Research on Dynamic Spatial Pose and Load of Hydraulic Support Under Inclined–Declined and Large-Dip-Angle Working Conditions for Product Design
Abstract
1. Introduction
2. State of the Art
2.1. Hydraulic Support Pose Detection and Solving
2.2. Investigation on Evolution Patterns of Load-Bearing Characteristics in Hydraulic Supports
2.3. Interaction Mechanism of Support Pose and Load-Bearing Characteristics Under Inclined, Declined, and Large-Dip-Angle Mining Conditions
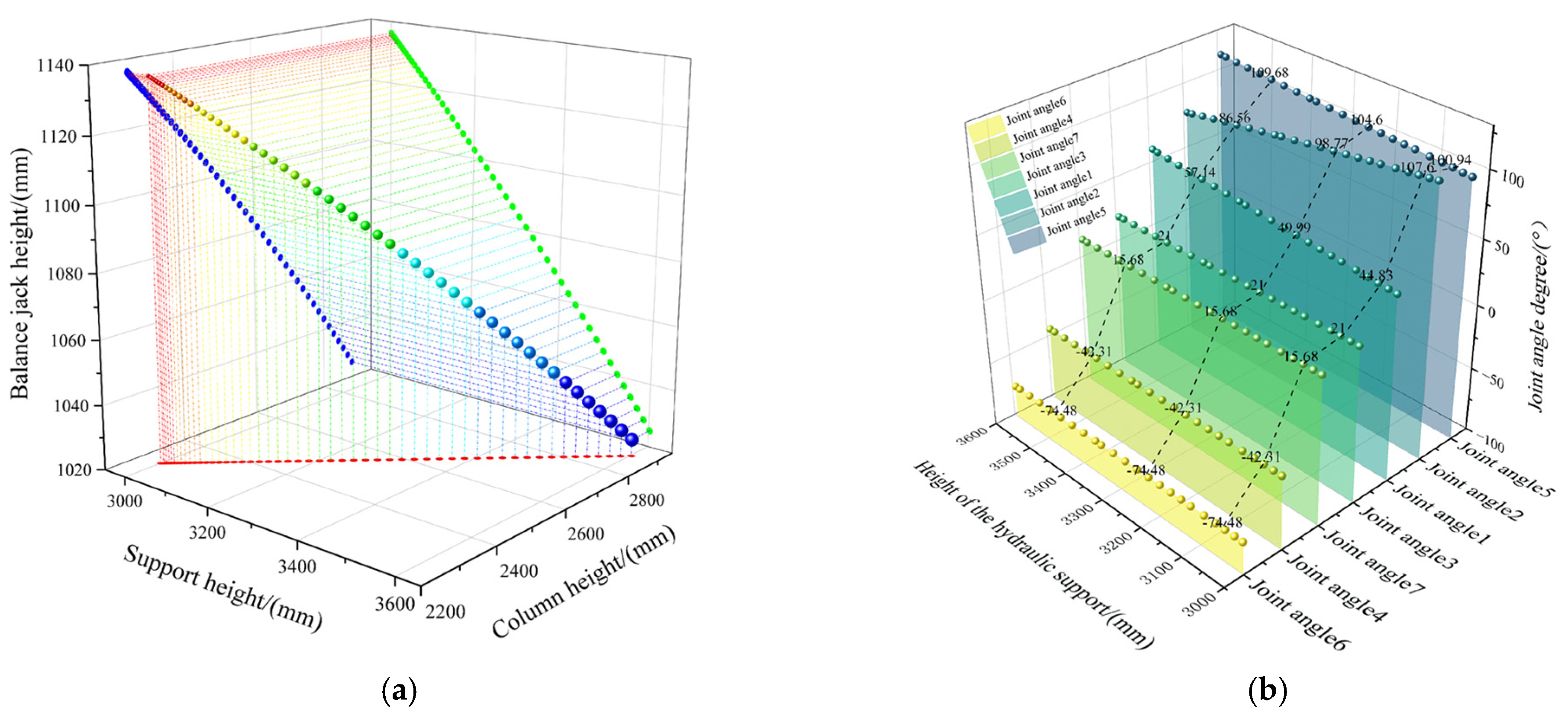
3. Establishment of D-H Spatial Pose Model for Hydraulic Supports
4. Orientation of the Fully Mechanized Hydraulic Support
4.1. Pose Transformation in DH Coordinate System
4.2. Dynamic Positioning Space and Coordinate Solution of Hydraulic Supports
5. Analysis of Hydraulic Support Load-Bearing Behavior Under Inclined–Declined and Large-Dip-Angle Working Conditions
5.1. Analysis of Hydraulic Support Load Characteristics Under Standard Pose Conditions
5.2. Analysis of Load Characteristics of Hydraulic Supports Under Inclined Angle Conditions
5.3. Analysis of Load Characteristics of Hydraulic Supports Under Declined Angle Conditions
5.4. Analysis of Load Characteristics of Hydraulic Supports Under Large-Dip-Angle Working Conditions
6. Case Verification
7. Conclusions and Future Work
Supplementary Materials
Author Contributions
Funding
Data Availability Statement
Conflicts of Interest
References
- Ge, S.; Zhang, X.; Xue, G.; Ren, H.; Wang, H.; Pang, Y.; Fan, L. Development of intelligent technologies and machinery for coal mining in China’s underground coal mines. Strateg. Study CAE 2023, 25, 146–156. [Google Scholar] [CrossRef]
- Wang, G.; Xu, Y.; Ren, H.; Zhang, D.; Pang, Y. Development and innovation practice of China coal mining technology and equipment for 50 years: Commemorate the 50th anniversary of the publication of Coal Science and Technology. Coal Sci. Technol. 2023, 51, 1–18. [Google Scholar]
- Wang, G.; Pang, Y.; Xu, Y.; Meng, L.Y.; Han, H.J. Development of intelligent green and efficient mining technology and equipment for thick coal seam. J. Min. Saf. Eng. 2023, 40, 882–893. [Google Scholar]
- Li, W.; Sun, X. Key technologies and practices for safe, efficient, and intelligent mining of deep coal resources. Coal Sci. Technol. 2024, 52, 52–64. [Google Scholar]
- Wu, Y.; Lang, D.; Yun, D.; Xie, P.; Wang, H.; Gao, X.; Luo, S.; Zeng, Y.; Lyu, W.; Liu, B.; et al. Reform and prospects of mining technology for large inclined coal seam in China. Coal Sci. Technol. 2024, 52, 25–51. [Google Scholar]
- Dawid, S. Research on the Strain and Stress of Powered Roof Support Construction to Limit Damage. Machines 2024, 12, 940. [Google Scholar] [CrossRef]
- Rak, Z.; Stasica, J.; Burtan, Z.; Chlebowski, D. Technical Aspects of Mining Rate Improvement in Steeply Inclined Coal Seams: A Case Study. Resources 2020, 9, 138. [Google Scholar] [CrossRef]
- Jia, H.; Zhang, Z.; Liu, S.; Peng, B.; Yu, H.; Shao, S.; Wang, Y. Research on dissimilation characteristics and control method of failure of surrounding rock in the roadway with repeated mining of steep and ultra-close multiple coal seam. Coal Sci. Technol. 2025, 53, 68–80. [Google Scholar]
- Chen, H.; Chen, H.; Xu, Y.; Zhang, D.; Ma, Y.; Mao, J. Research on attitude monitoring method of advanced hydraulic support based on multi-sensor fusion. Measurement 2022, 187, 110341. [Google Scholar] [CrossRef]
- Zeng, Q.; Li, Z.; Wan, L.; Ma, D. Study on Roof Instability Effect and Bearing Characteristics of Hydraulic Support in Longwall Top Coal Caving. Appl. Sci. 2023, 13, 8102. [Google Scholar] [CrossRef]
- Ji, Y.; Zhang, Y.; Huang, Z.; Shao, Z.; Gao, Y. Theoretical Analysis of Support Stability in Large Dip Angle Coal Seam Mined with Fully-Mechanized Top Coal Caving. Min. Sci. 2020, 27, 73–87. [Google Scholar]
- Chen, N.; Fang, X.; Liang, M.; Xue, X.; Zhang, F.; Wu, G.; Qiao, F. Research on Hydraulic Support Attitude Monitoring Method Merging FBG Sensing Technology and AdaBoost Algorithm. Sustainability 2023, 15, 2239. [Google Scholar] [CrossRef]
- Jiang, B.; Han, L.; Zhao, L.; Pang, Q.; Gao, Q.; Du, N. Reliability analysis of 50000 kN hydraulic support test bench under shrinkage test conditions. J. Vibroeng. 2024, 26, 1699–1713. [Google Scholar] [CrossRef]
- Luo, S.; Wu, Y.; Xie, P.; Wang, H.; Zhang, H. Mechanical analysis of support stability in longwall mining of steeply Declined seam. J. China Coal Soc. 2019, 44, 2664–2672. [Google Scholar]
- Liang, M.; Li, K.; Fang, X.; Zheng, D.; Lu, X.; Wu, G.; Lu, H. Development of FBG Inclination Sensor: A Study on Attitude Monitoring of Hydraulic Supports in Coal Mines. Appl. Sci. 2025, 15, 3429. [Google Scholar] [CrossRef]
- Chen, H.; Chen, Q.; Chen, H.; Yang, X.; Wang, X. Measurement of displacement and top beam attitude angle of advanced hydraulic support based on visual detection. Measurement 2023, 219, 113264. [Google Scholar] [CrossRef]
- Chen, H.; Chen, Q.; Yang, X.; Wang, X.; Chen, H. Omni-directional attitude detection of advanced hydraulic support relative to roadway based on visual measurement principle. Opt. Laser Technol. 2024, 179, 111329. [Google Scholar] [CrossRef]
- Zhang, Y.; Zhang, H.; Gao, K.; Zeng, Q.; Meng, F.; Cheng, J. Research on Intelligent Control System of Hydraulic Support Based on Position and Posture Detection. Machines 2022, 11, 33. [Google Scholar] [CrossRef]
- Pang, Y.; Shi, Y. Intelligent control algorithms for posture and height control of four-leg hydraulic supports. Sci. Rep. 2025, 15, 3010. [Google Scholar] [CrossRef]
- Mei, Z.; Wang, X.; Xie, J.; Li, S.; Liu, J. A sensing system and solving method for dynamic detection of relative pose of hydraulic support group. Measurement 2025, 243, 116145. [Google Scholar] [CrossRef]
- Hao, X.; Zhu, C.; Zhang, J.; Ge, S.; Tian, K.; Gao, C. Position and attitude digital twin model of hydraulic supports in fully mechanized workface. J. Mech. Sci. Technol. 2024, 38, 3741. [Google Scholar] [CrossRef]
- Hao, Z.; Xie, J.; Wang, X.; Feng, Z.; Meng, H. A method for reconstructing the pose of hydraulic support group based on point cloud and digital twin. Measurement 2024, 225, 113977. [Google Scholar] [CrossRef]
- He, L.; Xu, T.; Wu, Y.; Gao, J.; Wang, Y.; Pan, R. A Framework of Distributed Hydraulic Support Control System Based on Multi-Agent Systems. In Proceedings of the 2024 IEEE International Conference on Control Science and Systems Engineering (ICCSSE), Beijing, China, 18–20 October 2024; pp. 267–274. [Google Scholar]
- Pan, L.; Duan, Y.; Zhang, Y.; Xie, B.; Zhang, R. A lightweight algorithm based on YOLOv5 for relative position detection of hydraulic support at coal mining faces. J. Real-Time Image Process. 2023, 20, 40. [Google Scholar] [CrossRef]
- Zhang, J.; Wang, X.; Du, R.; Zhao, J.; Liu, J.; Wang, X.; Shen, W.; Xie, J. Method for solving spatial pose of hydraulic support based on autonomous AR measurement by inspector. Proc. Inst. Mech. Eng. Part C J. Mech. Eng. Sci. 2025, 239, 6101–6123. [Google Scholar] [CrossRef]
- Xie, B.; Yang, Y. Study on Working Characteristics of 4-Column Hydraulic Support in Lifting–Lowering–Moving State Based on Microcontact Theory and Rigid–Flexible–Mechanical–Hydraulic Coupling Simulation Model. Actuators 2024, 13, 193. [Google Scholar] [CrossRef]
- Qin, Z.; Yuan, Y.; Mao, Z.; Xu, X.; Li, Y.; Li, L.; Chen, Z.; Li, B. Research on coal gangue transport and shield beam bearing pressure law based on FLAC3D-PFC3D coupled simulation and physical similar simulation. Comput. Part. Mech. 2025, 12, 1–21. [Google Scholar] [CrossRef]
- Lin, F.; Li, M. Dynamic characteristics simulation and optimization of hydraulic support based on CAE method. Vibroeng. Procedia 2024, 57, 39–45. [Google Scholar]
- Cao, L.; Xu, Y.; He, C.; Zhang, E.; Miao, Y. Analysis of the load--bearing characteristics of hydraulic supports for top--coal caving under the impact of coal and gangue. Energy Sci. Eng. 2024, 12, 4810–4822. [Google Scholar] [CrossRef]
- Cao, L.; Yan, P.; Xi, W.; Zhang, X.; Jin, X.; Yang, H. Study on the bearing characteristics of overrun hydraulic support under impact loading. Front. Earth Sci. 2023, 11, 1180389. [Google Scholar] [CrossRef]
- Meng, Z.; Ma, C.; Xie, Y. Influence of impact load form on dynamic response of chock-shield support. Eksploat. I Niezawodn. Maint. Reliab. 2023, 25, 168316. [Google Scholar] [CrossRef]
- Zeng, Q.; Li, Z.; Wan, L.; Ma, D.; Wang, J. Research on Dynamic Characteristics of Canopy and Column of Hydraulic Support under Impact Load. Energies 2022, 15, 4638. [Google Scholar] [CrossRef]
- Hu, X.; Liu, X. Design and analysis of one-degree statically indeterminate hydraulic support. J. Mech. Sci. Technol. 2021, 35, 5529–5539. [Google Scholar] [CrossRef]
- Zhang, J.; Wan, C.; Wang, J.; Chen, C.; Wang, T.; Xu, K. Research on the high precision hydraulic column stress monitoring method. Sci. Rep. 2025, 15, 832. [Google Scholar] [CrossRef]
- Meng, G.-H.; Zhang, J.-X.; Li, M.; Wang, C.-J.; Zhou, N.; Zhang, L.-B. Bearing characteristics and safety control of hydraulic support groups in shallow-buried thin bedrock ultra-long working faces. J. Cent. South Univ. 2023, 30, 1662–1674. [Google Scholar] [CrossRef]
- Xie, P.; Wu, S.; Luo, S.; Wu, Y.; Chen, J. Dynamic instability mechanism of support and its control in longwall mining of steeply Declined coal seam. Coal Sci. Technol. 2023, 51, 58–71. [Google Scholar]
- Hu, X.; Ji, X.; Liu, Y.; Du, Y. Study on instability mechanism of hydraulic support in downdip and updip coal face. Alex. Eng. J. 2023, 81, 304–318. [Google Scholar] [CrossRef]
- Szweda, S.; Szyguła, M.; Szelka, M.; Banaś, M.; Kołodziejczyk, K. Computational Methods for Verifying the Normative Requirements Regarding the Lateral Correction Force of a Powered Roof Support. Energies 2024, 17, 5433. [Google Scholar] [CrossRef]
- Cao, L.; Geng, M.; Shen, R.; Zhang, D.; Zhang, X. Research on Coal-Releasing Characteristics of Hydraulic Support for a Large Inclined-Angle Comprehensive Workface. Machines 2024, 12, 656. [Google Scholar] [CrossRef]
- Bai, S. Research on Attitude Perception of Hydraulic Support and Control of Top Beam Pitch Angle. Master’s Thesis, Taiyuan University of Technology, Taiyuan, China, 2021. [Google Scholar]
- Luo, S.H.; Wang, T.; Tian, C.Y.; Gao, X.C.; Lang, D.; Wang, H.W. Angle effect of the roof stress transmission path in longwall mining of steeply Declined coal seam. J. China Coal Soc. 2022, 47, 623–633. [Google Scholar]
- Xu, Y.; Zeng, M.; Cai, F.; Ding, W.; Liu, J.; Han, H. Investigation on adaptability of two-leg shielded LTCC hydraulic supports for ultra-thick and hard coal seam with super-large cutting height. J. Min. Saf. Eng. 2025, 42, 252–263. [Google Scholar]























| Parameter | Specification |
|---|---|
| Working resistance | 12,000 KN |
| Number of upright legs | 2 |
| Canopy length | 4200 mm |
| Canopy width | 1650 mm |
| Working height | 3300 mm |
| Coordinate Frame | Origin Location |
|---|---|
| Hinge joint of rear connecting rod and base | |
| Hinge joint of rear connecting rod and shield beam | |
| Hinge joint of front connecting rod and shield beam | |
| Hinge joint of shield beam and balance jack | |
| Hinge joint of shield beam and canopy | |
| Hinge joint of canopy and balance jack | |
| Hinge joint of canopy and upright column | |
| Front endpoint of canopy (non-articulation reference point) |
| Sequence Number | Joint Angle /(mm) | Link Offset Distance /(mm) | Link Length /(mm) | Twist Angle /(°) |
|---|---|---|---|---|
| 1 | 0 | 0 | ||
| 2 | 0 | 0 | ||
| 3 | 0 | 0 | ||
| 4 | 0 | 0 | ||
| 5 | 0 | 0 | ||
| 6 | 0 | 0 | ||
| 7 | 0 | 0 |
| Angle Type | RMSE/(°) |
|---|---|
| Front connecting rod inclination angle | 0.836 |
| Rear connecting rod inclination angle | 0.756 |
| Balance jack inclination angle | 0.114 |
| Upright column inclination angle | 0.372 |
| Sensor Type | Sensor Model | Measurement Range | Accuracy |
|---|---|---|---|
| Tension–compression sensor | SBT673 | 2000 kg | 0.1% |
| S-type tension–compression sensor | SBT620 | 2000 kg | 0.03% |
| Inclinometer | HDA436VU-485-BIN-EV | 90° | 0.1% |
| Displacement sensor | BRT38-0.5M-R0M4096-RT1 | 500 mm | 0.1% |
| Inclined Angle Conditions | Declined Angle Conditions | Large-Dip-Angle Conditions | |||
|---|---|---|---|---|---|
| Type | RMSE/(kg) | Type | RMSE/(kg) | Type | RMSE/(kg) |
| Upright column | 1.944 | Upright column | 1.701 | Upright column | 2.043 |
| Balance jack | 2.920 | Balance jack | 3.888 | Balance jack | 2.624 |
Disclaimer/Publisher’s Note: The statements, opinions and data contained in all publications are solely those of the individual author(s) and contributor(s) and not of MDPI and/or the editor(s). MDPI and/or the editor(s) disclaim responsibility for any injury to people or property resulting from any ideas, methods, instructions or products referred to in the content. |
© 2025 by the authors. Licensee MDPI, Basel, Switzerland. This article is an open access article distributed under the terms and conditions of the Creative Commons Attribution (CC BY) license (https://creativecommons.org/licenses/by/4.0/).
Share and Cite
He, L.; Sun, L.; Wu, Y.; Zhao, Z.; Yuan, Z.; Cai, H.; Li, J.; Cao, X.; Zhang, X. Research on Dynamic Spatial Pose and Load of Hydraulic Support Under Inclined–Declined and Large-Dip-Angle Working Conditions for Product Design. Mathematics 2025, 13, 2945. https://doi.org/10.3390/math13182945
He L, Sun L, Wu Y, Zhao Z, Yuan Z, Cai H, Li J, Cao X, Zhang X. Research on Dynamic Spatial Pose and Load of Hydraulic Support Under Inclined–Declined and Large-Dip-Angle Working Conditions for Product Design. Mathematics. 2025; 13(18):2945. https://doi.org/10.3390/math13182945
Chicago/Turabian StyleHe, Longlong, Lianwei Sun, Yue Wu, Zidi Zhao, Zhaoqiang Yuan, Haoqian Cai, Jiale Li, Xiangang Cao, and Xuhui Zhang. 2025. "Research on Dynamic Spatial Pose and Load of Hydraulic Support Under Inclined–Declined and Large-Dip-Angle Working Conditions for Product Design" Mathematics 13, no. 18: 2945. https://doi.org/10.3390/math13182945
APA StyleHe, L., Sun, L., Wu, Y., Zhao, Z., Yuan, Z., Cai, H., Li, J., Cao, X., & Zhang, X. (2025). Research on Dynamic Spatial Pose and Load of Hydraulic Support Under Inclined–Declined and Large-Dip-Angle Working Conditions for Product Design. Mathematics, 13(18), 2945. https://doi.org/10.3390/math13182945

