Abstract
In this paper, we first design the corresponding integration algorithm and matlab program according to the Gauss–Legendre integration principle. Then, we select the Lorenz system, the Duffing system, the hidden attractor chaotic system and the Multi-wing hidden chaotic attractor system for chaotic dynamics analysis. We apply the Gauss–Legendre integral and the Runge–Kutta algorithm to the solution of dissipative chaotic systems for the first time and analyze and compare the differences between the two algorithms. Then, we propose for the first time a chaotic basin of the attraction estimation method based on the Gauss–Legendre integral and Lyapunov exponent and the decision criterion of this method. This method can better obtain the region of chaotic basin of attraction and can better distinguish the attractor and pseudo-attractor, which provides a new way for chaotic system analysis. Finally, we use FPGA technology to realize four corresponding chaotic systems based on the Gauss–Legendre integration algorithm.
MSC:
65P20; 34C28; 37D45; 11L05
1. Introduction
In the Newton–Cotes quadrature formula, the nodes are equidistant, which limits the algebraic accuracy of the quadrature formula [1,2,3,4,5]. We remove this restriction and make the algebraic accuracy of the quadrature formula as high as possible.
We assume that the undetermined parameter in Formula (1) should be determined to make its algebraic accuracy as high as possible.
According to the concept of algebraic precision, if , the two sides of the equal sign of Formula (1) are equal; then, Formula (2) is
Equation (2) has a three-degree algebraic accuracy, while the trapezoidal formula with two endpoints as nodes has only a one-degree algebraic accuracy. Generally speaking, we consider the formula of weighted quadrature, as shown in Formula (4).
Among them, are undetermined parameters. If these parameters are properly selected, it is possible to make the quadrature formula have algebraic accuracy of degree . If the quadrature formula has algebraic accuracy of the degree, it is called the Gauss-type formula and is called the Gauss point.
Using the concept of algebraic precision directly to find the Gauss point and the quadrature coefficient, the nonlinear equations should be simultaneous. The equations are solvable, but when n is a little larger, it is difficult to solve them analytically, and it is not easy to solve nonlinear equations numerically. In this paper, the construction of the Gauss formula is studied by analyzing the characteristics of Gauss points.
For interpolation Formula (4), the node is a Gauss point if and only if Formula (5) is orthogonal to any polynomial of degree no more than n, as shown in Formula (6).
Because an orthogonal polynomial of degree is orthogonal to any polynomial of lower degree than that, and an orthogonal polynomial of degree has just one root of different real, the zero point of an orthogonal polynomial of degree is the Gauss point of the Gauss formula of point. After the Guass point is obtained by orthogonal polynomial, the quadrature coefficient of the Gauss formula can be obtained by the interpolation principle as shown in Formula (7).
is a Lagrange interpolation basis function for Gauss points.
We construct the Gauss formula by using the zero of the orthogonal polynomial as the Gauss point. Firstly, we construct the orthogonal polynomial of the weight function on the interval . If the weight function is taken on the interval , then the corresponding orthogonal polynomial is Legendre polynomial. The quadrature formula with the zero of Legendre polynomial as the Gauss point is shown in Equation (8).
Equation (8) is called the Gauss–Legendre quadrature formula.
When , the zero point of quadratic Legendre polynomial is , that is, Equation (3).
When , the zero of the cubic Legendre polynomial is , , , and a three-point Gauss–Legendre quadrature formula with quintic algebraic accuracy can be constructed.
In this paper, we only use the Gauss–Legendre quadrature formula with a three-degree algebraic accuracy because high-precision numerical integration operation needs a lot of time. In order to run the matlab program faster on the CPU model core i7, 10700 platform, we only use the algorithm with a three-degree algebraic accuracy.
For the quadrature on the general interval , if the Gauss–Legendre quadrature formula is used, then the service must be replaced by variables, as shown in Formula (9).
When is made, is combined with Formula (10),
Chaos as complex nonlinear motion behavior has been widely studied in the fields of neural networks [6,7,8,9], image encryption [10,11,12,13], video encryption [14,15,16,17], system synchronization [18,19,20,21], and memristors [22,23,24,25] in recent years. The chaotic phenomenon in dynamics refers to a seemingly irregular and highly sensitive system behavior, which has aroused great interest among researchers. Many scholars have put forward various analysis methods of chaotic dynamics [26,27,28,29,30,31,32], including Wolf’s calculation method of the Lyapunov exponent [33]. At present, most scholars use the Runge–Kutta algorithm when solving and analyzing chaotic systems. In this paper, we use the Gauss–Legendre integral algorithm for the first time. Taking the Lorenz system [34,35,36], the Duffing system [37,38,39] and the hidden attraction system [40,41,42] as examples, we compare the difference between the two algorithms in chaotic dynamics analysis. Then, we establish a coupled anti-synchronization control system and compare the differences between the two algorithms in synchronization control. Finally, we propose a chaotic basin of the attraction estimation method based on the Gauss–Legendre integral and the Lyapunov exponent for the first time.
2. Lorenz System
In this paper, the sensitivity analysis of the initial value, Lyapunov exponent calculation, bifurcation diagram analysis and Poincare cross-section of the famous Lorenz system are studied first. In order to facilitate the chaotic dynamics analysis of the Lorenz system, the model of the Lorenz system in this paper is shown as Formula (11), where the parameters of Formula (11) are .
Then, we use the Gauss–Legendre integral algorithm to solve Equation (11) and analyze the initial value sensitivity, and the obtained phase diagram is shown in Figure 1. When we set the initial values of Equation (11) to and , the sensitivity analysis of the initial values obtained is shown in Figure 2. From the analysis of Figure 1 and Figure 2, it can be found that the Gauss–Legendre integral algorithm can also solve and analyze the first-order differential equations correctly.
Figure 1.
Lorenz system phase diagram based on Gauss–Legendre. (a) x-y plane phase diagram; (b) x-z plane phase diagram.
Figure 2.
Sensitivity analysis of initial value of Lorenz system. (a) Sensitivity analysis of initial value based on Gauss–Legendre; (b) Sensitivity analysis of initial value based on Runge–Kutta.
2.1. Lyapunov Exponent Analysis
In this paper, we integrate the Gauss–Legendre integral algorithm into the Wolf method to analyze the Lyapunov exponent and the Lyapunov exponent spectrum of the Lorenz system. We calculate , and with the step size of 0.01 and the initial values . At the same time, we calculate Lyapunov exponents , , by the Runge–Kutta method. From the value of Lyapunov exponent LE2 obtained by the two algorithms, the value of LE2 obtained by the Gauss–Legendre integration is closer to zero than that obtained by Runge–Kutta. From the analysis of the calculation results, we know that the Lorenz system is in a dissipative chaotic state, which is consistent with the conclusion obtained by the Runge–Kutta calculation. The Lyapunov exponent is shown in Figure 3. Then, we analyze the Lyapunov exponent spectrum and select parameters a and b for analysis. When other parameters are constant, we choose the variation interval of parameter a as . The Lyapunov exponent spectra obtained by Gauss–Legendre and Runge–Kutta algorithms are shown in Figure 4a,b. From Figure 4a,b, we know that Lorenz systems are chaotic in this interval. Similarly, when other parameters are constant, we choose the variation interval of parameter b as , Similarly, the Lyapunov exponent spectra obtained by Gauss–Legendre and Runge–Kutta algorithms are shown in Figure 5. From Figure 5a,b, we also know that the Lorenz system is chaotic in this interval. From Figure 4 and Figure 5, we find that the results calculated by the Gauss–Legendre integral are much more stable than those calculated by Runge–Kutta. In Figure 4b and Figure 5b, it is obvious that the curves obtained are very unstable, while the curves obtained in Figure 4a and Figure 5a are very stable. This is because the Gauss–Legendre algorithm is a high-precision numerical algorithm, while the Runge–Kutta algorithm is an interpretive solution, which has great dissipation.
Figure 3.
Lyapunov exponent of System (3). (a) Lyapunov exponent based on Gauss–Legendre integral; (b) Lyapunov exponent based on Runge–Kutta.
2.2. Bifurcation and Poincare Section Analysis
Then, we analyze the bifurcation of the Lorenz system. From Figure 6 and Figure 7, we can clearly see that the Lorenz system enters a chaotic state from the period doubling bifurcation. Because we adopt the Gauss–Legendre integral algorithm, the bifurcation diagram obtained by the Runge–Kutta algorithm is clearer, which can more clearly reflect the transformation process between the periodic state and the chaotic state of the system. From the analysis of the bifurcation diagram, we find that there are dark lines and asymmetry of the period doubling bifurcation in bifurcation mentioned in some previous literature, which is due to the dissipative error of the Runge–Kutta method. The bifurcation results obtained by using the Gauss–Legendre integral with little dissipation should be complete and continuous. The Poincare section obtained by Gauss–Legendre integration is shown in Figure 8. In the figure, we find that the obtained results are basically consistent with those of the Runge–Kutta algorithm. It also reflects the chaos of the Lorenz system.
Figure 6.
(a) Bifurcation diagram of parameter a with x based on Gauss–Legendre; (b) Bifurcation diagram of parameter a with x based on Runge–Kutta.
Figure 7.
(a) Bifurcation diagram of parameter c with z based on Gauss–Legendre; (b) Bifurcation diagram of parameter c with z based on Runge–Kutta.
Figure 8.
Poincare section of Lorenz system; (a) Poincar section based on Gaussian Legendre; (b) Poincar section based on Runge–Kutta.
3. Duffing System
In this paper, we perform chaotic dynamics analysis on the famous Duffing chaotic system using the Gauss–Legendre integral. Since the Duffing system is a second-order chaotic system. In the process of solving the Duffing system, we do not adopt the method of reducing order, but integrate the time variable t of the system first and then integrate x. We put forward a new analytical method and obtain some new conclusions, enriching the existing chaos theory. Firstly, we carry out initial value sensitivity and phase diagram analysis on the Duffing system, followed by the analysis of bifurcation, Lyapunov exponent, and basin of attraction. The Duffing system model used in this paper is represented by Equation (12). The parameters in Equation (12) are , , and .
We directly use the Gauss–Legendre integral to compute Equation (12) since the Duffing system is a second-order differential equation that also includes the damping term of the first-order derivative. There was no reduction in order during the computation, but instead two integrations were performed to obtain x. Firstly, we conducted initial value sensitivity and phase diagram analysis, assuming that the initial value for red is and the initial value for green is , with a step size of 0.01 and a simulation time of 200. The obtained sensitivity analysis of the initial values and the phase diagram of System (12) are shown in Figure 9 and Figure 10. Figure 9 and Figure 10 show that both x and the first derivative thereof present initial value sensitivity. The phase diagram of the resulting System (12) is shown in Figure 11, which is basically consistent with the Duffing system’s phase diagram obtained by the Runge–Kutta methods. This indicates that the process and results of solving System (12) using the Gauss–Legendre Integral are correct.
Figure 9.
Sensitivity analysis of initial values for the Duffing system. (a) Initial value sensitivity analysis of x based on Gauss−Legendre; (b) Initial value sensitivity analysis of x based on Runge−Kutta.
Figure 10.
Sensitivity analysis of initial values for the Duffing system. (a) Initial value sensitivity analysis of based on Gauss−Legendre; (b) Initial value sensitivity analysis of y based on Runge−Kutta.
Figure 11.
Duffing phase diagram based on Gauss–Legendre integral.
3.1. Lyapunov Exponent Analysis
Then, as indicated in Figure 12a,b, we investigated the relationship between the parameter changes of System (12) and the Lyapunov exponents. The Lyapunov exponents obtained by the Gauss–Legendre algorithm are and , as shown in Figure 12a, and the Lyapunov exponents obtained by Runge–Kutta algorithm are and , as shown in Figure 12b. Firstly, it was discovered that the Lyapunov exponent spectra of the three figures all exhibit a certain degree of symmetry. As shown in Figure 13, Figure 14 and Figure 15. When the exponent is greater than zero, System (12) is in a chaotic state, and when it is less than zero, System (12) is in a periodic state. The conclusions are basically consistent with the Wolf method of the Runge–Kutta methods.
Figure 12.
(a) Lyapunov exponent of Duffing system based on Gauss–Legendre; (b) Lyapunov exponent of Duffing system based on Runge–Kutta.
Figure 13.
(a) Lyapunov exponent spectrum for parameter a based on Gauss−Legendre; (b) Lyapunov exponent spectrum for parameter a based on Runge−Kutta.
Figure 14.
(a) Lyapunov exponent spectrum for parameter F based on Gauss−Legendre; (b) Lyapunov exponent spectrum for parameter F based on Runge−Kutta.
Figure 15.
(a) Lyapunov exponent spectrum for parameter w based on Gauss−Legendre; (b) Lyapunov exponent spectrum for parameter w based on Runge−Kutta.
3.2. Bifurcation Analysis
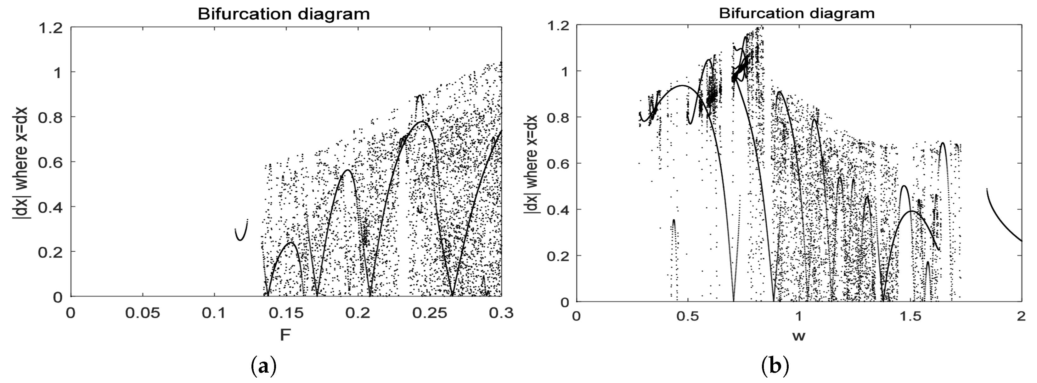
In this section, we use the Poincare surface of section method to plot the bifurcation diagram of System (12). From Figure 16 and Figure 17, we obtain a completely different bifurcation diagram.
Figure 16.
(a) Bifurcation of parameter F based on Gauss–Legendre; (b) Bifurcation of parameter w based on Gauss–Legendre.
Figure 17.
(a) Bifurcation of initial value based on Gauss–Legendre; (b) Bifurcation of initial value based on Gauss–Legendre.
After analysis, we reach two preliminary conclusions:
(2) In the dense region in Figure 16, scattered dense points represent the chaotic state as described by dense points in the Poincare section, representing the chaotic region. It is composed of the exact solution of System (12).
(3) In Figure 17a,b, there is a concentrated dense point, which shows that there is a chaotic attractor in this interval when the initial value changes. It can help us determine the interval of the attractor and pseudo-attractor of a chaotic system, but it cannot distinguish an attractor from a pseudo-attractor.
From Figure 16, we can obtain the integral curve of System (12) x. However, the exact solution of System (12) has inherent randomness, so the dense points in Figure 16 are formed by the solution values of System (12). From the perspective of control theory, once we obtain the solutions of higher-order differential equation systems, we can find control methods for nonlinear systems.
Next, we analyze the bifurcation diagram of System (12) when the initial values of and change, as shown in Figure 17. We set the initial values of System (12) to () and (), respectively, with variation intervals of and at . From the analysis of Figure 17, we discover that in Figure 17a,b, there is a highly dense chaotic region in interval , where the exact solutions of System (12) are concentrated in a very small range. This is because there is a basin of attraction in the interval where the initial value changes, and all the chaotic solutions around the basin of attraction are attracted to a small region and then enter the attractor. This phenomenon can also be proven in Figures 26a and 27a. In following research, our proposed basin of attraction analysis method can distinguish attractors from pseudo-attractors and obtain their intervals. At the same time, it also reflects that System (12) is a fixed point chaotic system.
4. Hidden Attractor System
In this paper, we choose the hidden attractor chaotic system proposed in reference [35], and the system equation is shown in Equation (13). It is obvious that this system has an infinite number of equilibrium points, so it is a chaotic system with hidden attractors. Here, we provide parameters , and of Formula (13).
The phase diagram of Equation (13) based on the Gauss–Legendre integral is consistent with the phase diagram obtained by the Runge–Kutta method. As shown in Figure 18 and Figure 19, System (13) is a double scroll hidden attraction subsystem.
4.1. Lyapunov Exponent Analysis
Similarly, we use the Gauss–Legendre algorithm and the Runge–Kutta algorithm, respectively, and apply the Wolf method to obtain the corresponding Lyapunov exponent of System (13). The Lyapunov exponents calculated by the Gauss–Legendre algorithm are , , , and the Lyapunov exponents calculated by the Runge–Kutta algorithm are , , , as shown in Figure 20. Comparing the two diagrams in Figure 20a,b, both the Gauss–Legendre algorithm and the Runge–Kutta algorithm can correctly obtain the Lyapunov index of System (13). From the comparison of Figure 21, Figure 22 and Figure 23, we can find that the Lyapunov exponent spectrum obtained by the Gauss–Legendre algorithm is more stable than that obtained by Runge–Kutta, and the yellow curves in Figure 21a, Figure 22a and Figure 23a have smaller values than those in Figure 21b, Figure 22b and Figure 23b. This shows that the Gauss–Legendre algorithm can calculate the dissipative state of chaotic System (13) more accurately, and this conclusion can be proven better in the basin of attraction analysis proposed in this paper.
Figure 20.
(a) Lyapunov exponent based on Gauss–Legendre; (b) Lyapunov exponent based on Runge–Kutta.
Figure 21.
(a) Lyapunov exponent spectrum for parameter a based on Gauss–Legendre; (b) Lyapunov exponent spectrum for parameter a based on Runge–Kutta.
Figure 22.
(a) Lyapunov exponent spectrum for parameter b based on Gauss–Legendre; (b) Lyapunov exponent spectrum for parameter b based on Runge–Kutta.
Figure 23.
(a) Lyapunov exponent spectrum for parameter c based on Gauss–Legendre; (b) Lyapunov exponent spectrum for parameter c based on Runge–Kutta.
4.2. Bifurcation Analysis
Then, we analyze the bifurcation of the hidden attractor system. From Figure 24 and Figure 25, we can clearly see that the hidden attractor system enters a chaotic state from the period doubling bifurcation. Because we adopt the Gauss–Legendre integral algorithm, the bifurcation diagram obtained by the Runge–Kutta algorithm is clearer, which can more clearly reflect the transformation process between the periodic state and the chaotic state of the system.
5. Chaotic Basin of Attraction Estimation Algorithm Based on Gauss–Legendre Integral
In this paper, we use the Gauss–Legendre integral instead of the Runge–Kutta algorithm and the Wolf method to calculate the Lyapunov exponent of System (12) and (13) when the initial value changes. Then, according to the computed Lyapunov exponent, a decision criterion is established. According to the decision criterion, the Lyapunov exponent is further calculated and the calculated results are dyed by interval to obtain the required region of attraction. Then, taking System (12) and (13) as an example, we obtain their basin of attraction judgment criteria and the basin of attraction graphics, respectively.
5.1. Basin of Attraction of Duffing Systems
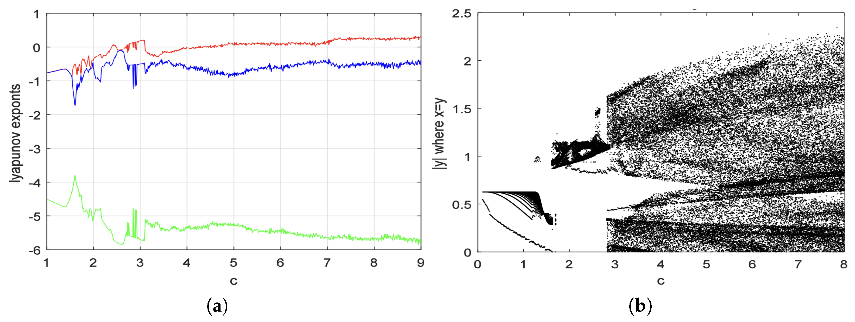
We let , , and calculate the Lyapunov exponent of the initial value change in System (12) based on the Wolf method by using the Gauss–Legendre integral. As shown in Figure 26, and then by a decision criterion, as shown in Equation (14), we obtain the following.
In Equation (14), H is the result of the decision, n is so that the value of H is within an appropriate range, and n can be freely set according to the actual situation. and are the Lyapunov exponents of System (12) when the initial values change. In this section, we also compare the region of attraction obtained by the Gauss–Legendre integral and Runge–Kutta, as shown in Figure 27 and Figure 28.
Figure 26.
Lyapunov exponent of System (12) based on Gaussian Legendre’s initial value variation.
Figure 27.
(a) Basin of Attraction of Duffing System Based on Gauss–Legendre; (b) Basin of Attraction of Duffing System Based on Runge–Kutta.
Figure 28.
(a) Local Enlarged Graph of Attraction basin of Duffing System Based on Gauss–Legendre Integral; (b) Local Enlarged Graph of Attraction basin of Duffing System Based on Runge–Kutta.
In this section, we also use the Lyapunov exponent to describe the basin of attraction. In Figure 27a, we find that the blue part in the middle of the basin of attraction forms a symmetric manifold pattern of chaotic states. This is due to the fact that the Lyapunov exponent we obtained has a certain degree of symmetry, and the region made up of dense blue points is a result of the changes in the Lyapunov exponent of System (12) and represents the chaotic state of System (12). Additionally, yellow represents another region made up of dense points created by the Lyapunov exponent of System (12), which also represents another chaotic state of System (12). Light blue represents the transition state of System (12), and dark blue represents the divergent state of System (12). In Figure 27a, we discover that the yellow and blue regions are intertwined, indicating the inherent randomness of chaotic states. Figure 28a is a locally enlarged image of Figure 27a, where we can more clearly observe a symmetric manifold structure at the center of the basin of attraction. In Figure 28a, the blue and red regions show distinct manifolds, while the yellow region represents a transitional state. The colors in Figure 27a and Figure 28a do not correlate one to one due to the automated coloring of the program we set up; however, when analyzing the shape of the image, it is easy to find that these two images are mutually reinforcing.
Figure 27a and Figure 28a and Figure 27b and Figure 28b are compared, where Figure 27a and Figure 28a represent the basin of attraction of the Duffing system obtained through the Gauss–Legendre quadrature and Figure 27b and Figure 28b represent the basin of attraction of the Duffing system obtained through the Runge–Kutta method. By contrasting these two sets of figures, it can be clearly found that the results obtained are dramatically different, under the same conditions of the analysis method of the basin of attraction, with only different quadrature methods. Figure 27a and Figure 28a clearly reflect that the basin of attraction has a symmetric manifold structure, whereas Figure 27b and Figure 28b only capture a symmetric structure of the basin of attraction. Therefore, it can be thought that the Gauss–Legendre quadrature’s analysis method of the basin of attraction is superior to that using the Runge–Kutta method. This is mainly because the numerical solutions of the chaotic system are obtained by the Gauss–Legendre quadrature, while the analytical solutions for chaotic systems are obtained by the Runge–Kutta method.
5.2. Basin of Attraction of System (13)
We let , , and calculate the Lyapunov exponent of the initial value change in System (13) based on the Wolf method by using the Gauss–Legendre integral, as shown in Figure 29.
Figure 29.
Lyapunov exponent of System (13) based on Gauss–Legendre - variation.
In Equation (15), H is the result of the decision, n is so that the value of H is within an appropriate range, and n can be freely set according to the actual situation. (the value of the blue curve in Figure 29) and (the value of the yellow curve in Figure 29) are the Lyapunov exponents of System (13) when the initial values and change. In this way, we can obtain the basin of attraction when and change, as shown in Figure 30a. By using the same method, we can obtain the graph of the basin of attraction when , and , change.
Figure 30.
(a) The basin of attraction of - plane based on Gauss–Legendre; (b) The basin of attraction of - plane based on Runge–Kutta.
In this section, we also compare the basin of attraction obtained by the Gauss–Legendre integral and Runge–Kutta, as shown in Figure 30, Figure 31, Figure 32 and Figure 33.
Figure 31.
(a) The basin of attraction of - plane based on Gauss–Legendre; (b) The basin of attraction of - plane based on Runge–Kutta.
Figure 32.
(a) Global graph of the basin of attraction of - plane based on Gauss–Legendre; (b) Global graph of the basin of attraction of - plane based on Runge–Kutta.
Figure 33.
Local enlarged view of the basin of attraction of - plane based on Gauss–Legendre.
In Figure 30a, the orange region represents the basin of attraction formed by the equilibrium point. In Figure 32a, we can find the attractor and pseudo-attractor regions formed by the basin of attraction. Moreover, we find that System (13) should have an infinite number of equilibrium points, but through simulation, we find that there are only six basins of attraction formed by equilibrium points in System (13). And the other oranges are also approximately equal to zero, but they are not the intervals where the real basin of attraction of System (13) lies, but the intervals where we often say pseudo-attractors lie. In Figure 32a, we can see six symmetric basins of attraction in a manifold state. Figure 29 is a partial enlarged view of Figure 30a, and Figure 32a is a global view.
Figure 30b shows the basin of attraction of System (13) obtained through the Runge–Kutta quadrature, while Figure 30a shows the basin of attraction of sSstem (13) obtained through Gauss–Legendre integration. Upon comparing these two sets of images, the orange–yellow part in Figure 30a can reveal the structure of the basin of attraction more clearly, whereas in Figure 30b, the orange–yellow part only displays two regions of attraction in the middle of the image. In Figure 33, a partial magnification of Figure 30a, it can be clearly seen that there are only two symmetric regions of attraction in orange–yellow. Therefore, it can be believed that the results of the basin of attraction obtained through the Gauss–Legendre quadrature algorithm can better capture the structure of the basin of attraction in chaotic systems than those obtained through the Runge–Kutta method.
6. Analysis of Multi-Wing Hidden Attractors Based on Gauss–Legendre Integral
In this section, in order to further study complex chaotic systems, this paper realizes multi-wing hidden attractor chaotic systems based on System (13) by using piecewise linear functions, as shown in Equation (16). The phase diagram of Equation (16) based on the Gauss–Legendre integral solution is shown in Figure 34.
where g(x) = 1.55x2 − 1.61[1 + 0.5 sign(x − 0.94) − 0.5 sign(x + 0.94)] − 1.81[1 + 0.5 sign(x − 1.4) − 0.5 sign(x + 1.4)] − 2.64[1 + 0.5 sign(x − 1.87) − 0.5 sign(x + 1.87)].
Figure 34.
Phase diagram of System (16).
Parameters of Formula (16): .
6.1. Lyapunov Exponent and Bifurcation Analysis
Similarly, we use the Gauss–Legendre algorithm and apply the Wolf method to obtain the corresponding Lyapunov exponent of System (16). The Lyapunov exponents calculated by the Gauss–Legendre algorithm are , , , as shown in Figure 35.
Figure 35.
Lyapunov exponent of System (16).
Then, we compare the Lyapunov exponent spectrum with the corresponding bifurcation diagram of parameter variation. When we set the variation intervals of parameters a, b and c at , their Lyapunov exponent spectrum and bifurcation diagram are shown in Figure 36, Figure 37 and Figure 38. We find that the Lyapunov exponent spectrum is consistent with the variation of the bifurcation graph.
Figure 36.
(a) Lyapunov exponent spectrum of parameter a; (b) Bifurcation of parameter a.
Figure 37.
(a) Lyapunov exponent spectrum of parameter b; (b) Bifurcation of parameter b.
Figure 38.
(a) Lyapunov exponent spectrum of parameter c; (b) Bifurcation of parameter c.
6.2. Basin of Attraction of System (16)
According to the estimation method of the attraction basin proposed in this paper, we use the Gauss–Legendre integral to analyze the attraction basin of System (16). When we set the change interval of the initial value to , the resulting attraction domain is shown in Figure 39. Since System (16) is obtained by adding a piecewise linear function on the basis of System (13), the resulting attraction domain and the attraction domain obtained by System (13) have the same characteristics.
Figure 39.
The basin of attraction based on Gauss–Legendre; (a) - plane; (b) - plane; (c) - plane.
7. FPGA Implementation of Chaotic System Based on Gauss–Legendre Integral
On the basis of FPGA technology, the hardware experiment of Systems (11), (12), (13), (16) is carried out by using the fixed-point number method. The Xilinx Zynq-7000 series XC7Z020 FPGA chip and the AN9767 dual port parallel 14 bit analog conversion module with the highest conversion rate of 125 MHz are used, and Vivado 17.4 and system generator are used to realize the joint debugging of Matlab2016a FPGA. The clock frequency of the FPGA system is 50 MHz, DA conversion frequency is 1666 Hz. In addition, we also use an oscilloscope to visualize the analog output. After the analysis, synthesis and compilation of Vivado. The correctness of the Gauss–Legendre integration algorithm and the chaotic system based on this algorithm is further verified. After confirming that the timing simulation result is correct, we use Vivado to generate a bit stream file and download it to the FPGA development board. At the same time, we use the AN9767 digital to analog converter to convert the output of FPGA into analog signals, connect the AN9767 digital to analog converter to an oscilloscope, and observe the phase diagram of Systems (11), (12), (13), (16) attractor. The phase diagram displayed by the oscilloscope is shown in Figure 40. The RTL view of System (11) is shown in Figure 41.

Figure 40.
FPGA implementation of chaotic system based on Gauss–Legendre. (a) x-z plane phase diagram of System (11). (b) Experimental scenario diagram of System (11). (c) y-z plane phase diagram of System (13). (d) Experimental scenario diagram of System (13). (e) x-z plane phase diagram of System (16). (f) Experimental scenario diagram of System (16). (g) x-y plane phase diagram of System (12). (h) Experimental scenario diagram of System (12).
Figure 41.
RTL view of System (11).
8. Conclusions
In this paper, we use the Gauss–Legendre integral algorithm and the Runge–Kutta algorithm to solve typical chaotic systems and compare the similarities and differences of these two algorithms in chaotic dynamics analysis. Then, a chaotic basin of attraction estimation method based on Gauss–Legendre and Lyapunov exponents and its decision criteria are proposed for the first time. Similarly, we also compare the two algorithms in the chaotic basin of attraction and find that the Gauss–Legendre integral algorithm can obtain the image of the basin of attraction more clearly and comprehensively because the dissipative property of the Gauss–Legendre integral algorithm is lesser that that of the Runge–Kutta algorithm. The only disadvantage of the Gauss–Legendre integration algorithm is that it is a numerical integration. When too many points are calculated, its speed is lower than that of the Runge–Kutta algorithm. Finally, we use FPGA technology to verify the correctness of the Gauss–Legendre integration algorithm and the chaotic system based on this algorithm.
The Gauss–Legendre integration is a high-precision integration algorithm which can improve the accuracy of many engineering fields in future research, such as positioning and navigation, synchronous control, motor drive, and so on. Attraction basin analysis method can well distinguish the attractor regions of chaotic systems and can be used in the optimization of artificial neural networks in the future, such as TSP optimization, track enhancement, and other fields.
Author Contributions
Conceptualization, L.W. and L.C.; methodology, L.C.; software, L.W. and L.C.; validation, L.W. and L.C.; formal analysis, L.C. and F.Y.; investigation, H.L.; resources, L.C. and F.Y.; data curation, L.W. and L.C.; writing—original draft preparation, L.W., L.C. and F.Y.; writing—review and editing, L.W., L.C. and F.Y.; visualization, L.C., H.L. and F.Y.; supervision, H.L.; project administration, L.C.; funding acquisition, L.C. All authors have read and agreed to the published version of the manuscript.
Funding
This work was supported by Educational Commission of Hunan Province of China (23B0453).
Data Availability Statement
The data are available from the corresponding author on reasonable request.
Conflicts of Interest
The authors declare no conflicts of interest.
References
- Trefethen, L.N. Exactness of quadrature formulas. Siam Rev. 2022, 64, 132–150. [Google Scholar] [CrossRef]
- Burg, C.O. Derivative-based closed Newton–Cotes numerical quadrature. Appl. Math. Comput. 2012, 218, 7052–7065. [Google Scholar] [CrossRef]
- Shahsavaran, A. Application of Newton–Cotes quadrature rule for nonlinear Hammerstein integral equations. Iran. J. Numer. Anal. Optim. 2021, 11, 385–399. [Google Scholar]
- Fornberg, B. Improving the accuracy of the trapezoidal rule. SIAM Rev. 2021, 63, 167–180. [Google Scholar] [CrossRef]
- Hale, N.; Trefethen, L.N. New quadrature formulas from conformal maps. SIAM J. Numer. Anal. 2008, 46, 930–948. [Google Scholar] [CrossRef]
- Yu, F.; Xu, S.; Lin, Y.; Gracia, Y.M.; Yao, W.; Cai, S. Dynamic Analysis, Image Encryption Application and FPGA Implementation of a Discrete Memristor-Coupled Neural Network. Int. J. Bifurc. Chaos 2024, 34, 2450068. [Google Scholar] [CrossRef]
- Liao, Z.; Ouyang, J.; Ma, M. Dual-attribute ring-star neural network. Nonlinear Dyn. 2024. [Google Scholar] [CrossRef]
- Luo, D.; Wang, C.; Deng, Q.; Sun, Y. Dynamics in a memristive neural network with three discrete heterogeneous neurons and its application. Nonlinear Dyn. 2024, 1–14. [Google Scholar] [CrossRef]
- Wang, C.; Luo, D.; Deng, Q.; Yang, G. Dynamics analysis and FPGA implementation of discrete memristive cellular neural network with heterogeneous activation functions. Chaos Solitons Fractals 2024, 187, 115471. [Google Scholar] [CrossRef]
- Deng, Q.; Wang, C.; Sun, Y.; Deng, Z.; Yang, G. Memristive Tabu Learning Neuron Generated Multi-Wing Attractor With FPGA Implementation and Application in Encryption. IEEE Trans. Circuits Syst. I Regul. Pap. 2024, 300–311. [Google Scholar] [CrossRef]
- Ma, X.; Wang, Z.; Wang, C. An Image Encryption Algorithm Based on Tabu Search and Hyperchaos. Int. J. Bifurc. Chaos 2024, 34, 2450170. [Google Scholar] [CrossRef]
- Zhu, J.; Jin, J.; Chen, C.; Wu, L.; Lu, M.; Ouyang, A. A New-Type Zeroing Neural Network Model and Its Application in Dynamic Cryptography. IEEE Trans. Emerg. Top. Comput. Intell. 2024, 1–16. [Google Scholar] [CrossRef]
- Feng, W.; Yang, J.; Zhao, X.; Qin, Z.; Zhang, J.; Zhu, Z.; Wen, H.; Qian, K. A Novel Multi-Channel Image Encryption Algorithm Leveraging Pixel Reorganization and Hyperchaotic Maps. Mathematics 2024, 12, 3917. [Google Scholar] [CrossRef]
- Yu, F.; Lin, Y.; Yao, W.; Cai, S.; Lin, H.; Li, Y. Multiscroll hopfield neural network with extreme multistability and its application in video encryption for IIoT. Neural Netw. 2025, 182, 106904. [Google Scholar] [CrossRef]
- Gao, S.; Iu, H.H.C.; Mou, J.; Erkan, U.; Liu, J.; Wu, R.; Tang, X. Temporal action segmentation for video encryption. Chaos Solitons Fractals 2024, 183, 114958. [Google Scholar] [CrossRef]
- Kumari, S.; Dua, M.; Dua, S.; Dhingra, D. A novel Cosine-Cosine chaotic map-based video encryption scheme. J. Eng. Appl. Sci. 2024, 71, 36. [Google Scholar] [CrossRef]
- Gao, S.; Iu, H.H.C.; Wang, M.; Jiang, D.; El-Latif, A.A.A.; Wu, R.; Tang, X. Design, Hardware Implementation, and Application in Video Encryption of the 2-D Memristive Cubic Map. IEEE Internet Things J. 2024, 11, 21807–21815. [Google Scholar] [CrossRef]
- Zhou, L.; Zhang, H.; Tan, F.; Liu, K. Delay-independent control for synchronization of memristor-based BAM neural networks with parameter perturbation and strong mismatch via finite-time technology. Trans. Inst. Meas. Control 2024, 46, 2035–2047. [Google Scholar] [CrossRef]
- Tan, F.; Zhou, L.; Lu, J.; Zhang, H. Fixed-time synchronization in multilayer networks with delay Cohen–Grossberg neural subnets via adaptive quantitative control. Asian J. Control 2024, 26, 446–455. [Google Scholar] [CrossRef]
- Zhou, L.; Lin, H.; Tan, F. Unified quantified adaptive control for multiple-time stochastic synchronization of coupled memristive neural networks. Neurocomputing 2024, 577, 127384. [Google Scholar] [CrossRef]
- Ma, M.; Xiong, K.; Li, Z.; He, S. Dynamical behavior of memristor-coupled heterogeneous discrete neural networks with synaptic crosstalk. Chin. Phys. B 2024, 33, 028706. [Google Scholar] [CrossRef]
- Wan, Q.; Liu, J.; Liu, T.; Sun, K.; Qin, P. Memristor-based circuit design of episodic memory neural network and its application in hurricane category prediction. Neural Netw. 2024, 174, 106268. [Google Scholar] [CrossRef] [PubMed]
- Ding, X.; Feng, C.; Wang, N.; Liu, A.; Xu, Q. Fast-slow dynamics in a memristive ion channel-based bionic circuit. Cogn. Neurodyn. 2024, 18, 3901–3913. [Google Scholar] [CrossRef] [PubMed]
- Xu, Q.; Ding, X.; Wang, N.; Chen, B.; Parastesh, F.; Chen, M. Spiking activity in a memcapacitive and memristive emulator-based bionic circuit. Chaos Solitons Fractals 2024, 187, 115339. [Google Scholar] [CrossRef]
- Xu, Q.; Ding, X.; Chen, B.; Parastesh, F.; Ho-Ching Iu, H.; Wang, N. A Universal Configuration Framework for Mem-Element-Emulator-Based Bionic Firing Circuits. IEEE Trans. Circuits Syst. I Regul. Pap. 2024, 71, 4120–4130. [Google Scholar] [CrossRef]
- Yu, F.; Zhang, W.; Xiao, X.; Yao, W.; Cai, S.; Zhang, J.; Wang, C.; Li, Y. Dynamic analysis and field-programmable gate array implementation of a 5D fractional-order memristive hyperchaotic system with multiple coexisting attractors. Fractal Fract. 2024, 8, 271. [Google Scholar] [CrossRef]
- He, J.; Cui, L.; Sun, J.; Huang, P.; Huang, Y. Chaotic dynamics analysis of double inverted pendulum with large swing angle based on Hamiltonian function. Nonlinear Dyn. 2022, 108, 4373–4384. [Google Scholar] [CrossRef]
- Kong, X.; Yu, F.; Yao, W.; Cai, S.; Zhang, J.; Lin, H. Memristor-induced hyperchaos, multiscroll and extreme multistability in fractional-order HNN: Image encryption and FPGA implementation. Neural Netw. 2024, 171, 85–103. [Google Scholar] [CrossRef]
- Yu, F.; Xu, S.; Lin, Y.; He, T.; Wu, C.; Lin, H. Design and Analysis of a Novel Fractional-Order System with Hidden Dynamics, Hyperchaotic Behavior and Multi-Scroll Attractors. Mathematics 2024, 12, 2227. [Google Scholar] [CrossRef]
- Liu, X.; Mou, J.; Zhang, Y.; Cao, Y. A New Hyperchaotic Map Based on Discrete Memristor and Meminductor: Dynamics Analysis, Encryption Application, and DSP Implementation. IEEE Trans. Ind. Electron. 2024, 71, 5094–5104. [Google Scholar] [CrossRef]
- Lai, Q.; Yang, L.; Chen, G. Design and Performance Analysis of Discrete Memristive Hyperchaotic Systems With Stuffed Cube Attractors and Ultraboosting Behaviors. IEEE Trans. Ind. Electron. 2024, 71, 7819–7828. [Google Scholar] [CrossRef]
- Wang, N.; Cui, M.; Yu, X.; Shan, Y.; Xu, Q. Generation of no-equilibrium multi-fold chaotic attractor for image processing and security. Appl. Math. Model. 2024, 133, 271–285. [Google Scholar] [CrossRef]
- Wolf, A.; Swift, J.B.; Swinney, H.L.; Vastano, J.A. Determining Lyapunov exponents from a time series. Phys. D Nonlinear Phenom. 1985, 16, 285–317. [Google Scholar] [CrossRef]
- Qin, X.; Zhang, Y. Image encryption algorithm based on COA and hyperchaotic Lorenz system. Nonlinear Dyn. 2024, 112, 10611–10632. [Google Scholar] [CrossRef]
- Lorenz, E.N. Deterministic nonperiodic flow. J. Atmos. Sci. 1963, 20, 130–141. [Google Scholar] [CrossRef]
- Naveen, S.; Parthiban, V. Existence, Uniqueness and Error Analysis of Variable-Order Fractional Lorenz System with Various Type of Delays. Int. J. Bifurc. Chaos 2024, 34, 2450152. [Google Scholar] [CrossRef]
- Zhao, J.; Sun, H.; Zhang, X.; Han, X.; Han, M.; Bi, Q. Frequency switching leads to distinctive fast–slow behaviors in Duffing system. Chaos Solitons Fractals 2024, 186, 115217. [Google Scholar] [CrossRef]
- Duffing, G. Erzwungene Schwingungen bei veränderlicher Eigenfrequenz und ihre technische Bedeutung; Number 41–42; Vieweg: Braunschweig, Germany, 1918. [Google Scholar]
- Wang, Y.; Zhang, J.; Wang, W.; Mao, G.; Hong, J.; Fang, B. Influence of the VI-NES on the resonance response regime and amplitude–frequency characteristics for the duffing system. Nonlinear Dyn. 2025, 113, 63–85. [Google Scholar] [CrossRef]
- Zhao, G.; Zhao, H.; Zhang, Y.; An, X. A New Memristive System with Extreme Multistability and Hidden Chaotic Attractors and with Application to Image Encryption. Int. J. Bifurc. Chaos 2024, 34, 2450010. [Google Scholar] [CrossRef]
- Cui, L.; Luo, W.; Ou, Q. Analysis of basins of attraction of new coupled hidden attractor system. Chaos Solitons Fractals 2021, 146, 110913. [Google Scholar] [CrossRef]
- Danca, M.F. Chaotic hidden attractor in a fractional order system modeling the interaction between dark matter and dark energy. Commun. Nonlinear Sci. Numer. Simul. 2024, 131, 107838. [Google Scholar] [CrossRef]
Disclaimer/Publisher’s Note: The statements, opinions and data contained in all publications are solely those of the individual author(s) and contributor(s) and not of MDPI and/or the editor(s). MDPI and/or the editor(s) disclaim responsibility for any injury to people or property resulting from any ideas, methods, instructions or products referred to in the content. |
© 2025 by the authors. Licensee MDPI, Basel, Switzerland. This article is an open access article distributed under the terms and conditions of the Creative Commons Attribution (CC BY) license (https://creativecommons.org/licenses/by/4.0/).









































