields to capture the dynamics of forward rates. Building upon our earlier work, where we developed both theoretical results—including novel proofs of the martingale property, connections between the Kennedy and HJM frameworks, and parameter estimation theory—and practical calibration methods, using maximum likelihood, Radon–Nikodym derivatives, and numerical optimization (stochastic gradient descent) on simulated and real par swap rate data, this study extends the analysis in several directions. We derive detailed formulas for the volatilities implied by the Kennedy model and investigate their asymptotic properties. A comprehensive sensitivity analysis is conducted to evaluate the impact of key parameters on derivative prices. We implement an industry-standard Monte Carlo method, tailored to the conditional distribution of the Kennedy field, to efficiently generate scenarios consistent with observed initial forward curves. Furthermore, we present closed-form pricing formulas for various interest rate derivatives, including zero-coupon bonds, caplets, floorlets, swaplets, and the par swap rate. A key advantage of these results is that the formulas are expressed explicitly in terms of the initial forward curve and the original parameters of the Kennedy model, which ensures both analytical tractability and consistency with market-observed data. These closed-form expressions can be directly utilized in calibration procedures, substantially accelerating multidimensional nonlinear optimization algorithms. Moreover, given an observed initial forward curve, the model provides significantly more accurate pricing formulas, enhancing both theoretical precision and practical applicability. Finally, we calibrate the Kennedy model to market-observed caplet prices. The findings provide valuable insights into the practical applicability and robustness of the Kennedy model in real-world financial markets.
Keywords:
Kennedy model; calibration; term structure model; option pricing; interest rate caplet; Gaussian random field; implied volatility; sensitivity analysis; caplet calibration MSC:
60G15; 91G30; 62M20
1. Introduction
In the last decade, the occurrence of negative interest rates has posed significant challenges for classical term structure models, motivating the development and re-evaluation of interest rate models capable of handling such phenomena. Among these, the Kennedy model, which describes forward rate dynamics as a Gaussian random field, offers a flexible framework that naturally accommodates negative rates while remaining consistent with the Heath–Jarrow–Morton (HJM) framework [1,2,3].
Building upon our previous work [4] where we developed both theoretical results—including novel proofs of the martingale property, connections between the Kennedy and HJM frameworks, and parameter estimation theory—and practical calibration methods on par swap rates using maximum likelihood, Radon–Nikodym derivatives, and numerical optimization (stochastic gradient descent) on simulated and real par swap rate data, this paper presents an extended analysis focusing on additional theoretical and practical aspects of the model. Specifically, we examine implied volatilities, parameter sensitivities, simulation techniques, and model calibration to caplet prices using market-implied volatilities. We also analyze conditional expectations arising in the pricing formulas, which play a crucial role in evaluating interest rate derivatives.
Moreover, as shown in our earlier study, the Kennedy model can be viewed as a special case of the Gaussian Heath–Jarrow–Morton (HJM) framework when both the drift and the volatility terms are deterministic. This equivalence highlights that the Kennedy model is not only mathematically tractable but also consistent with the industry-standard HJM paradigm, thereby reinforcing its theoretical and practical relevance.
The paper is organized as follows: Section 2 introduces the Kennedy model, its Gaussian random field structure, and the theoretical properties necessary for pricing interest rate derivatives, in a formulation consistent with the original work of Kennedy [1]. We also discuss the special case where two of the model parameters coincide, a case not considered in previous studies. This restriction can be useful from a dimension-reduction perspective, leading to simpler formulas and faster calibration procedures. Section 3 derives conditional expectations and variances of key quantities, which yield more precise closed-form pricing formulas that explicitly incorporate market-observed initial forward curves, thereby enabling more accurate and consistent calibration. Section 4 develops an efficient simulation algorithm for the Kennedy random field given an initial forward curve. This provides a fast and effective tool to generate consistent forward rate scenarios, which will later be applied to the Monte Carlo pricing of financial instruments.
In Section 5 we present closed-form pricing formulas for a range of interest rate derivatives, including zero-coupon bonds, caplets, floorlets, swaplets, and the par swap rate. These results are particularly useful for calibration, as they allow multidimensional nonlinear optimization algorithms to run orders of magnitude faster. Section 6 validates the closed-form zero-coupon bond pricing formula by means of an industry-standard Monte Carlo simulation, utilizing the previously introduced Kennedy field simulation algorithm. Section 7 investigates the sensitivities of derivative prices to changes in the model parameters, providing practical insight into the model’s stability and robustness. Section 8 establishes a connection between the Kennedy and Black models, deriving a closed-form expression for implied volatilities. Since implied volatility surfaces are smoother than market prices and swaps and caplets are often quoted in implied volatility terms, this provides a particularly effective tool for calibration. Section 9 performs a calibration study of the Kennedy model to market-observed caplet prices. Here we also assess whether the parameters can be treated as constant over time and examine the model’s predictive power. We conclude the paper with a summary of findings and remarks on possible directions for future research.
Compared to our earlier study, this paper extends the Kennedy framework along several new directions: we examine the previously unexplored special case of coinciding parameters, derive conditional pricing formulas that incorporate observable forward curves, provide a dedicated simulation scheme for the Kennedy field, establish closed-form implied volatility expressions, and perform a calibration exercise on real market data. These contributions strengthen both the theoretical understanding and the practical applicability of the Kennedy model in interest rate modeling.
2. The Kennedy Model
In the 1990s, Kennedy proposed a framework in which the evolution of forward rates is modeled through Gaussian random fields [1,2]. This approach offers several appealing properties: it is capable of representing negative interest rates and establishes a natural connection to the classical Heath–Jarrow–Morton (HJM) framework [3]. Furthermore, due to the well-known probabilistic characteristics of Gaussian random fields, the model enables parameter estimation via maximum likelihood and leads to analytical, Black–Scholes-style valuation formulas applicable to various financial instruments.
The dynamics of the forward rate in the Kennedy model can be formulated as
where represents the forward rate and denotes a zero-mean Gaussian random field characterized by the covariance structure
The drift term is assumed to be a deterministic and continuous function for , with an initial term structure specified for . Moreover, the condition holds for all , where denotes the initial forward rate curve. The covariance function is symmetric in and and is nonnegative definite for the pairs and . The dependence on guarantees that the Gaussian random field possesses independent increments.
A sufficient condition on the drift surface is derived to ensure that the discounted zero-coupon bond prices follow a martingale process. Consequently, the model provides a consistent framework for pricing interest-rate-related financial instruments.
We now introduce the following notations used throughout the model:
Here, . The function denotes the spot rate observed at time t, while represents the price of a bond valued at time s that pays one unit at maturity . The process defines the discounted value of this bond at time 0, with the information available at time s captured by the -algebra, indicating that the entire yield curve is observable at each time point. refers to the continuously compounded forward rate over the interval , where , and can be interpreted as the average forward rate applicable to the current period at time s.
An important result highlighted in Kennedy’s original work is presented below [2].
Theorem 1.
In the independent increments case, the following statements are equivalent:
- (a)
- The discounted bond price process is a martingale for each ;
- (b)
- , for all ;
- (c)
- for all , .
The detailed proof of this theorem can be found in Kennedy’s earlier publication [1], while an alternative derivation is provided in our previous work [4].
By assuming that the discounted bond price process satisfies the martingale property, and that the forward rate field exhibits both stationarity and the Markov property, the Kennedy model admits a closed-form representation with four parameters . Under these conditions, the covariance function of the forward rates can be expressed as
where , and .
The martingale condition is satisfied through the specification of the drift term :
where represents the expected value of the spot rate.
A detailed derivation of these results and a discussion of the underlying assumptions can be found in Kennedy’s original article [2] and in our previous work [4].
The Case
In this subsection, we investigate the special case of the Kennedy model when the two exponential decay parameters coincide, that is, when . In this setting, the analytical expressions of the covariance and the drift function significantly simplify, providing further insight into the internal structure of the model.
We begin by recalling the original covariance formula from Equation (8). In the special case where , this expression simplifies to
This simplified version exhibits a more symmetrical structure and leads to a more tractable analytical form for pricing, simulation, and calibration purposes.
The drift function originally given in Equation (9) becomes undefined when due to a division by zero. However, by taking the appropriate limit, we obtain the well-defined expression
Alternatively, one can derive the same formula using Theorem 1, part (c), which expresses the drift surface in terms of the covariance function as
When using the simplified covariance formula for the case , this expression also yields the same drift surface as the one obtained from the limit calculation. The consistency of these two approaches confirms the analytical soundness of the model.
In conclusion, both derivations lead to the same expression for the drift surface, demonstrating that the Kennedy model remains internally consistent and mathematically stable even in the special case where .
3. Conditional Expected Value and Standard Deviation of and
In interest rate markets, the initial forward curve is directly observable from market data, representing valuable information for model calibration. Incorporating this observable curve into the modeling framework can significantly improve calibration accuracy, as it allows the model to be explicitly conditioned on information available at time zero. To this end, we derive the conditional expected values, variances, and correlations of the forward rates (and of their integrals over different time scales) given the observed initial forward curve. These quantities play a central role in the pricing of various interest rate derivatives.
Specifically, we introduce two integral quantities, consistent with our previous study, which capture the accumulation of forward rates over different time ranges:
By expressing these quantities as functions of the observed initial forward curve, we obtain pricing formulas that are consistent with market practice and more accurately aligned with the available information at the time of pricing. This, in turn, enhances the practical applicability of the model and its relevance for real-world calibration tasks.
Lemma 1.
Let be the σ-algebra defined by . Thus, the conditional expected value and variance of the terms in the pricing formula are as follows:
Proof.
By the Gaussian property, the integrals and are (conditionally) normally distributed with respect to . Hence, their exponentials are conditionally lognormal. For a normal random variable Z we have
which immediately yields the formulas stated in the lemma. □
In order to calculate Expressions (15) and (16) we have to calculate the following expected values: , , , and .
Proposition 1.
Let be the σ-algebra defined by . For the Kennedy field, the conditional expectations, variances, and correlations of the processes and with respect to are given by the following expressions
where .
Proof.
Let . It is known that the expression is independent of for all . In this case, we need to write down the covariance between the two and choose X such that, due to the properties of the normal distribution, it exactly cancels it out. Based on the previous results, using the covariance function of the special-case Kennedy field, the following can be calculated:
Thus, we can conclude that if X is represented in the following form , then the covariance will be canceled out. Furthermore, we know that the expected value of the expression must be equal to , so X will be equal to the following expression, where , in line with the previous notations.
In this case, the expected value will be equal to , and the covariance of the difference will be zero; thus we have shown that the conditional expected value will be equal to X, and therefore
Then, transitioning to the conditional expected values of and ,
In order to write the pricing formulas as a function of the initial forward curve, , we need to calculate the conditional covariances of and and the conditional correlation between and , for which we first need to express the conditional covariance of the forward rates.
In the Kennedy field, by Gaussian conditioning on -algebra, the conditional covariance takes the form
Starting from the definition of conditional covariance, centering on the conditional means, and using the linearity of conditional expectation together with the bilinearity of covariance yield the above identity after straightforward algebra.
Hence, the conditional variances of and are
Therefore, the last quantity we need for the pricing formulas is the conditional covariance between and where , the derivation of which follows.
Upon evaluating the above integrals, we obtain the first term.
Similarly to the first term, the calculation of the second part is demonstrated below.
Combining the two components yields the conditional covariance between and .
Hence, the conditional correlation between and is equal to the conditional covariance divided by the standard deviations of and .
□
The Case
In the special case where , we revisit the previously derived conditional expected values of and . In these expressions, the denominators involving become singular, so we apply first-order Taylor expansions and L’Hospital’s rule to evaluate the limits [5]. After simplification, we obtain the following results:
These simplified expressions show that in the limit case , the conditional expected values remain well-defined and retain a clear dependence on the initial forward curve and the exponential decay parameter .
When , the general formulas for the conditional variances contain singularities due to terms involving in the denominator, similarly to the conditional expected values. To resolve this, we apply L’Hospital’s rule and first-order Taylor expansions to obtain the limiting values. The resulting expressions are as follows:
These results show that the conditional variance of remains unchanged, while the expression for the variance of simplifies to an explicit and finite formula in the degenerate case.
Similarly to the previous expressions, the general formula for the conditional covariance of and becomes singular as . To compute the limiting form, we apply the L’Hospital rule and Taylor expansions again term by term. After simplification, we obtain the following closed-form expression:
This expression is smooth and free from singularities, and can thus be used directly in the pricing formulas when .
4. Simulation
Having calculated the conditional expected value and variance of the forward rate field with respect to the -algebra , we revised the simulation process from our previous study [4,6]. Our objective was to generate a Kennedy field based on a given initial forward curve input vector, ensuring that the field evolved according to the Kennedy model starting from the initial curve. Thus, let us denote the conditional expected value of the forward field with
Similarly to the previous simulation, we first generate a Brownian sheet, , over an equidistant grid. Next, we evaluate the generated field at the specified points, , and then scale it to match the prescribed variance, . Afterwards, we apply an affine transformation by adding the conditional expected value, , so that the resulting field satisfies both the conditional mean and variance requirements [7]. Therefore, produces the desired Kennedy field.
Figure 1 displays one realization of the Kennedy forward rate field on the time–maturity triangle , conditional on the observed initial forward curve for April 2025. The red line highlights the initial forward curve, . The simulation uses the April 2025 parameters obtained from the caplet calibration and the market initial curve as input (see in Section 9). All three panels show the same surface from different viewing angles so that the behaviours along both the calendar–time axis s (discounting time) and the maturity axis t are visible.
Figure 1.
Conditional simulation of the Kennedy forward rate field , using parameters calibrated to the April 2025 USD caplet panel and conditioned on the observed initial forward curve for that month.
Two features are apparent and consistent with market evidence. First, the short end of the yield curve is more volatile: for short maturities, the surface is visibly more irregular as s decreases, reflecting the stronger short-end volatility that is also implied by the Kennedy variance scaling across maturities. Second, as maturity grows, the surface becomes smoother and gradually stabilizes; i.e., the conditional variance decays with t and the field converges toward a flatter shape, which is in line with stylized facts for interest rate term structures. Since the field is conditioned on the observed , each maturity slice starts at the market initial level at and then evolves stochastically in s while preserving the Kennedy covariance structure governed by , and .
5. Pricing Formulas
In this section, we present the previously derived pricing formulas using conditional expected values, variances, and covariance, which make the formulas dependent on the initial forward curve. As a result, additional information will be incorporated into the formulas.
5.1. Zero-Coupon Bond
Let us start with one of the simplest financial products, the zero-coupon bond, paying one unit at time t, denoted by , as in Equation (6). Conditioning on the observed initial forward curve, the price satisfies the classical Heath–Jarrow–Morton identity:
In particular, all dependence on the Kennedy parameters is canceled in the combination ; hence the zero-coupon bond price at time 0 is determined entirely by the initial forward curve. This identity is the standard no-arbitrage relation for discount bonds [8], and it provides a stringent internal consistency check for our conditional moment formulas. Equivalently, .
5.2. Caplet
Our objective is to determine the value of an interest rate caplet with strike K, covering the time interval . This instrument may be regarded as a European-style option written on the forward rate, which is exercised at time t whenever , where is specified in Equation (4). The corresponding payoff is realized at time . The payoff function below is consistent with Kennedy’s original article.
The discounted payoff at time s is given by
By taking the conditional expected value, the price of the caplet is obtained as
In our earlier work [4], we derived the corresponding pricing formula. In the present paper, we employ the same representation but substitute the conditional expectations, variances, and covariances , , , , and derived in Proposition 1, which yields a more precise conditional formula. Here, the discounting is taken to time s, while the contract starts at t and matures at ; i.e., we evaluate a -maturity instrument initiated at time t and settled at .
Proposition 2
(Caplet price in the Kennedy model). The closed-form expression of the caplet price is
5.3. Floorlet and Swaption
Analogously, the prices of floorlets and swaplets, which were also derived in our earlier work [4], where the same conditional quantities (, , , , and ) are used as in the caplet pricing formula corresponding to the same time points, can be obtained in closed forms as
5.4. Par Swap Rate
The par swap rate corresponds to the fixed interest rate that makes the present value of a swap equal to zero. In other words, it is the rate at which the discounted cash flows of the fixed and floating legs coincide. This quantity plays a central role in interest rate markets, as swaps are often quoted in terms of their par rates. Consequently, par swap rates are widely used as calibration instruments, providing a natural link between model dynamics and observable market data.
In our earlier work, the parameters of the Kennedy model were calibrated to observed par swap rate data, utilizing the explicit pricing formula for the par swap rate in the unconditional setting. In the present study, we extend this analysis by deriving the par swap rate, also under the assumption that the initial forward curve is observed and fixed. This conditional formulation preserves the tractability of the pricing formula, while making it more consistent with market practice and better suited for calibration to real-world data.
We can now formulate the following result, which provides the closed-form representation of the par swap rate in terms of the Kennedy model parameters and the initial forward curve.
Proposition 3.
We consider a one-period interest rate swap (swaplet) that starts at time t and accrues over a single period of length Δ. In the Kennedy model, under the conditional formulation with respect to the initial forward curve , the par swap rate admits a closed-form representation in terms of the model parameters μ, λ, and σ, as follows:
Proof.
The result follows directly from substituting the conditional expected value , variances , and the conditional covariance of and into the par swap rate pricing formula, discounted to time 0 (as quotes always reflect the current market situation), which was derived in our previous article [4].
Naturally, the par swap rate can also be computed for any time point s using the following formula.
□
6. Monte Carlo Simulations
To validate the correctness of the analytical pricing formulas derived earlier, we implemented the industry-standard Monte Carlo method [9]. The key idea of this approach is to simulate a large number of realizations of the forward rate field using the adapted simulation algorithm presented in Section 4. For each simulated path, we compute the corresponding payoffs of the financial products under consideration. As the number of simulation runs tends to infinity, the average simulated price converges to the theoretical price implied by the model. This provides a robust numerical check on the analytical results, ensuring consistency between the theoretical derivations and the stochastic dynamics of the model.
Figure 2 plots the Monte Carlo estimate of the caplet price as a function of the number of simulated paths on a log scale. The dashed horizontal line shows the closed-form price, the solid curve is the Monte Carlo mean, and the shaded band is the pointwise 95% confidence interval. As the number of paths increases, the Monte Carlo estimate stabilizes and the confidence band shrinks, converging to the analytical benchmark.
Figure 2.
Monte Carlo convergence to the analytical caplet price in the Kennedy model.
The figure clearly demonstrates that the analytical closed-form pricing formula and the prices obtained via Monte Carlo simulation are consistent, as the simulated estimates converge to the theoretical benchmark.
Beyond serving as a validation tool, Monte Carlo simulation also offers practical advantages when pricing more complex derivatives, for which closed-form solutions may not be available. In particular, the flexibility of the simulation framework allows us to incorporate path-dependent features, non-standard payoff structures, or alternative assumptions about the forward curve. However, this comes at the cost of increased computational burden: achieving high accuracy requires a large number of simulation runs, which can be time-consuming.
7. Sensitivity Analysis
In this section, we conduct a sensitivity analysis on the prices of caplets and swaptions. The floorlet is omitted from the analysis, as it behaves symmetrically to the caplet. The aim is to examine how the values of these derivatives respond to changes in the key model parameters. By systematically varying input parameters, such as volatility , mean reversion speed , and long-term mean , we assess the robustness of the pricing formulas and the overall behavior of the model. The parameter , which is the expected value of the spot rate, is also shown in the non-conditional case. This analysis provides valuable insight into the model’s stability and practical applicability in real market conditions.
A swaption, or swap option, is a derivative contract that gives its holder the right, without any obligation, to enter into a specified interest rate swap at a future date. At the exercise date, the holder decides whether to switch between paying a fixed rate and receiving a floating rate. The fair value of a payer swaption with k payment dates, observed at time s, can be expressed as
where denote the relevant payment dates and .
In the Kennedy model, deriving a closed-form expression for the swaption price is analytically intractable due to the path dependence and the nonlinearity of the payoff. Therefore, we rely on Monte Carlo simulation techniques to evaluate the swaption prices. This numerical approach not only provides accurate approximations but also enables us to perform a detailed sensitivity analysis of the model parameters with respect to swaption prices.
Caplet pricing is carried out using analytical formulas, while swaption prices are derived via Monte Carlo simulation. The model parameters under investigation include drift , long-term mean level , volatility , and the decay parameter . We also consider the effect of observable market inputs, such as the strike rate K and the time to maturity T.
To measure how price changes with respect to a given parameter, we apply a central finite-difference approximation of the partial derivative. These numerical approximations are analogous to the Greeks in the Black–Scholes framework [10]. For a parameter , we compute discrete sensitivity as
where denotes the price of a financial asset evaluated at the perturbed value of the parameter and is a small increment, typically . These derivatives approximate how robust the model output is to perturbations in the parameters obtained during calibration.
Figure 3 represents caplet price sensitivities obtained from the closed-form Kennedy formula, conditional on the initial forward curve. Unless otherwise stated, we fix the baseline parameters , with caplet start year and accrual length .
Figure 3.
Caplet price sensitivity with respect to model parameters and market inputs using the analytical pricing formula. Each subplot shows a single-factor perturbation.
The effect of maturity really depends on the shape of the initial forward curve. The caplet price declines monotonically with maturity, as the discounting effect dominates and the option’s time value quickly vanishes for longer tenors. Prices rise sharply and convexly in , indicating strong vega and the usual positive convexity of option values. Overall, these patterns are consistent with stylized facts observed in interest rate options markets.
Turning to the Kennedy parameters, increasing decreases the caplet price over our baseline range, whereas increasing raises it monotonically. In the –panel we set to avoid the degenerate case and to respect the admissibility condition on the grid.
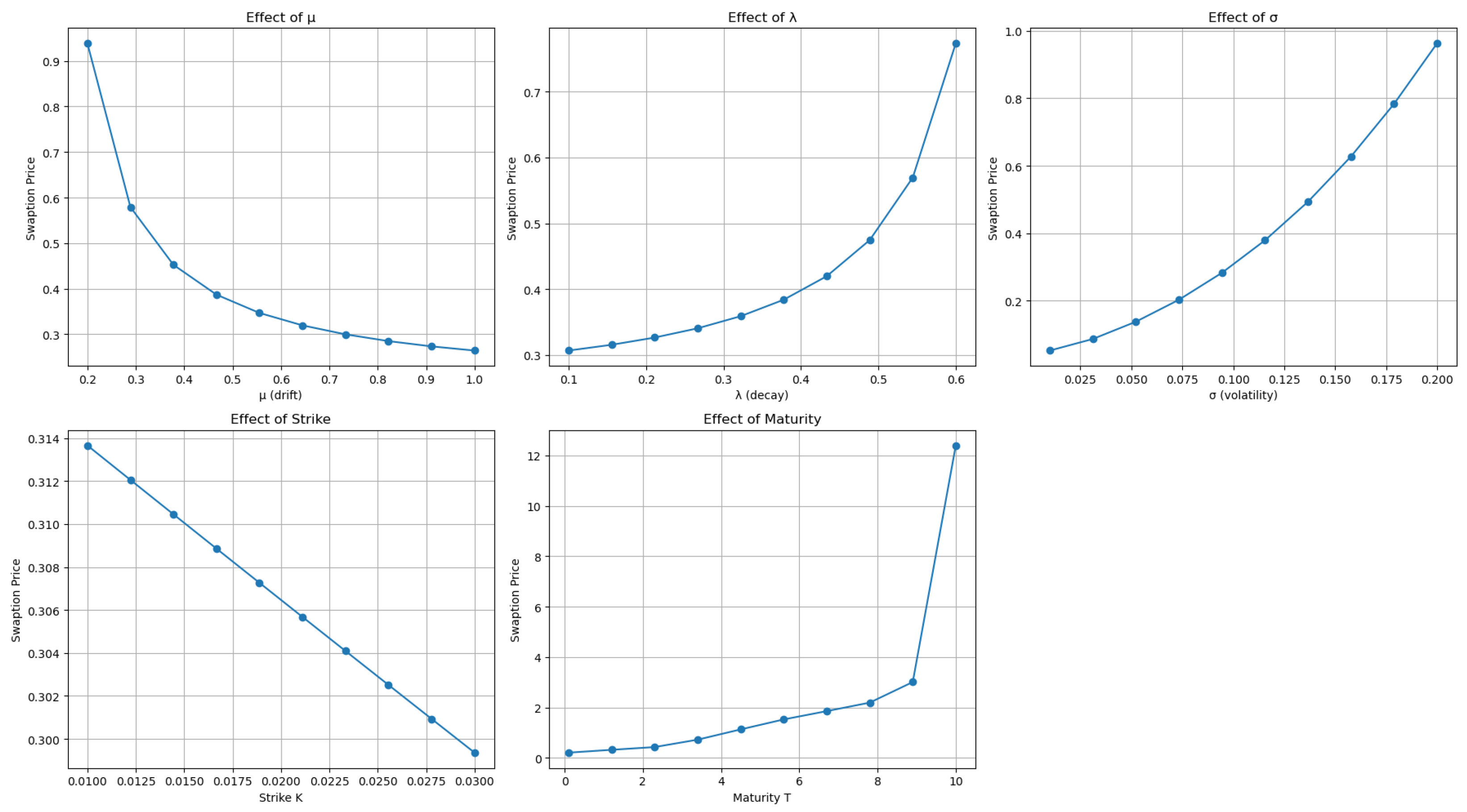
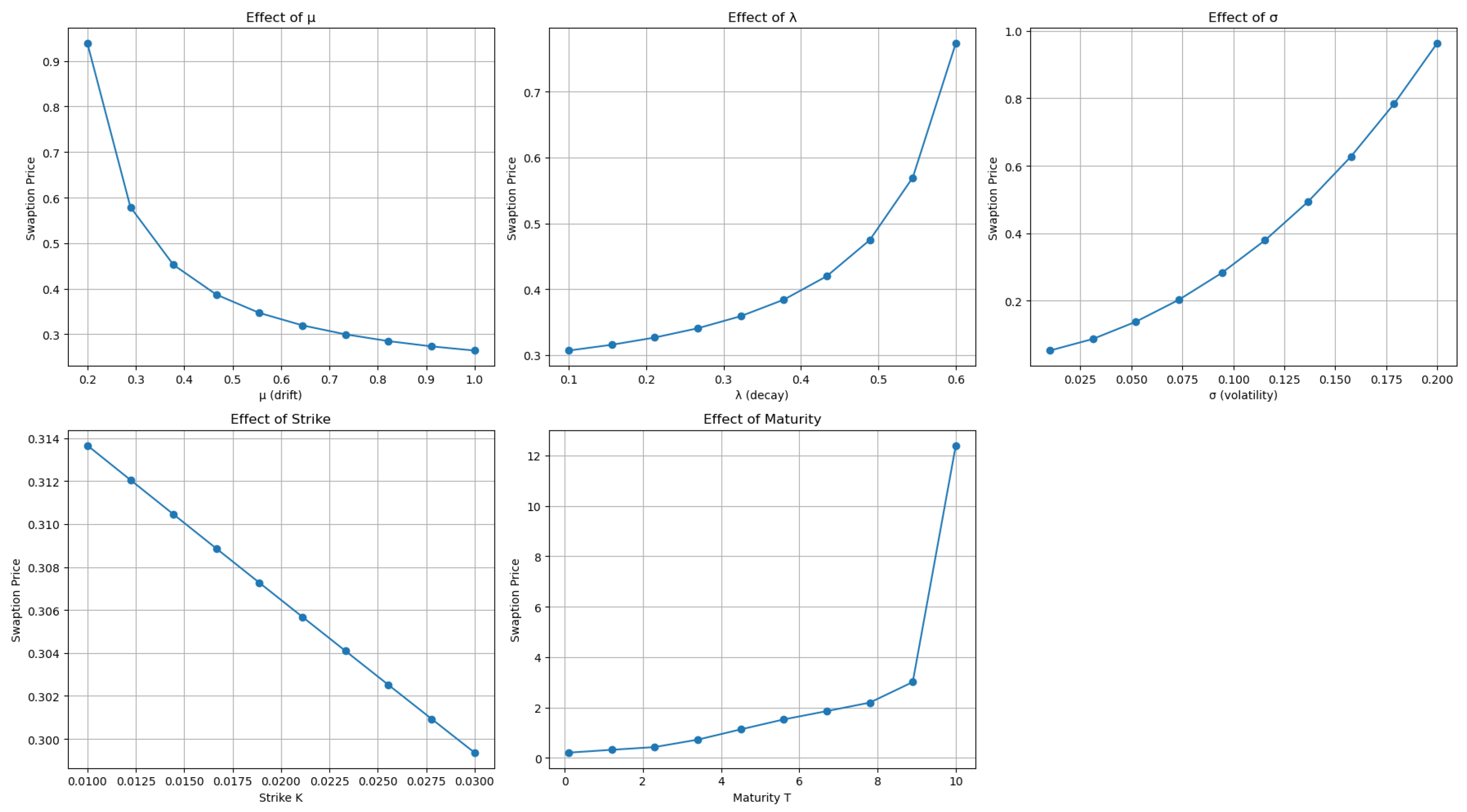
Figure 4 reports the swaption price sensitivities obtained by Monte Carlo simulation, conditioned on the initial forward curve. The same baseline parameters are used as in the case of the caplet, with the swaption having a 10-year maturity, where the exchanges occur annually.
Figure 4.
Swaption price sensitivities under the Kennedy model computed by Monte Carlo (conditional on the initial forward curve). Prices are shown as functions of , , , K, and T.
The swaption value increases with maturity T, hence the exposure to the option accumulates on the swaption annuity, and the variance in the underlying swap rate increases over time by more than the discounting. Increasing the strike K roughly linearly lowers the prices over the displayed range. Volatility has a pronounced and convex impact, underscoring the importance of accurate volatility calibration. Parameter produces a clear decreasing effect on prices: a stronger mean reversion dampens the conditional variance of the forward field, whereas the sensitivity to is more modest and increases the price of the swaption. Overall, these patterns align with stylized facts observed in interest rate options markets.
From a calibration perspective, the results suggest a possible hierarchical approach: one may first calibrate , which dominate price-level sensitivity, and then refine and to better match the forward curve’s shape and dynamics.
8. Implied Volatility
In practice, options are often quoted in terms of implied volatilities rather than absolute prices. Therefore, it is natural and useful to transform the model prices into implied volatilities, which can be computed either under the assumption of a lognormal distribution (as in the Black model) or a normal distribution (as in the Bachelier model). Expressing prices in terms of implied volatilities has several advantages. First, it aligns the model output with market conventions, facilitating direct comparison with observed quotes. Second, the calibration surface expressed in implied volatilities tends to be smoother and more stable than the surface of prices, which improves numerical stability during calibration. Finally, working with implied volatilities allows us to assess the model’s ability to reproduce characteristic market patterns, such as the volatility smile or skew, which are directly observable in the implied volatility space [11].
8.1. The Black Model
The Black model is an industry-standard model in the pricing of European options written on forwards and futures [12]. The model assumes that the forward price of the underlying asset follows a lognormal distribution under the risk-neutral measure, which is consistent with the no-arbitrage pricing framework.
In this setting, we obtain a Black–Scholes-like pricing formula, where the payoff is discounted back to time s while the option itself matures at time t. The price of a European call option on a forward contract with forward price F, strike price K, risk-free rate r, and volatility is given by:
where
Here, denotes the cumulative distribution function of the standard normal distribution. The term represents the standardized distance of the forward price from the strike, adjusted for volatility and time, while accounts for the expected downward drift due to the volatility over the remaining time to maturity.
In the context of interest rate derivatives, such as caplets and floorlets, the Black model is particularly relevant because these instruments can be viewed as options on forward rates. Under the Black framework, the forward rate is assumed to follow a lognormal process, and the price of a European caplet can be expressed in the same functional form as the above call option price. This allows practitioners to quote and compare caplet prices conveniently in terms of implied volatilities derived from the Black formula, aligning with market conventions.
This formulation provides a tractable and closed-form solution for option prices, which facilitates calibration and interpretation in practice. In later sections, we will build on this framework to compare and align the Kennedy model with the Black model in order to analyze their respective implications for implied volatilities and pricing accuracy.
8.2. Comparison Between the Kennedy and the Black Models
In this section, we aim to establish a direct correspondence between the Kennedy model and the Black model in order to derive a closed-form expression for the implied volatility implied by the Kennedy framework. By aligning the caplet pricing formulas of the two models, we can express the implied volatility as a function of the parameters of the Kennedy model. This is particularly useful because implied volatilities are the standard way of quoting option prices in financial markets, and having an analytical formula enables efficient calibration and better comparability with market data. Moreover, the implied volatility surface is typically smoother than the corresponding price surface, which facilitates the calibration procedure by reducing local irregularities and making it easier to identify the global minimum of the objective function.
The price of a caplet in the Kennedy model can be obtained from the expression given in Proposition 2. By rearranging this formula, we align its structure with the Black model to express the implied volatility explicitly within the Kennedy framework.
Based on these considerations, the correspondence between the two models can be established as follows:
For verification, let us examine the quantities denoted by and :
The calculated expressions confirm that the Kennedy pricing formula can be perfectly aligned with the Black model, thereby supporting the existence of an analytical, closed-form expression for the implied volatility. Based on this correspondence, we can formulate the below result.
Theorem 2.
Consider a caplet contract that is discounted back to time s, starts at time t, and has accrual length Δ. In the Kennedy model, the Black implied volatility admits the following closed-form expression, expressed directly in terms of the original Kennedy field parameters μ, λ, and σ:
Proof.
Using the identification in Equation (87) between the Kennedy caplet price and the Black formula where the forward–integral variance enters as and the effective time scale is , the Black variance in closed form is
□
It can be observed that the strike price does not appear in the closed-form expression of implied volatility. Consequently, the implied volatility curve as a function of the strike price is flat, and the model does not exhibit a volatility smile. This represents a clear limitation of the framework, since volatility smiles are a well-documented feature of real market data.
Figure 5 illustrates the sensitivity of the Black implied volatility, obtained from the Kennedy model, with respect to the parameters , , and . We observe that the implied volatility increases as the parameter increases. In contrast, with respect to , the implied volatility increases monotonically, while it decreases mildly as increases. This confirms the intuitive role of as a volatility scaling parameter, while and govern the decay effects in a structurally similar way. Moreover, the sensitivity plots suggest an approximately linear dependence on the parameters within the observed range for and .
Figure 5.
The sensitivity of the implied volatility, backed out from the Black model, to various parameters.
Before analyzing the general asymptotic behavior, it is instructive to consider the limiting case , for which the closed-form expression of the implied variance simplifies considerably, where, similarly to the previous derivations, we applied L’Hospital’s rule and Taylor expansions. The limiting case of the implied volatility when takes the following form:
This special case illustrates the quadratic decay of the implied variance in a particularly simple form, and it naturally motivates the analysis of the general short-maturity asymptotics presented below.
Theorem 3.
For small accrual periods , the implied variance in the Kennedy model satisfies
More precisely, the first-order expansion is given by
Proof.
We now examine the first-order asymptotics of the implied volatility derived from the Black model in the limit as approaches zero. Hence, the first-order expansion is:
Hence
Consequently, . □
This asymptotic behavior is relevant from both a theoretical and a practical standpoint. The fact that the implied variance decays as for short maturities ensures that the Kennedy model remains well-behaved in the limit of small accrual periods, avoiding volatility spikes that may arise in other forward rate models. From a calibration perspective, this result implies that short-maturity caplets contribute only minimally to the total calibration error, which can improve numerical stability and reduce overfitting.
9. Calibration of the Kennedy Model to Caplet Prices
An important practical advantage of the Kennedy model is that the pricing formulas are available in closed forms. This feature is particularly relevant for calibration, since these explicit expressions can be directly incorporated into multidimensional nonlinear optimization algorithms. As a result, the calibration procedure becomes substantially faster and more stable compared to approaches that rely on numerical integration or Monte Carlo approximations. Moreover, given an observed initial forward curve, the closed-form structure ensures that the pricing formulas are not only computationally efficient but also more precise, reducing numerical errors and improving the quality of the fit to market data.
It is essential to emphasize a structural limitation of the Kennedy model in the context of calibration. As established in Theorem 2, the Black implied volatility generated by the model is independent of the strike, resulting in a flat volatility surface. Consequently, calibration cannot be performed to the volatility smile or skew that is typically targeted in more flexible models using out-of-the-money options. In practice, this implies that the Kennedy model can only be calibrated to at-the-money instruments (such as ATM caplets or swaptions) where the flat volatility assumption is consistent with the model structure. While this restricts the scope of calibration compared to richer frameworks, it also simplifies and stabilizes the procedure by reducing the set of relevant calibration targets.
The data related to various financial instruments presented in this article were obtained from the Bloomberg Terminal. For each product, we collected transaction prices, corresponding normal implied volatilities, and at-the-money (ATM) strike levels, along with the relevant discount factors for present value calculations. The dataset covers USD-denominated interest rate derivatives, including caplets and swaptions, and was retrieved with monthly frequency from 8 June 2024 to 8 April 2025.
In this section, we describe the calibration of the Kennedy model to observed caplet prices. First, we calibrate the model to three-month caplets using a numerical extremum search algorithm that relies on stochastic gradient descent and analytical pricing formulas.
The available dataset consists of European-style caplets and swaptions with single future payments. Each instrument is defined by two dates: the in date, indicating the beginning of the fixed leg (i.e., the payment time), and the for date, representing the tenor of the swap. Since these products involve only one payment, they can be treated as caplets with a three-month accrual period. For each instrument, the at-the-money strike rate (fixed rate) is also provided and used as the strike K in pricing.
The calibration procedure begins by constructing the initial forward rate curve from discount factors. This is performed using the classical forward rate interpolation formula:
where denotes the zero-coupon bond price at time zero, maturing at time t, defined in Equation (6). The resulting forward curve serves as a deterministic input to the pricing model.
To determine the optimal parameters of the Kennedy model, we formulate the calibration as a numerical optimization problem. The objective function measures the discrepancy between model-implied and market-observed caplet prices, and is defined as a weighted sum of squared log-scale errors. Specifically, we minimize
where is a maturity-dependent weight, assigning higher importance to longer maturities. The use of logarithmic error is motivated by the form of the Kennedy pricing formula, which contains multiple exponential terms. Working in log-space reduces the impact of large relative differences and improves numerical stability, particularly in regions where prices are small or highly sensitive to parameter changes.
To further improve robustness, a weak regularization term is added to the objective to prevent overfitting and to avoid implausible parameter values. Moreover, in order to better explore the parameter space and reduce the risk of convergence to local minima, the optimization is initialized from several different starting points, including randomly generated ones.
The optimization is carried out using the sequential least squares programming (SLSQP) algorithm, subject to box constraints and the structural condition , which ensures stationarity of the Gaussian field [13]. Additionally, all three model parameters (, , and ) are required to be strictly positive. The best solution among all starting points is selected based on the minimized error.
Following the optimization, we compute the model-implied caplet prices using the calibrated parameters and assess the quality of the fit using average relative error metrics. Given a set of n caplets with market prices and model prices , the average relative error is defined as
The relative error provides a scale-invariant assessment, facilitating comparisons across maturities with different price levels.
The calibration procedure described above is repeated independently for each month in an eleven-month historical window, from 2024 June to 2025 April. For each month, we extract the corresponding market data: the observed caplet prices, the associated at-the-money strike rates, and the initial forward rate curves. Each monthly dataset consists of caplets with a fixed accrual period months and seven different maturities: 3 months, 6 months, 1 year, 2 years, 5 years, 10 years, and 20 years.
Using the monthly data, the same optimization routine is applied to obtain a separate set of the Kennedy model parameters for each month. This results in a time series of calibrated parameter triplets, allowing us to observe how the term structure dynamics evolve over time.
To assess the performance of the model, we compare the market-observed caplet prices with the model-implied prices calculated using the calibrated parameters. Figure 6 illustrates the comparison between the market-observed caplet prices and the model-implied prices across maturities.
Figure 6.
Observed (dots) and model-implied (dashed lines) caplet prices for each month.
The fit is visually close for most maturities, and the monthly average relative errors are shown in the panel titles of Figure 6. Across months, these errors range from roughly 7% to 22%. Such accuracy is generally regarded as indicative of a well-performing calibration.
It can be observed that in the short-term region, the model tends to slightly underestimate market prices, while around the 20-year maturity, it overestimates them. This systematic pattern is consistent with the inverted initial forward curve in Figure 7, which shows a mild kink around the 10-year point and drives the short- and long-end deviations.
Figure 7.
The initial forward curve calculated from the discount curve for maturities between 0 and 40 years. The curve exhibits an inverted shape.
In our dataset, the initial forward curve consistently shows an inverted shape, which further contributes to these deviations in the short- and long-term maturities. Such effects highlight the sensitivity of the calibration to the input curve and emphasize the importance of accurately capturing its features when applying the Kennedy model.
Furthermore, the temporal evolution of the calibrated parameters is presented in Figure 8. These plots provide insight into how the forward curve’s volatility structure and mean reversion characteristics have changed over time, potentially reflecting macroeconomic developments or shifts in market sentiment.
Figure 8.
Time series of the calibrated the Kennedy model parameters , , and .
Figure 8 shows that exhibits the main month-to-month variation, whereas stays small and moves only in a narrow band; changes moderately. Motivated by these patterns, we also tested the structural restriction (reducing the number of free parameters). Under this constraint the maturity profile becomes overly rigid and the fit deteriorates markedly, so this specification is not suitable for calibration.
Furthermore, since the parameter remains relatively stable throughout the observed time window, we also explored the impact of fixing the volatility to be constant across time, in order to evaluate whether such a simplification would still yield acceptable pricing accuracy. This aspect is subject to further research.
In addition to the calibration quality within each month, we also investigated the predictive performance of the model by evaluating how well parameters estimated in month t forecast caplet prices in month . For each month after the initial one, we computed caplet prices using the forward curve of the current month and the Kennedy parameters calibrated in the previous month. This allowed us to assess the stability and forecasting power of the Kennedy model across time.
To visualize this, Figure 9 displays the market prices, the calibrated model prices using the current month’s parameters, and the forecasted prices using the previous month’s parameters. The figure includes eleven subplots, one for each month, along with the average relative errors for both the fitted and forecasted prices. The results demonstrate that while the Kennedy model fits the observed prices well in-sample, the forecasting performance is slightly worse but still remains within an acceptable error margin.
Figure 9.
Caplet prices by month: observed market prices (dots), model-implied prices (dashed lines), and forecasted prices using the previous month’s parameters (dotted green lines).
Out of sample (using previous-month parameters), the average relative errors are higher and vary more across time, lying roughly between 9% and 22%. This is expected and still indicates reasonable forecasting performance.
To summarize the difference between in-sample and forecast performance, Figure 10 plots the time series of average relative errors for both the calibrated model and the forecasted prices. This comparison helps to evaluate how well the Kennedy model generalizes across time when parameter updates are delayed.
Figure 10.
Comparison of monthly average relative errors: in-sample calibration (orange) vs. one-step-ahead forecast (green).
As expected, the forecast errors are consistently higher than the in-sample calibration errors, reflecting the additional uncertainty when parameters are not updated. Nevertheless, the magnitude of the forecast errors remains reasonably low, indicating that the Kennedy model provides a stable and reliable performance over time. This suggests that the model not only fits observed data well but also maintains a good level of predictive power even under delayed parameter updates.
10. Discussion
Conditioning the Kennedy field on the observed initial forward curve proved to be useful both conceptually and empirically. The closed-form conditional moments enabled analytical prices for a wide range of financial instruments (zero-coupon bonds, caplets, floorlets, swaplets, and par swap rates), while also providing a consistent conditional simulation scheme for path-dependent payoffs. In practice, this facilitated a fast and numerically stable calibration loop. The small- expansion of the Black implied variance (vanishing at first order and positive at second order as under ) provided a local diagnostic for short-tenor behavior and parameter admissibility.
Beyond these contributions, two further novelties deserve emphasis. First, we derived a closed-form expression for the Black implied volatility implied by the Kennedy model. Since implied volatility surfaces are smoother than price surfaces, this analytical representation enhances calibration stability and facilitates the identification of global optima. Second, we performed a systematic sensitivity analysis with respect to both model parameters and market inputs, offering practical insight into the stability and robustness of the framework.
The empirical calibration study confirmed that the Kennedy model can reproduce observed caplet prices with low relative errors, and that forecast errors, while higher than in-sample ones, remain stable and acceptable over time. This suggests that the model provides a reliable and time-consistent benchmark for pricing and calibration purposes.
At the same time, important limitations must be acknowledged. Its one-factor Gaussian structure implies strike-flat Black volatilities, so volatility smiles and skews cannot be reproduced. Parameter identification can become unstable when , requiring limit formulas or regularization. Finally, the results are sensitive to the construction of the initial forward curve and accrual conventions. Taken together, these findings position the Kennedy model as an analytically tractable and efficient benchmark, whose strengths lie in calibration speed, implied volatility representation, and clear Gaussian structure, but whose structural limitations prevent it from fully capturing observed market patterns.
11. Conclusions
This study advanced the application of the Kennedy model by incorporating the observed initial forward curve, market-implied volatilities, and caplet prices into a unified pricing and calibration framework. We derived closed-form conditional expectations and variances, which enabled analytic pricing formulas for a wide range of interest rate derivatives, including zero-coupon bonds, caplets, floorlets, swaplets, and par swap rates. Furthermore, we introduced a consistent conditional simulation scheme for the Kennedy field, allowing for efficient Monte Carlo evaluation of path-dependent payoffs. A key novelty of our work is the closed-form expression of the Black implied volatility implied by the Kennedy model, which facilitates calibration in volatility space where the objective function is smoother and global optima are easier to identify. In addition, a detailed sensitivity analysis with respect to both model parameters and market inputs highlighted the stability and robustness of the framework. Empirical calibration to USD caplet data confirmed that the model achieved a consistently low relative error (within 5–10% across all examined months), while forecast errors, although higher than in-sample ones, remained stable and acceptable over time.
Taken together, these findings demonstrate that the Kennedy model is capable of producing closed-form pricing formulas, efficient calibration procedures, and reliable empirical performance, while maintaining consistency with the HJM framework. Its main limitation lies in the inability to reproduce volatility smiles due to its one-factor Gaussian structure, suggesting that the Kennedy model is best regarded as an analytically tractable and efficient benchmark rather than a fully realistic market model. Nevertheless, within this scope, it offers a flexible, transparent, and practically applicable tool for interest rate derivative modeling, and future research may focus on extending it with multi-factor dynamics or stochastic volatility to overcome its structural constraints.
Author Contributions
Conceptualization, D.T.-L. and M.A.; Methodology, D.T.-L., M.A., and A.V.; Software, D.T.-L.; Validation, M.A.; Formal analysis, D.T.-L.; Investigation, D.T.-L. and A.V.; Data curation, D.T.-L.; Writing—original draft, D.T.-L.; Writing—review and editing, M.A.; Visualization, D.T.-L. and A.V.; Supervision, M.A. and A.V.; Project administration, D.T.-L.; Funding acquisition, M.A. All authors have read and agreed to the published version of the manuscript.
Funding
This work is supported by the KDP-2021 program and the ELTE TKP2021-NKTA-62 funding scheme of the Ministry of Innovation and Technology from the source of the National Research, Development and Innovation Fund.
Data Availability Statement
Restrictions apply to the availability of these data. Market data were obtained from Bloomberg under a license agreement and are not publicly shareable. Aggregated/derived datasets and the analysis code used in this study are available from the corresponding author upon reasonable request, subject to Bloomberg’s terms of use.
Acknowledgments
We would like to express our sincere gratitude to Csaba Kőrössy, whose extensive experience in the financial sector greatly advanced the practical aspects of this research. His support in sourcing market data, computing instrument values from public information, and applying industry-standard calibration procedures substantially enhanced the real-world applicability and robustness of our results. We are also grateful to Gábor Molnár-Sáska for his invaluable guidance and help at the outset of the project. Finally, we thank Gábor Fáth for inviting us to join RiskLab and for his discussions, ideas, and expert feedback on this topic, which were instrumental throughout the work. We are also grateful to the anonymous reviewers for their insightful comments and helpful suggestions, which greatly improved the clarity and overall quality of this manuscript. Any remaining errors are our own.
Conflicts of Interest
The authors declare no conflicts of interest.
References
- Kennedy, D.P. The Term Structure of Interest Rates as a Gaussian Random Field. Math. Finance 1994, 4, 247–258. [Google Scholar] [CrossRef]
- Kennedy, D.P. Characterizing Gaussian Models of the Term Structure of Interest Rates. Math. Finance 1997, 7, 107–116. [Google Scholar] [CrossRef]
- Heath, D.C.; Jarrow, R.A.; Morton, A. Bond Pricing and Term Structure of Interest Rates: A New Methodology for Contingent Claims Valuation. Econometrica 1992, 60, 77–105. [Google Scholar] [CrossRef]
- Tóth-Lakits, D.; Arató, M. On the Calibration of the Kennedy Model. Mathematics 2024, 12, 3059. [Google Scholar] [CrossRef]
- Taylor, A.E. L’Hospital’s Rule. Am. Math. Mon. 1952, 59, 20–24. [Google Scholar] [CrossRef]
- Arató, M.; Tóth-Lakits, D. Modeling Negative Rates. In Contributions to Risk Analysis: RISK 2022; Fundación MAPFRE: Madrid, Spain, 2022; pp. 251–260. [Google Scholar]
- Arató, N.M. Mean Estimation of Brownian Sheet. Comput. Math. Appl. 1997, 33, 12–25. [Google Scholar] [CrossRef]
- Shreve, S.E. Stochastic Calculus for Finance I-II, 1st ed.; Springer Finance: Pittsburg, PA, USA, 2004. [Google Scholar]
- Cheng, S.-R. Highly Nonlinear Model in Finance and Convergence of Monte Carlo Simulations. J. Math. Anal. Appl. 2009, 353, 531–543. [Google Scholar] [CrossRef]
- Avellaneda, M.; Gamba, R. Conquering the Greeks in Monte Carlo: Efficient Calculation of the Market Sensitivities and Hedge-Ratios of Financial Assets by Direct Numerical Simulation. In Mathematical Finance—Bachelier Congress 2000; Springer Finance: Berlin/Heidelberg, Germany, 2002; pp. 93–109. [Google Scholar]
- Hagan, P.S.; Kumar, D.; Lesniewski, A.S.; Woodward, D.E. Managing Smile Risk. Wilmott Mag. 2002, 1, 249–296. [Google Scholar]
- Black, F. The Pricing of Commodity Contracts. J. Financ. Econ. 1976, 3, 167–179. [Google Scholar] [CrossRef]
- Palacios-Gomez, F.; Lasdon, L.; Engquist, M. Nonlinear Optimization by Successive Linear Programming. Manag. Sci. 1982, 28, 1106–1120. [Google Scholar] [CrossRef]
Disclaimer/Publisher’s Note: The statements, opinions and data contained in all publications are solely those of the individual author(s) and contributor(s) and not of MDPI and/or the editor(s). MDPI and/or the editor(s) disclaim responsibility for any injury to people or property resulting from any ideas, methods, instructions or products referred to in the content. |
© 2025 by the authors. Licensee MDPI, Basel, Switzerland. This article is an open access article distributed under the terms and conditions of the Creative Commons Attribution (CC BY) license (https://creativecommons.org/licenses/by/4.0/).









