Chaos Prediction and Nonlinear Dynamic Analysis of a Dimple-Equipped Electrostatically Excited Microbeam
Abstract
1. Introduction
2. Design, Principle of Operation and Modeling
2.1. Actuator Design and Parameters
2.2. Mathematical Modeling
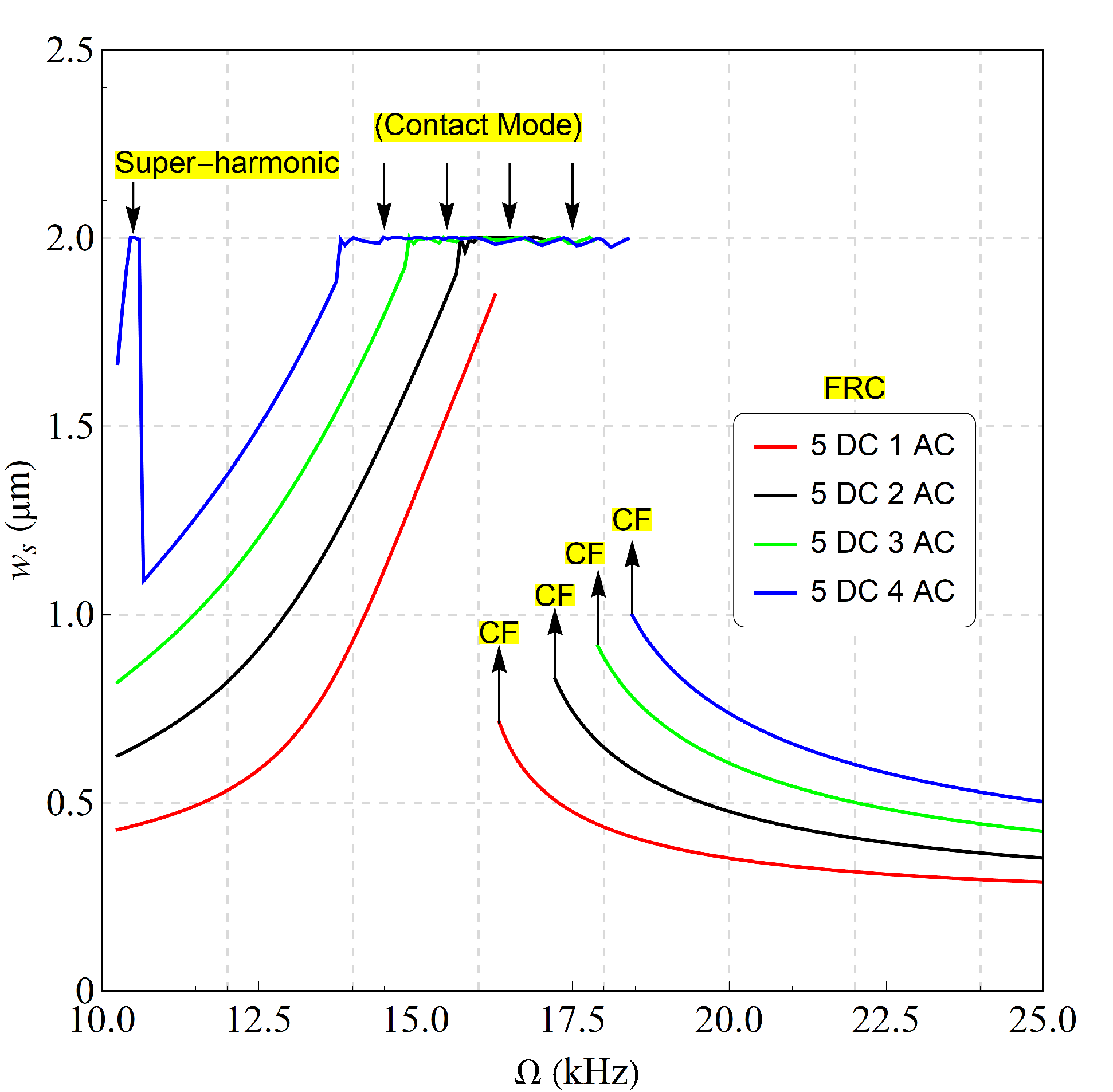
3. Results and Discussion
4. Conclusions
Funding
Data Availability Statement
Acknowledgments
Conflicts of Interest
References
- Maluf, N.; Williams, K. An Introduction to Microelectromechanical Systems Engineering; Artech House: Norwood, MA, USA, 2004. [Google Scholar]
- Madou, M.J. MEMS fabrication. In The MEMS Handbook; CRC: Boca Raton, FL, USA, 2002; Volume 16, pp. 1–183. [Google Scholar]
- Abdelbari, S.; Attia, A.; Bourada, F.; Bousahla, A.; Tounsi, A.; Ghazwani, M. Investigation of Dynamic Characteristics of Imperfect FG Beams on the Winkler–Pasternak Foundation under Thermal Loading. Phys. Mesomech. 2023, 26, 557–572. [Google Scholar] [CrossRef]
- Judy, J.W. Microelectromechanical systems (MEMS): Fabrication, design and applications. Smart Mater. Struct. 2001, 10, 1115. [Google Scholar] [CrossRef]
- Youzera, H.; Selim Saleh, M.M.; Ghazwani, M.H.; Meftah, S.A.; Tounsi, A.; Cuong-Le, T. Nonlinear damping and forced vibration analysis of sandwich functionally graded material beams with composite viscoelastic core layer. Mech. Based Des. Struct. Mach. 2023, 52, 4191–4210. [Google Scholar] [CrossRef]
- Fedder, G.K. MEMS fabrication. In Proceedings of the International Test Conference 2003 Proceedings ITC 2003, Charlotte, NC, USA, 30 September–2 October 2003; IEEE: Piscataway, NJ, USA, 2003; p. 691. [Google Scholar]
- Nguyen, N.T.; Huang, X.; Chuan, T.K. MEMS-micropumps: A review. J. Fluids Eng. 2002, 124, 384–392. [Google Scholar] [CrossRef]
- Nayfeh, A.H.; Younis, M.I. Dynamics of MEMS resonators under superharmonic and subharmonic excitations. J. Micromech. Microeng. 2005, 15, 1840. [Google Scholar] [CrossRef]
- Liu, X.; Fang, B.; Wan, S.; Li, X. Subharmonic resonance analysis of asymmetrical stiffness nonlinear systems with time delay. Appl. Math. Mech. 2025, 46, 1347–1364. [Google Scholar] [CrossRef]
- Ilyas, S.; Alfosail, F.K.; Bellaredj, M.L.; Younis, M.I. On the response of MEMS resonators under generic electrostatic loadings: Experiments and applications. Nonlinear Dyn. 2019, 95, 2263–2274. [Google Scholar] [CrossRef]
- Zhang, W.; Yang, D.; Guo, X. Low-frequency vibration suppression of meta-beam with softening nonlinearity. Appl. Math. Mech. 2025, 46, 1011–1028. [Google Scholar] [CrossRef]
- Shea, H.R.; Gasparyan, A.; Chan, H.B.; Arney, S.; Frahm, R.E.; López, D.; Jin, S.; McConnell, R.P. Effects of electrical leakage currents on MEMS reliability and performance. IEEE Trans. Device Mater. Reliab. 2004, 4, 198–207. [Google Scholar] [CrossRef]
- Maboudian, R. Antistiction coatings for surface micromachines. In Proceedings of the Micromachining and Microfabrication Process Technology IV, Santa Clara, CA, USA, 20–24 September 1998; SPIE: Bellingham, WA, USA, 1998; Volume 3511, pp. 108–113. [Google Scholar]
- Nishijima, N.; Hung, J.J.; Rebeiz, G.M. Parallel-contact metal-contact RF-MEMS switches for high power applications. In Proceedings of the 17th IEEE International Conference on Micro Electro Mechanical Systems, Maastricht MEMS 2004 Technical Digest, Maastricht, The Netherlands, 25–29 January 2004; IEEE: Piscataway, NJ, USA, 2004; pp. 781–784. [Google Scholar]
- He, S.; Mrad, R.B.; Chong, J. Repulsive-force out-of-plane large stroke translation micro electrostatic actuator. J. Micromech. Microeng. 2011, 21, 075002. [Google Scholar] [CrossRef]
- Chan, E.K.; Dutton, R.W. Electrostatic micromechanical actuator with extended range of travel. J. Micromech. Syst. 2000, 9, 321–328. [Google Scholar] [CrossRef]
- Alneamy, A.M. Symmetry breaking in an initially arch micro-resonator excited by a skewed electrostatic field. Microsyst. Technol. 2025, 31, 2517–2527. [Google Scholar] [CrossRef]
- Zhao, X.; Reddy, C.; Nayfeh, A. Nonlinear dynamics of an electrically driven impact microactuator. Nonlinear Dyn. 2005, 40, 227–239. [Google Scholar] [CrossRef]
- Alneamy, A.; Al-Ghamdi, M.; Park, S.; Khater, M.; Abdel-Rahman, E.; Heppler, G. Dimpled electrostatic MEMS actuators. J. Appl. Phys. 2019, 125, 024304. [Google Scholar] [CrossRef]
- Luo, A.C.; Wang, F.Y. Chaotic motion in a micro-electro–mechanical system with non-linearity from capacitors. Commun. Nonlinear Sci. Numer. Simul. 2002, 7, 31–49. [Google Scholar] [CrossRef]
- Chavarette, F.R.; Balthazar, J.M.; Felix, J.L.; Rafikov, M. A reducing of a chaotic movement to a periodic orbit, of a micro-electro-mechanical system, by using an optimal linear control design. Commun. Nonlinear Sci. Numer. Simul. 2009, 14, 1844–1853. [Google Scholar] [CrossRef]
- Gusso, A.; Viana, R.L.; Mathias, A.C.; Caldas, I.L. Nonlinear dynamics and chaos in micro/nanoelectromechanical beam resonators actuated by two-sided electrodes. Chaos Solitons Fractals 2019, 122, 6–16. [Google Scholar] [CrossRef]
- DeMartini, B.E.; Butterfield, H.E.; Moehlis, J.; Turner, K.L. Chaos for a microelectromechanical oscillator governed by the nonlinear Mathieu equation. J. Microelectromech. Syst. 2007, 16, 1314–1323. [Google Scholar] [CrossRef]
- Tajaddodianfar, F.; Pishkenari, H.N.; Yazdi, M.R.H. Prediction of chaos in electrostatically actuated arch micro-nano resonators: Analytical approach. Commun. Nonlinear Sci. Numer. Simul. 2016, 30, 182–195. [Google Scholar] [CrossRef]
- Alghamdi, M.S.; Khater, M.E.; Arabi, M.; Abdel-Rahman, E.M. Dynamics of large oscillations in electrostatic MEMS. Phys. Rep. 2024, 1094, 1–36. [Google Scholar] [CrossRef]
- Jamitzky, F.; Stark, R.W. Intermittency in amplitude modulated dynamic atomic force microscopy. Ultramicroscopy 2010, 110, 618–621. [Google Scholar] [CrossRef] [PubMed]
- Jamitzky, F.; Stark, M.; Bunk, W.; Heckl, W.M.; Stark, R.W. Chaos in dynamic atomic force microscopy. Nanotechnology 2006, 17, S213. [Google Scholar] [CrossRef] [PubMed][Green Version]
- Freire, E.; Rodriguez-Luis, A.; Gamero, E.; Ponce, E. A case study for homoclinic chaos in an autonomous electronic circuit: A trip from Takens-Bogdanov to Hopf-Šil’nikov. Phys. D Nonlinear Phenom. 1993, 62, 230–253. [Google Scholar] [CrossRef]
- Luo, A.C.; Wang, F.Y. Nonlinear dynamics of a micro-electro-mechanical system with time-varying capacitors. J. Vib. Acoust. 2004, 126, 77–83. [Google Scholar] [CrossRef]
- Lee, Y.K.; Deval, J.; Tabeling, P.; Ho, C.M. Chaotic mixing in electrokinetically and pressure driven micro flows. In Proceedings of the Technical Digest. MEMS 2001. 14th IEEE International Conference on Micro Electro Mechanical Systems (Cat. No. 01CH37090), Interlaken, Switzerland, 25 January 2001; IEEE: Piscataway, NJ, USA, 2001; pp. 483–486. [Google Scholar]
- Haghighi, H.S.; Markazi, A.H. Chaos prediction and control in MEMS resonators. Commun. Nonlinear Sci. Numer. Simul. 2010, 15, 3091–3099. [Google Scholar] [CrossRef]
- Siewe, M.S.; Hegazy, U.H. Homoclinic bifurcation and chaos control in MEMS resonators. Appl. Math. Model. 2011, 35, 5533–5552. [Google Scholar] [CrossRef]
- Peng, M. Symmetry breaking, bifurcations, periodicity and chaos in the Euler method for a class of delay differential equations. Chaos Solitons Fractals 2005, 24, 1287–1297. [Google Scholar] [CrossRef]
- Stark, R.W.; Heckl, W.M. Fourier transformed atomic force microscopy: Tapping mode atomic force microscopy beyond the Hookian approximation. Surf. Sci. 2000, 457, 219–228. [Google Scholar] [CrossRef]
- De, S.K.; Aluru, N.R. Complex Oscillations and Chaos in Electrostatic Microelectromechanical Systems under Superharmonic Excitations. Phys. Rev. Lett. 2005, 94, 204101. [Google Scholar] [CrossRef]
- Gusso, A.; Viana, R.L.; Ujevic, S. Enhanced complexity of chaos in micro/nanoelectromechanical beam resonators under two-frequency excitation. Commun. Nonlinear Sci. Numer. Simul. 2022, 114, 106683. [Google Scholar] [CrossRef]
- Alemansour, H.; Miandoab, E.M.; Pishkenari, H.N. Effect of size on the chaotic behavior of nano resonators. Commun. Nonlinear Sci. Numer. Simul. 2017, 44, 495–505. [Google Scholar] [CrossRef]
- Barceló, J.; Rosselló, J.; Bota, S.; Segura, J.; Verd, J. Electrostatically actuated microbeam resonators as chaotic signal generators: A practical perspective. Commun. Nonlinear Sci. Numer. Simul. 2016, 30, 316–327. [Google Scholar] [CrossRef]
- Zhang, W.M.; Tabata, O.; Tsuchiya, T.; Meng, G. Noise-induced chaos in the electrostatically actuated MEMS resonators. Phys. Lett. A 2011, 375, 2903–2910. [Google Scholar] [CrossRef]
- Polo, M.F.P.; Molina, M.P.; Chica, J.G. Chaotic dynamic and control for micro-electro-mechanical systems of massive storage with harmonic base excitation. Chaos Solitons Fractals 2009, 39, 1356–1370. [Google Scholar] [CrossRef]
- Ebrahimi, R. Chaos in coupled lateral-longitudinal vibration of electrostatically actuated microresonators. Chaos Solitons Fractals 2022, 156, 111828. [Google Scholar] [CrossRef]
- Tajaddodianfar, F.; Hairi Yazdi, M.R.; Pishkenari, H.N. On the chaotic vibrations of electrostatically actuated arch micro/nano resonators: A parametric study. Int. J. Bifurc. Chaos 2015, 25, 1550106. [Google Scholar] [CrossRef]
- Alneamy, A.M. Dynamic snap-through motion and chaotic attractor of electrostatic shallow arch micro-beams. Chaos Solitons Fractals 2024, 182, 114777. [Google Scholar] [CrossRef]
- Nayfeh, A.H.; Younis, M.I.; Abdel-Rahman, E.M. Reduced-order models for MEMS applications. Nonlinear Dyn. 2005, 41, 211–236. [Google Scholar] [CrossRef]









Disclaimer/Publisher’s Note: The statements, opinions and data contained in all publications are solely those of the individual author(s) and contributor(s) and not of MDPI and/or the editor(s). MDPI and/or the editor(s) disclaim responsibility for any injury to people or property resulting from any ideas, methods, instructions or products referred to in the content. |
© 2025 by the author. Licensee MDPI, Basel, Switzerland. This article is an open access article distributed under the terms and conditions of the Creative Commons Attribution (CC BY) license (https://creativecommons.org/licenses/by/4.0/).
Share and Cite
Alneamy, A.M. Chaos Prediction and Nonlinear Dynamic Analysis of a Dimple-Equipped Electrostatically Excited Microbeam. Mathematics 2025, 13, 2925. https://doi.org/10.3390/math13182925
Alneamy AM. Chaos Prediction and Nonlinear Dynamic Analysis of a Dimple-Equipped Electrostatically Excited Microbeam. Mathematics. 2025; 13(18):2925. https://doi.org/10.3390/math13182925
Chicago/Turabian StyleAlneamy, Ayman M. 2025. "Chaos Prediction and Nonlinear Dynamic Analysis of a Dimple-Equipped Electrostatically Excited Microbeam" Mathematics 13, no. 18: 2925. https://doi.org/10.3390/math13182925
APA StyleAlneamy, A. M. (2025). Chaos Prediction and Nonlinear Dynamic Analysis of a Dimple-Equipped Electrostatically Excited Microbeam. Mathematics, 13(18), 2925. https://doi.org/10.3390/math13182925

