The Janjić–Petković Inset Counting Function: Riordan Array Properties and a Thermodynamic Application
Abstract
1. Introduction
2. Explicit Forms, Row Extension, and Integral Representation
3. Generating Function for a Fixed Number of Selected Objects and Convolutions with Partition Counts
4. Linearly Increasing Number of Objects per Row with Gaps and Connection to Pentagonal and Related Numbers
5. The Janjić–Petković Counting Function as a Riordan Array
6. Generating Function for Fixed Number of Rows, Inverse Pair of Summation Formulas, and Restricted Power Set
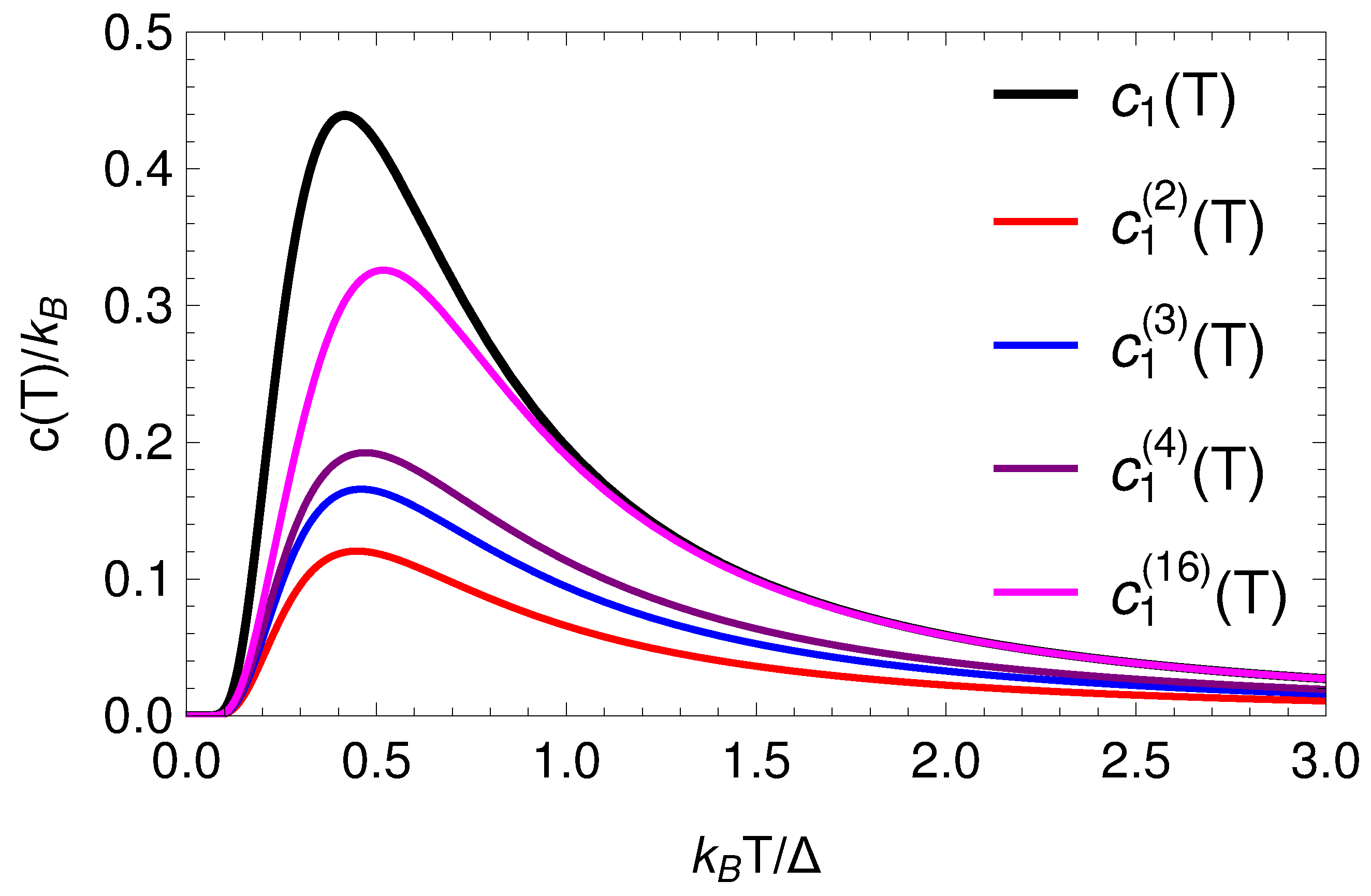
7. Thermodynamic Properties of a Many-Body System with Janjić–Petković Interaction: A Generalized Schottky Anomaly
Funding
Data Availability Statement
Conflicts of Interest
References
- Janjić, M. An Enumerative Function. arXiv 2008, arXiv:0801.1976. [Google Scholar] [CrossRef]
- Janjic, M.; Petkovic, B. A Counting Function Generalizing Binomial Coefficients and Some Other Classes of Integers. J. Int. Seq. 2014, 17, 14.3.5. [Google Scholar]
- Janjić, M. A Generating Function for Numbers of Insets. J. Int. Seq. 2014, 17, 14.9.7. [Google Scholar]
- Andrews, G.E. The Theory of Partitions; Cambridge University Press: Cambridge, UK, 1998. [Google Scholar]
- Generalizations of the Pentagonal Number Theorem, Mathematics Stack Exchange. 2017. Available online: https://math.stackexchange.com/questions/1477145/generalizations-of-the-pentagonal-number-theorem (accessed on 21 May 2025).
- Shapiro, L.W.; Getu, S.; Woan, W.J.; Woodson, L.C. The Riordan group. Discret. Appl. Math. 1991, 34, 229. [Google Scholar] [CrossRef]
- Sprugnoli, R. Riordan arrays and combinatorial sums. Discret. Math. 1994, 132, 267. [Google Scholar] [CrossRef]
- Merlini, D.; Rogers, D.G.; Sprugnoli, R.; Verri, M.C. On some alternative characterizations of Riordan arrays. Can. J. Math. 1997, 49, 301. [Google Scholar] [CrossRef]
- Riordan, J. Inverse Relations and Combinatorial Identities. Am. Math. Mon. 1964, 71, 485. [Google Scholar] [CrossRef]
- Kittel, C.; Kroemer, H. Thermal Physics, 2nd ed.; Bedford: New York, NY, USA, 1980. [Google Scholar]


Disclaimer/Publisher’s Note: The statements, opinions and data contained in all publications are solely those of the individual author(s) and contributor(s) and not of MDPI and/or the editor(s). MDPI and/or the editor(s) disclaim responsibility for any injury to people or property resulting from any ideas, methods, instructions or products referred to in the content. |
© 2025 by the author. Licensee MDPI, Basel, Switzerland. This article is an open access article distributed under the terms and conditions of the Creative Commons Attribution (CC BY) license (https://creativecommons.org/licenses/by/4.0/).
Share and Cite
Kollar, M. The Janjić–Petković Inset Counting Function: Riordan Array Properties and a Thermodynamic Application. Mathematics 2025, 13, 3007. https://doi.org/10.3390/math13183007
Kollar M. The Janjić–Petković Inset Counting Function: Riordan Array Properties and a Thermodynamic Application. Mathematics. 2025; 13(18):3007. https://doi.org/10.3390/math13183007
Chicago/Turabian StyleKollar, Marcus. 2025. "The Janjić–Petković Inset Counting Function: Riordan Array Properties and a Thermodynamic Application" Mathematics 13, no. 18: 3007. https://doi.org/10.3390/math13183007
APA StyleKollar, M. (2025). The Janjić–Petković Inset Counting Function: Riordan Array Properties and a Thermodynamic Application. Mathematics, 13(18), 3007. https://doi.org/10.3390/math13183007

