A Fractional-Order Memristive Hopfield Neural Network and Its Application in Medical Image Encryption
Abstract
1. Introduction
- A simple FMHNN model with only two neurons and a charge-controlled fractional-order memristor is constructed. Numerical simulations confirm that lower fractional orders of the memristor enhance chaotic intensity and phase-space complexity. Moreover, the FPGA-based hardware implementation of the FMHNN validates the consistency between numerical and experimental results.
- Based on the chaotic sequences generated by the proposed FMHNN model, a medical image encryption scheme with superior resistance to statistical attacks, noise interference, and data loss is developed.
- By balancing dimensionality reduction (3D) and fractional-order tuning, the FMHNN model maintains chaotic strength while minimizing hardware resource consumption, supporting embedded security modules for portable medical devices and advancing secure smart healthcare ecosystems.
2. Theoretical Foundations of Fractional Calculus
3. Model Construction
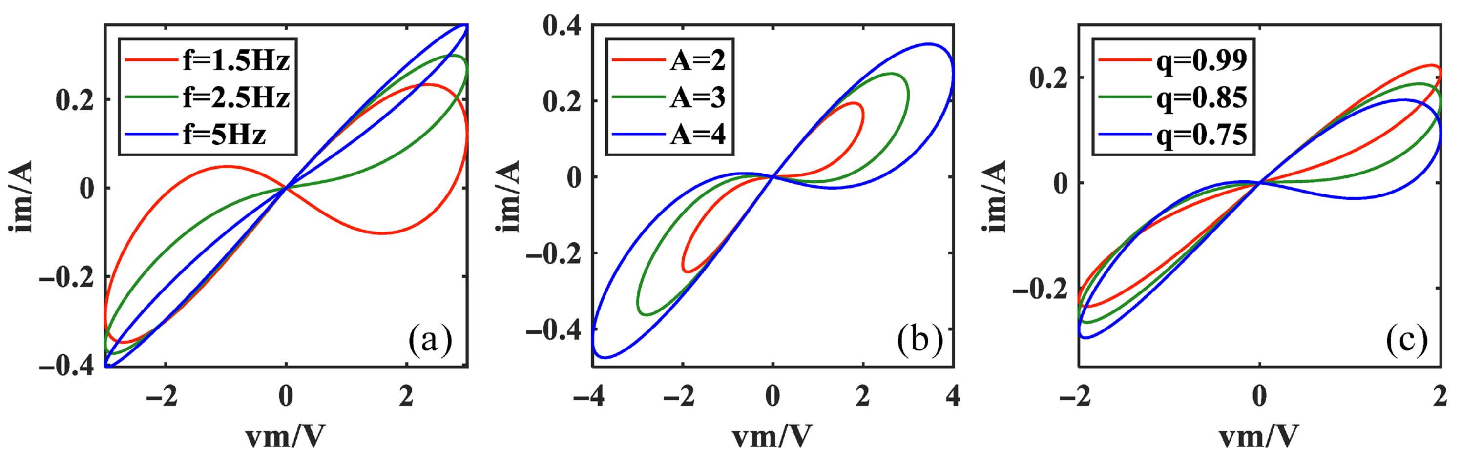
3.1. Fractional-Order Memristor
3.2. The Proposed FMHNN Model
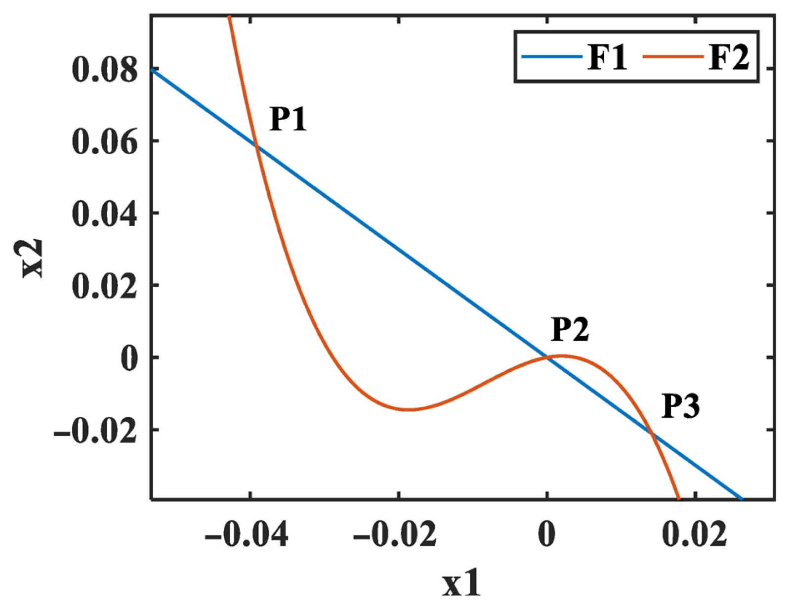
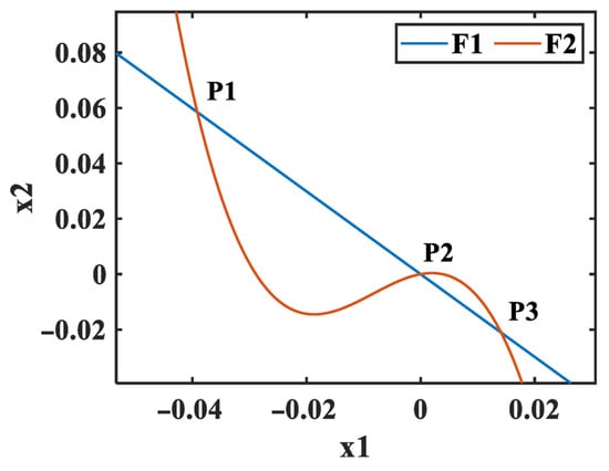
3.3. Equilibrium Points and Their Stability Analysis
4. Dynamics Analysis of the FMHNN Model
4.1. System Chaotic State Analysis
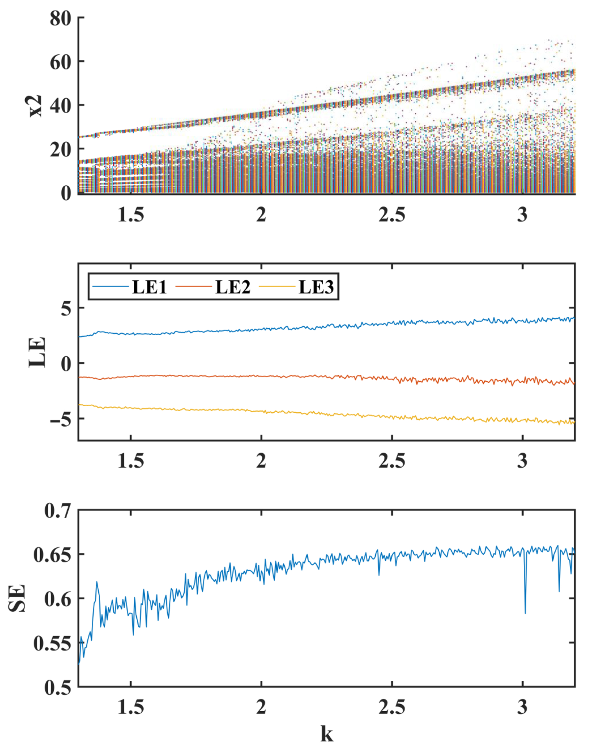
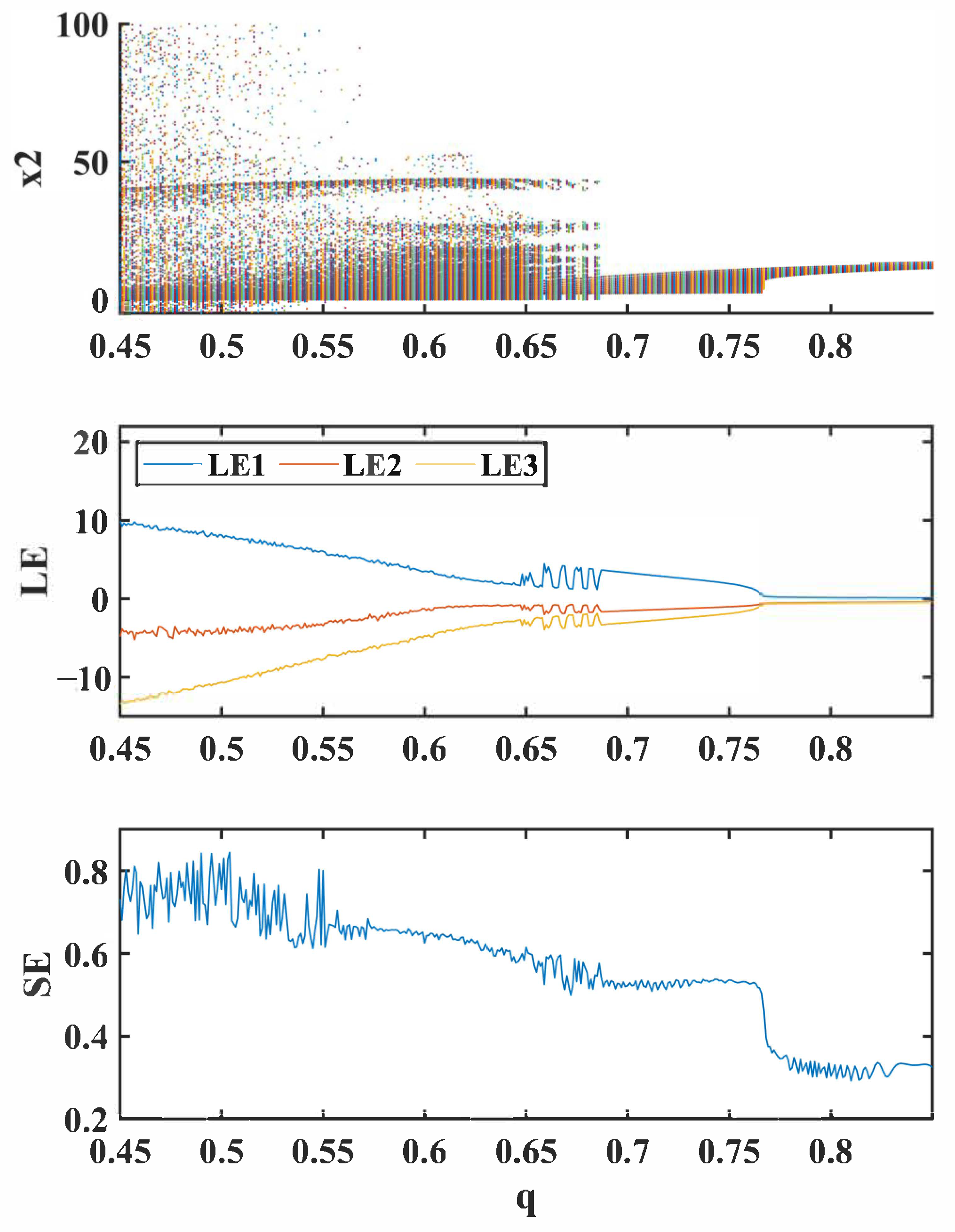
4.2. The Dynamic Behaviors of the FMHNN Model Varying with Parameters
5. FPGA Implementation
6. Medical Image Encryption Application
6.1. Encryption and Decryption Algorithms and Results
- Generate chaotic sequences. According to the above-designed FMHNN model (15), we define the initial parameters as the initial key, and generate three chaotic sequences , , with size .
- Generate pseudo-random sequences. The three generated chaotic sequences , , are used to generate two pseudo-random sequences of length based on the following operations:
- Scramble the original image pixel positions. The original image is changed from an matrix to a column vector . The pseudo-random index sequence is generated by sorting the pseudo-random sequence according to , and then the new column vector is rearranged according to .
- XOR encryption. We use to perform XOR encryption on the image elements according to . Then we rearrange the vector into an H row, W column matrix , and is the final encrypted image.
- XOR. Rearrange the encrypted image into a column vector , and decrypt the encrypted image according to .
- Recover the original image pixel positions. Restore the arrangement of image elements through , and then rearrange them to change back to the original image with size .
6.2. Security Analysis of the FMHNN-Based Encryption Algorithm
6.2.1. Key Space Analysis
6.2.2. Key Sensitivity Analysis
6.2.3. Histogram Analysis
6.2.4. Correlation Analysis
6.2.5. Information Entropy Analysis
| References | System Dimension | Key Space | NPCR | UACI | Information Entropy | Horizontal, Vertical, Diagonal |
|---|---|---|---|---|---|---|
| This work | 3 | 99.6029% | 33.4897% | 7.9994 | −0.0005, 0.0019, −0.0000 | |
| [9] | 5 | / | 99.6040% | 33.4710% | 7.9993 | −0.0017, −0.0020, 0.0062 |
| [49] | 4 | / | 99.6100% | 33.4700% | 7.9990 | −0.0099, 0.0154, 0.0146 |
| [44] | 4 | 99.5968% | 33.4747% | 7.9993 | −0.0020, 0.0010, 0.0103 | |
| [47] | 5 | / | 99.6078% | 33.4875% | 7.9977 | −0.0024, 0.0005, 0.0047 |
| [45] | 4 | 99.6841% | 33.5539% | 7.9992 | 0.0014, 0.0009, 0.0004 | |
| [48] | 4 | / | 99.6110% | 33.4730% | 7.9992 | 0.0035, −0.0028, −0.0015 |
| [50] | 9 | 99.6104% | 33.4662% | 7.9981 | −0.0017, −0.0008, 0.0133 | |
| [46] | 10 | 99.5953% | 33.5107% | 7.9976 | −0.0005, 0.0089, 0.0039 |
6.2.6. Robust Analysis of the Proposed FMHNN-Based Encryption Algorithm
7. Conclusions
Author Contributions
Funding
Data Availability Statement
Conflicts of Interest
Abbreviations
| ADM | Adomian decomposition method |
| ARM | Advanced RISC machine |
| BM-CHNN | Bimemristor cyclic Hopfield neural network |
| BNC | Bayonet Neill–Concelman |
| DA | Digital-to-analog |
| DM-HNN | Discrete memristive Hopfield neural network |
| IOD | Integral-order differential |
| FMHNN | Fractional-order memristive Hopfield neural network |
| FOD | Fractional-order differential |
| FPGA | Field-programmable gate array |
| HNN | Hopfield neural network |
| HNNs | Hopfield neural networks |
| LE | Lyapunov exponent |
| MSPS | Multiphase serial–parallel–serial storage |
| NIST | National Institute of Standards and Technology |
| NPCR | Number of pixels change rate |
| RISC | Reduced instruction-set computer |
| RL | Riemann–Liouville |
| SE | Spectral entropy |
| SoC | System on chip |
| UACI | Unified average changing intensity |
| XOR | Exclusive OR |
Appendix A
References
- Jin, J.; Wu, M.; Ouyang, A.; Li, K.; Chen, C. A novel dynamic hill cipher and its applications on medical IoT. IEEE Internet Things J. 2025, 12, 14297–14308. [Google Scholar] [CrossRef]
- Zhu, J.; Jin, J.; Chen, C.; Wu, L.; Lu, M.; Ouyang, A. A New-Type Zeroing Neural Network Model and Its Application in Dynamic Cryptography. IEEE Trans. Emerg. Top. Comput. Intell. 2025, 9, 176–191. [Google Scholar] [CrossRef]
- Peng, C.; Li, Z.; Wang, M.; Ma, M. Dynamics in a Memristor-Coupled Heterogeneous Neuron Network under Electromagnetic Radiation. Nonlinear Dyn. 2023, 111, 16527–16543. [Google Scholar] [CrossRef]
- Wang, Q.; Sang, H.; Wang, P.; Yu, X.; Yang, Z. A Novel 4D Chaotic System Coupling with Dual-Memristors and Application in Image Encryption. Sci. Rep. 2024, 14, 29615. [Google Scholar] [CrossRef] [PubMed]
- Lai, Q.; Guo, S. Simple Cyclic Memristive Neural Networks with Coexisting Attractors and Large-Scale Amplitude Control. Chaos: Interdiscip. J. Nonlinear Sci. 2023, 33, 07315. [Google Scholar] [CrossRef]
- Deng, Q.; Wang, C.; Yang, G.; Luo, D. Discrete Memristive Delay Feedback Rulkov Neuron Model: Chaotic Dynamics, Hardware Implementation and Application in Secure Communication. IEEE Internet Things J. 2025, 12, 25559–25567. [Google Scholar] [CrossRef]
- Deng, Q.; Wang, C.; Sun, Y.; Yang, G. Discrete Memristive Conservative Chaotic Map: Dynamics, Hardware Implementation, and Application in Secure Communication. IEEE Trans. Cybern. 2025, 55, 3926–3934. [Google Scholar] [CrossRef]
- Gu, Y.; Bao, H.; Yu, X.; Hua, Z.; Bao, B.; Xu, Q. Hybrid tri-memristor hyperchaotic map and application in Wasserstein Generative Adversarial Nets. Sci. China Technol. Sci. 2024, 67, 1855–1865. [Google Scholar] [CrossRef]
- Lai, Q.; Yang, L.; Hu, G.; Guan, Z.H.; Iu, H.H.C. Constructing Multiscroll Memristive Neural Network with Local Activity Memristor and Application in Image Encryption. IEEE Trans. Cybern. 2024, 54, 4039–4048. [Google Scholar] [CrossRef] [PubMed]
- Jin, J.; Chen, W.; Ouyang, A.; Yu, F.; Liu, H. A time-varying fuzzy parameter zeroing neural network for the synchronization of chaotic systems. IEEE Trans. Emerg. Top. Comput. Intell. 2023, 8, 364–376. [Google Scholar] [CrossRef]
- Chen, C.; Min, F.; Zhang, Y.; Bao, H. ReLU-type Hopfield Neural Network with Analog Hardware Implementation. Chaos Solitons Fractals 2023, 167, 113068. [Google Scholar] [CrossRef]
- Feng, W.; Zhang, J.; Chen, Y.; Qin, Z.; Zhang, Y.; Ahmad, M.; Woźniak, M. Exploiting robust quadratic polynomial hyperchaotic map and pixel fusion strategy for efficient image encryption. Expert Syst. Appl. 2024, 246, 123190. [Google Scholar] [CrossRef]
- Xiao, P.; Fang, J.; Wei, Z.; Dong, Y.; Du, S.; Wen, S.; Hong, Q. A Riccati Matrix Equation Solver Design Based Neurodynamics Method and Its Application. IEEE Trans. Autom. Sci. Eng. 2025, 22, 15163–15176. [Google Scholar] [CrossRef]
- Bao, B.; Tang, H.; Su, Y.; Bao, H.; Chen, M.; Xu, Q. Two-Dimensional Discrete Bi-Neuron Hopfield Neural Network with Polyhedral Hyperchaos. IEEE Trans. Circuits Syst. I Regul. Pap. 2024, 71, 5907–5918. [Google Scholar] [CrossRef]
- Deng, Q.; Wang, C.; Sun, Y.; Yang, G. Memristive Multi-Wing Chaotic Hopfield Neural Network for LiDAR Data Security. Nonlinear Dyn. 2025, 113, 17161–17176. [Google Scholar] [CrossRef]
- Li, Y.; Liu, J.; Liu, H. A Complex-Variable Disturbed Laser with Application to Hidden Multi-Scroll Attractor Generation. Nonlinear Dyn. 2024, 113, 10515–10533. [Google Scholar] [CrossRef]
- Bao, H.; Chen, Z.; Ma, J.; Xu, Q.; Bao, B. Planar Homogeneous Coexisting Hyperchaos in Bi-Memristor Cyclic Hopfield Neural Network. IEEE Trans. Ind. Electron. 2024, 71, 16398–16408. [Google Scholar] [CrossRef]
- Bao, H.; Wang, R.; Tang, H.; Chen, M.; Bao, B. Discrete Memristive Hopfield Neural Network with Multi-Stripe/Wave Hyperchaos. IEEE Internet Things J. 2025, 12, 20902–20912. [Google Scholar] [CrossRef]
- Li, L.; Ren, Y.; Wang, W.; Pang, W. Spacecraft Attitude Measurement and Control Using VSMSCSG and Fractional-Order Zeroing Neural Network Adaptive Steering Law. Sensors 2024, 24, 766. [Google Scholar] [CrossRef]
- Eftekhari, L.; Amirian, M.M. Stability Analysis of Fractional Order Memristor Synapse-Coupled Hopfield Neural Network with Ring Structure. Cogn. Neurodynamics 2023, 17, 1045–1059. [Google Scholar] [CrossRef]
- Wang, C.; Li, Y.; Yang, G.; Deng, Q. A Review of Fractional-Order Chaotic Systems of Memristive Neural Networks. Mathematics 2025, 13, 1600. [Google Scholar] [CrossRef]
- Umarov, S. Introduction to Fractional and Pseudo-Differential Equations with Singular Symbols, Developments in Mathematics; Springer International Publishing: Berlin/Heidelberg, Germany, 2015; Volume 41. [Google Scholar] [CrossRef]
- Baleanu, D.; Diethelm, K.; Scalas, E.; Trujillo, J.J. Fractional Calculus: Models and Numerical Methods, 2nd ed.; Series on Complexity, Nonlinearity and Chaos; World Scientific: Singapore, 2016; Volume 5. [Google Scholar] [CrossRef]
- Abassy, T.A. Improved Adomian Decomposition Method. Comput. Math. Appl. 2010, 59, 42–54. [Google Scholar] [CrossRef]
- Abassy, T.A.; El-Tawil, M.A.; Saleh, H.K. The Solution of Burgers’ and Good Boussinesq Equations Using ADM–Padé Technique. Chaos Solitons Fractals 2007, 32, 1008–1026. [Google Scholar] [CrossRef]
- Cherruault, Y.; Adomian, G.; Abbaoui, K.; Rach, R. Further Remarks on Convergence of Decomposition Method. Int. J. -Bio-Med. Comput. 1995, 38, 89–93. [Google Scholar] [CrossRef]
- Abbaoui, K.; Cherruault, Y. Convergence of Adomian’s Method Applied to Nonlinear Equations. Math. Comput. Model. 1994, 20, 69–73. [Google Scholar] [CrossRef]
- Kang, S.M.; Nazeer, W.; Tanveer, M.; Mehmood, Q.; Rehman, K. Improvements in Newton-Rapshon Method for Nonlinear Equations Using Modified Adomian Decomposition Method. Int. J. Math. Anal. 2015, 9, 1919–1928. [Google Scholar] [CrossRef]
- Singla, R.K.; Das, R. Adomian Decomposition Method for a Stepped Fin with All Temperature-Dependent Modes of Heat Transfer. Int. J. Heat Mass Transf. 2015, 82, 447–459. [Google Scholar] [CrossRef]
- Chua, L. Everything You Wish to Know about Memristors but Are Afraid to Ask. Radioengineering 2015, 24, 319–368. [Google Scholar] [CrossRef]
- Abe. Theories on the Hopfield Neural Networks. In Proceedings of the International Joint Conference on Neural Networks, Washington, DC, USA, 18–22 June 1989; Volume 1, pp. 557–564. [Google Scholar] [CrossRef]
- Lai, Q.; Wan, Z.; Zhang, H.; Chen, G. Design and Analysis of Multiscroll Memristive Hopfield Neural Network with Adjustable Memductance and Application to Image Encryption. IEEE Trans. Neural Netw. Learn. Syst. 2023, 34, 7824–7837. [Google Scholar] [CrossRef]
- Wall, C.T.C. Poincare Complexes: I. Ann. Math. 1967, 86, 213–245. [Google Scholar] [CrossRef]
- Gottwald, G.A.; Melbourne, I. On the implementation of the 0–1 test for chaos. Siam J. Appl. Dyn. Syst. 2009, 8, 129–145. [Google Scholar]
- Nunes, R.R.; de Almeida, M.P.; Sleigh, J.W. Spectral Entropy: A New Method for Anesthetic Adequacy. Rev. Bras. de Anestesiol. 2004, 54, 404–422. [Google Scholar] [CrossRef]
- Gao, S.; Iu, H.H.C.; Erkan, U.; Simsek, C.; Toktas, A.; Cao, Y.; Wu, R.; Mou, J.; Li, Q.; Wang, C. A 3D Memristive Cubic Map with Dual Discrete Memristors: Design, Implementation, and Application in Image Encryption. IEEE Trans. Circuits Syst. Video Technol. 2025, 35, 7706–7718. [Google Scholar] [CrossRef]
- Monaghan, D.S.; Gopinathan, U.; Naughton, T.J.; Sheridan, J.T. Key-space analysis of double random phase encryption technique. Appl. Opt. 2007, 46, 6641–6647. [Google Scholar] [CrossRef]
- Wu, Y.; Noonan, J.P.; Agaian, S. NPCR and UACI randomness tests for image encryption. Cyber J. Multidiscip. J. Sci. Technol. J. Sel. Areas Telecommun. 2011, 1, 31–38. [Google Scholar]
- Carlotto, M.J. Histogram Analysis Using a Scale-Space Approach. IEEE Trans. Pattern Anal. Mach. Intell. 1987, PAMI-9, 121–129. [Google Scholar] [CrossRef] [PubMed]
- Gogtay, N.J.; Thatte, U.M. Principles of correlation analysis. J. Assoc. Physicians India 2017, 65, 78–81. [Google Scholar] [PubMed]
- Benesty, J.; Chen, J.; Huang, Y.; Cohen, I. Pearson Correlation Coefficient. In Noise Reduction in Speech Processing; Springer: Berlin/Heidelberg, Germany, 2009; pp. 1–4. [Google Scholar] [CrossRef]
- Székely, G.J.; Rizzo, M.L. Partial Distance Correlation with Methods for Dissimilarities. Ann. Stat. 2014, 42, 2382–2412. [Google Scholar] [CrossRef]
- Tsai, D.Y.; Lee, Y.; Matsuyama, E. Information entropy measure for evaluation of image quality. J. Digit. Imaging 2008, 21, 338–347. [Google Scholar] [CrossRef] [PubMed]
- Wei, D.; Jiang, M.; Deng, Y. A Secure Image Encryption Algorithm Based on Hyper-Chaotic and Bit-Level Permutation. Expert Syst. Appl. 2023, 213, 119074. [Google Scholar] [CrossRef]
- Wu, Y.; Zhang, L.; Berretti, S.; Wan, S. Medical Image Encryption by Content-Aware DNA Computing for Secure Healthcare. IEEE Trans. Ind. Inform. 2023, 19, 2089–2098. [Google Scholar] [CrossRef]
- Wang, C.; Tang, D.; Lin, H.; Yu, F.; Sun, Y. High-Dimensional Memristive Neural Network and Its Application in Commercial Data Encryption Communication. Expert Syst. Appl. 2024, 242, 122513. [Google Scholar] [CrossRef]
- Yu, F.; Shen, H.; Yu, Q.; Kong, X.; Sharma, P.K.; Cai, S. Privacy Protection of Medical Data Based on Multi-Scroll Memristive Hopfield Neural Network. IEEE Trans. Netw. Sci. Eng. 2023, 10, 845–858. [Google Scholar] [CrossRef]
- Xu, S.; Wang, X.; Ye, X. A New Fractional-Order Chaos System of Hopfield Neural Network and Its Application in Image Encryption. Chaos Solitons Fractals 2022, 157, 111889. [Google Scholar] [CrossRef]
- Demirkol, A.S.; Sahin, M.E.; Karakaya, B.; Ulutas, H.; Ascoli, A.; Tetzlaff, R. Real Time Hybrid Medical Image Encryption Algorithm Combining Memristor-Based Chaos with DNA Coding. Chaos Solitons Fractals 2024, 183, 114923. [Google Scholar] [CrossRef]
- Lin, H.; Wang, C.; Cui, L.; Sun, Y.; Xu, C.; Yu, F. Brain-Like Initial-Boosted Hyperchaos and Application in Biomedical Image Encryption. IEEE Trans. Ind. Inform. 2022, 18, 8839–8850. [Google Scholar] [CrossRef]
















| Equilibrium Point | Eigenvalue | Stability |
|---|---|---|
| (−0.0391467, 0.0584905, −1.1732) | 1.0974 | instability |
| 0.9462 + 0.0381i | ||
| 0.9462 − 0.0381i | ||
| (0,0,0) | 1.1448 | instability |
| 0.9594 | ||
| 0.9008 | ||
| (0.0141053, −0.0210715, 0.4231) | 1.1012 | instability |
| 0.9444 + 0.0434i | ||
| 0.9444 − 0.0434i |
| Image | NPCR | UACI | Result |
|---|---|---|---|
| neck lymph node (1024 × 1024) | 99.6146% | 33.5104% | pass |
| breast abscess | 99.6067% | 33.4941% | pass |
| premature thelarche (1) | 99.6181% | 33.5017% | pass |
| premature thelarche | 99.6221% | 33.4944% | pass |
| sesamoid ossicles (512 × 512) | 99.6029% | 33.4897% | pass |
| ovarian dermoid | 99.6010% | 33.5327% | pass |
| scimitar syndrome | 99.5983% | 33.4668% | pass |
| pulmonary embolism | 99.6082% | 33.4929% | pass |
| pulmonary embolism (1) | 99.6109% | 33.4968% | pass |
| Image | Plain Image | Cipher Image | Result |
|---|---|---|---|
| neck lymph node (1024 × 1024) | 2048.74 | 5460.32 | pass |
| breast abscess | 2913.11 | 5459.65 | pass |
| premature thelarche (1) | 421.80 | 5458.64 | pass |
| premature thelarche | 396.77 | 5457.53 | pass |
| sesamoid ossicles (512 × 512) | 4757.01 | 5466.29 | pass |
| ovarian dermoid | 3599.99 | 5473.75 | pass |
| scimitar syndrome | 6239.67 | 5445.86 | pass |
| pulmonary embolism | 5544.66 | 5471.59 | pass |
| pulmonary embolism (1) | 4440.96 | 5465.30 | pass |
| Image | Pearson’s Correlation Coefficient | Distance Correlation Coefficient | ||||
|---|---|---|---|---|---|---|
| Horizontal | Vertical | Diagonal | Horizontal | Vertical | Diagonal | |
| neck lymph node (1024 × 1024) | −0.0001 | 0.0023 | −0.0033 | 0.0077 | 0.0088 | 0.0089 |
| breast abscess | −0.0016 | −0.0022 | 0.0018 | 0.0080 | 0.0073 | 0.0063 |
| premature thelarche (1) | −0.0043 | −0.0008 | 0.0027 | 0.0098 | 0.0074 | 0.0073 |
| premature thelarche | −0.0034 | 0.0001 | 0.0038 | 0.0090 | 0.0079 | 0.0088 |
| sesamoid ossicles (512 × 512) | −0.0005 | −0.0019 | 0.0000 | 0.0097 | 0.0082 | 0.0073 |
| ovarian dermoid | 0.0034 | 0.0006 | −0.0022 | 0.0082 | 0.0088 | 0.0062 |
| scimitar syndrome | −0.0025 | 0.0042 | −0.0045 | 0.0093 | 0.0094 | 0.0088 |
| pulmonary embolism | 0.0031 | -0.0047 | −0.0018 | 0.0096 | 0.0089 | 0.0081 |
| pulmonary embolism (1) | 0.0053 | 0.0062 | −0.0055 | 0.0100 | 0.0099 | 0.0092 |
| Image | Plain Image | Cipher Image |
|---|---|---|
| neck lymph node (1024 × 1024) | 6.8576 | 7.9998 |
| breast abscess | 4.5067 | 7.9998 |
| premature thelarche (1) | 1.8650 | 7.9998 |
| premature thelarche | 1.8166 | 7.9998 |
| sesamoid ossicles (512 × 512) | 7.8075 | 7.9994 |
| ovarian dermoid | 7.7382 | 7.9994 |
| scimitar syndrome | 4.1134 | 7.9994 |
| pulmonary embolism | 6.5048 | 7.9993 |
| pulmonary embolism (1) | 5.9748 | 7.9993 |
Disclaimer/Publisher’s Note: The statements, opinions and data contained in all publications are solely those of the individual author(s) and contributor(s) and not of MDPI and/or the editor(s). MDPI and/or the editor(s) disclaim responsibility for any injury to people or property resulting from any ideas, methods, instructions or products referred to in the content. |
© 2025 by the authors. Licensee MDPI, Basel, Switzerland. This article is an open access article distributed under the terms and conditions of the Creative Commons Attribution (CC BY) license (https://creativecommons.org/licenses/by/4.0/).
Share and Cite
Sun, H.; Liu, L.; Jin, J.; Lin, H. A Fractional-Order Memristive Hopfield Neural Network and Its Application in Medical Image Encryption. Mathematics 2025, 13, 2571. https://doi.org/10.3390/math13162571
Sun H, Liu L, Jin J, Lin H. A Fractional-Order Memristive Hopfield Neural Network and Its Application in Medical Image Encryption. Mathematics. 2025; 13(16):2571. https://doi.org/10.3390/math13162571
Chicago/Turabian StyleSun, Hua, Lin Liu, Jie Jin, and Hairong Lin. 2025. "A Fractional-Order Memristive Hopfield Neural Network and Its Application in Medical Image Encryption" Mathematics 13, no. 16: 2571. https://doi.org/10.3390/math13162571
APA StyleSun, H., Liu, L., Jin, J., & Lin, H. (2025). A Fractional-Order Memristive Hopfield Neural Network and Its Application in Medical Image Encryption. Mathematics, 13(16), 2571. https://doi.org/10.3390/math13162571

