Freight Rate Decisions in Shipping Logistics Service Supply Chains Considering Blockchain Adoption Risk Preferences
Abstract
1. Introduction
1.1. Background and Motivation
1.2. Research Questions and Contributions
- Q1:
- How do heterogeneous risk preferences affect freight rate decision-making in competitive logistics settings?
- Q2:
- What is the role of blockchain-induced transparency in shaping pricing strategies?
- Q3:
- How do shipping companies and freight forwarders respond strategically under different adoption scenarios (no adoption (NN), partial adoption (BN), and full adoption (BB))?
2. Literature Review
3. Model Hypothesis and Solution
3.1. Model Hypothesis
- (1)
- In the shipping market, freight rates are generally positively correlated with transport demand and negatively correlated with the supply of shipping capacity [57]. Numerous scholars have pointed out that under a functioning market economy, greater seller credibility and effective utilization of supply chain information can enable sellers within the supply chain to command higher prices [58]. As commonly done in the literature of market demand, we have employed the classic market demand function, which is linearly influenced by three factors: it decreases with price increases and rises with greater credibility and information utilization.
- (2)
- With the growth of international trade, shipping logistics has rapidly expanded, handling 90% of global transportation and becoming the backbone of trade [59]. Since 2008, the shipping market has generally been in a state of oversupply [60,61]. Thus, we assume sufficient cargo supply to meet carrier operational needs.
- (3)
- In the traditional shipping logistics service supply chain, the information asymmetry between the two chains leads to freight forwarder and shipping company not knowing each other’s actual strategies and the low information exchange efficiency of each supply chain link. After joining the blockchain alliance, the nodes between the supply chains record information in the blockchain to ensure the authenticity and validity of the information and improve the efficiency of information interaction [62,63].
3.2. Model Solution
4. Equilibrium Price Analysis
4.1. Shipper Preference Analysis
4.2. Risk Attitude Analysis
5. Impact of the Application of BCT
5.1. Impact on Freight Rate Decision-Making
5.2. Impact on Profit
6. Data Analysis
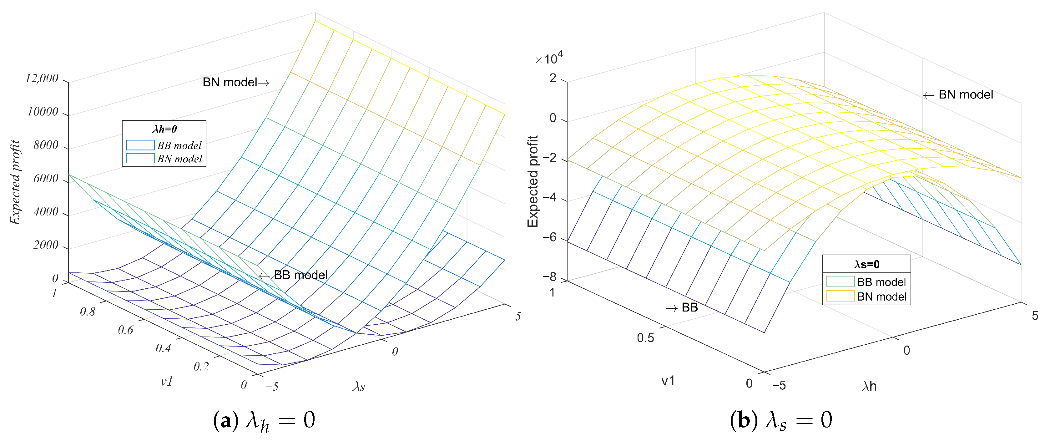
6.1. Equilibrium Price and Expected Profit Analysis
6.2. Impact of Shipper’S Willingness to Use BCT on Expected Profit
6.3. The Impact of Blockchain Adaptation on Expected Profit
7. Conclusions
Author Contributions
Funding
Institutional Review Board Statement
Informed Consent Statement
Data Availability Statement
Conflicts of Interest
Appendix A
References
- Lu, B.; Xu, X. Digital transformation and port operations: Optimal investment under incomplete information. Transp. Policy 2024, 151, 134–146. [Google Scholar] [CrossRef]
- Zhang, Z.; Song, C.; Zhang, J.; Chen, Z.; Liu, M.; Aziz, F.; Kurniawan, T.A.; Yap, P.-S. Digitalization and innovation in green ports: Areview of current issues, contributions and the way forward in promoting sustainable ports and maritime logistics. Sci. Total. Environ. 2024, 912, 169075. [Google Scholar] [CrossRef] [PubMed]
- Xu, H.; Liu, J.; Qi, S. Incentive policy for rail-water multimodal transport: Subsidizing price or constructing dry port? Transp. Policy 2024, 150, 219–243. [Google Scholar] [CrossRef]
- Liu, M.; Xin, X.; Wang, X.; Zhang, T.; Chen, K. Dual-channel slot sales strategy for container liner shipping companies with blockchain technology adoption. Transp. Policy 2025, 162, 200–220. [Google Scholar] [CrossRef]
- Cao, Y.; Shen, B. Adopting blockchain technology to block less sustainable products’ entry in global trade. Transp. Res. Part E Logist. Transp. Rev. 2022, 161, 102695. [Google Scholar] [CrossRef]
- Schmidt, C.G.; Wagner, S.M. Blockchain and supply chain relations: A transaction cost theory perspective. J. Purch. Supply Manag. 2019, 25, 100552. [Google Scholar] [CrossRef]
- Kim, H.; Xiao, Z.; Zhang, X.; Fu, X.; Qin, Z. Rethinking Blockchain Technologies for the Maritime Industry: An Overview of the Current Landscape. Future Internet 2024, 16, 454. [Google Scholar] [CrossRef]
- Saeed, N. Cooperation among freight forwarders: Mode choice and intermodal freight transport. Res. Transp. Econ. 2013, 42, 77–86. [Google Scholar] [CrossRef]
- Zhang, L.; Liu, C.; Zhang, C.; Wang, S. Upstream encroachment and downstream outsourcing in competing shipping supply chains. Int. J. Prod. Econ. 2023, 255, 108655. [Google Scholar] [CrossRef]
- Dutta, P.; Choi, T.M.; Somani, S.; Butala, R. Blockchain technology in supply chain operations: Applications, challenges and research opportunities. Transp. Res. Part Logist. Transp. Rev. 2020, 142, 102067. [Google Scholar] [CrossRef] [PubMed]
- Chang, J.A.; Katehakis, M.N.; Shi, J.J.; Yan, Z. Blockchain-empowered Newsvendor optimization. Int. J. Prod. Econ. 2021, 238, 108144. [Google Scholar] [CrossRef]
- Iyer, L.S. AI enabled applications towards intelligent transportation. Transp. Eng. 2021, 5, 100083. [Google Scholar] [CrossRef]
- Zhao, H.; Liu, J.; Hu, X. Servitization with blockchain in the maritime supply chain. Ocean. Coast. Manag. 2022, 225, 106195. [Google Scholar] [CrossRef]
- Zheng, S.; Jiang, C. Consortium blockchain in shipping: Impacts on industry and social welfare. Transp. Res. Part A Policy Pract. 2024, 183, 104071. [Google Scholar] [CrossRef]
- Balci, G.; Surucu Balci, E. Blockchain adoption in the maritime supply chain: Examining barriers and salient stakeholders in containerized international trade. Transp. Res. Part E Logist. Transp. Rev. 2021, 156, 102539. [Google Scholar] [CrossRef]
- Nguyen, S.; Chen, P.S.L.; Du, Y. Blockchain adoption in container shipping: An empirical study on barriers, approaches, and recommendations. Mar. Policy 2023, 155, 105724. [Google Scholar] [CrossRef]
- Kersten, W.; Seiter, M.; von See, B.; Hackius, N.; Maurer, T. Trendsand Strategies in Logistics and Supply Chain Management-Digital. Transformation Opportunities; BVL: Bremen, Germany, 2017. [Google Scholar]
- Hackius, N.; Petersen, M. Blockchain in logistics and supply chain: Trickortreat? In Proceedings of the Hamburg International Conference of Logistics (HICL), Hamburg, Germany, 12–13 October 2017. [CrossRef]
- Alanazi, F. The future of transportation: Blockchain-powered solutions. Transp. J. 2024, 64, e12032. [Google Scholar] [CrossRef]
- Rahman, M.H.; Menezes, B.C.; Baldacci, R. Exploring the role of blockchain technology, warehouse automation, smart routing, and cloud computing in logistics performance. Prod. Manuf. Res. 2024, 12, 2393614. [Google Scholar] [CrossRef]
- Idrissi, Z.K.; Lachgar, M.; Hrimech, H. Blockchain, IoT and AI in logistics and transportation: A systematic review. Transp. Econ. Manag. 2024, 2, 275–285. [Google Scholar] [CrossRef]
- Xu, L.; Wei, Y.Q.; Chen, J.H.; Luo, Y.Q. Carrier channel encroachment and forwarder order sequence: An equilibrium analysis of shipping service supply chain. Int. J. Shipp. Transp. Logist. 2013, 42, 77–86. [Google Scholar] [CrossRef]
- Xu, L.; Luo, Y.; Chen, J.; Zhou, S. Capacity prioritization allocation and credit financing option in shipping freight forwarding market. Comput. Ind. Eng. 2024, 189, 109987. [Google Scholar] [CrossRef]
- Boyaci, T.; Gallego, G. Supply chain coordination in a market with customer service competition. Prod. Oper. Manag. 2004, 13, 3–22. [Google Scholar] [CrossRef]
- Zhou, W.H.; Lee, C.Y. Pricing and competition in a transportation market with empty equipment repositioning. Transp. Res. Part B Methodol. 2009, 43, 677–691. [Google Scholar] [CrossRef]
- Yin, M.; Kim, K.H. Quantity discount pricing for container transportation services by shipping lines. Comput. Ind. Eng. 2012, 63, 313–322. [Google Scholar] [CrossRef]
- Xu, L.; Govindan, K.; Bu, X.; Yin, Y. Pricing and balancing of the sea–cargo service chain with empty equipment repositioning. Comput. Oper. Res. 2015, 54, 286–294. [Google Scholar] [CrossRef]
- Chen, R.; Dong, J.X.; Lee, C.Y. Pricing and competition in a shipping market with waste shipments and empty container repositioning. Transp. Res. Part B Methodol. 2016, 85, 32–55. [Google Scholar] [CrossRef]
- Tapiero, C.S. Value at risk and inventory control. Eur. J. Oper. Res. 2005, 163, 769–775. [Google Scholar] [CrossRef]
- Wu, J.; Yue, W.; Yamamoto, Y.; Wang, S. Risk analysis of a pay to delay capacity reservation contract. Optim. Methods Softw. 2006, 21, 635–656. [Google Scholar] [CrossRef]
- Choi, T.; Chung, S.; Zhuo, X. Pricing with risk sensitive competing container shipping lines: Will risk seeking do more good than harm? Transp. Res. Part B Methodol. 2020, 133, 210–229. [Google Scholar] [CrossRef]
- Zheng, W.; Li, B.; Song, D.P. Effects of risk-aversion on competing shipping lines’ pricing strategies with uncertain demands. Transp. Res. Part B Methodol. 2017, 104, 337–356. [Google Scholar] [CrossRef]
- Chiu, C.H.; Choi, T.M. Supply chain risk analysis with mean-variance models: A technical review. Ann. Oper. Res. 2013, 240, 489–507. [Google Scholar] [CrossRef]
- Bai, X.; Lam, J.S.L. Pricing and Freight rate co-movement and risk spillovers in the product tanker shipping market: A copula analysis. Transp. Res. Part E Logist. Transp. Rev. 2021, 149, 102315. [Google Scholar] [CrossRef]
- Li, G.; Ren, Y.; Jiang, C.; Wang, W.; Guo, Y. Coordinated evolution game of marine supply chain from the perspective of sustainable development based on system dynamics. Ocean. Coast. Manag. 2024, 254, 107195. [Google Scholar] [CrossRef]
- Zhou, K.; Xing, W.; Wang, J.; Li, H.; Yang, Z. A data-driven risk model for maritime casualty analysis: A global perspective. Reliab. Eng. Syst. Saf. 2024, 244, 109925. [Google Scholar] [CrossRef]
- Deng, W.; Ma, X.; Qiao, W. Resilience-oriented safety barrier performance assessment in maritime operational risk management. Transp. Res. Part D Transp. Environ. 2025, 139, 104581. [Google Scholar] [CrossRef]
- Kandel, R.; Baroud, H. A data-driven risk assessment of Arctic maritime incidents: Using machine learning to predict incident types and identify risk factors. Reliab. Eng. Syst. Saf. 2024, 243, 109779. [Google Scholar] [CrossRef]
- Sui, C.; Wang, S.; Zheng, W. Sentiment as a shipping market predictor: Testing market-specific language models. Transp. Res. Part E-Logist. Transp. Rev. 2024, 189, 103651. [Google Scholar] [CrossRef]
- Wang, J.; Liu, J.; Wang, F.; Yue, X. Blockchain technology for port logistics capability: Exclusive or sharing. Transp. Res. Part B Methodol. 2021, 21, 635–656. [Google Scholar] [CrossRef]
- Yang, C.S. Maritime shipping digitalization: Blockchain-based technology applications, future improvements, and intention to use. Transp. Res. Part E Logist. Transp. Rev. 2019, 131, 108–117. [Google Scholar] [CrossRef]
- Fan, H.B.; Zhang, J. Research on the application of block chain technology in asset backed securitization. J. Intell. Fuzzy Syst. 2018, 35, 2847–2854. [Google Scholar] [CrossRef]
- Liu, L.; Li, F.T.; Qi, E.S. Research on Risk Avoidance and Coordination of Supply Chain Subject Based on Blockchain technology. Sustainability 2019, 11, 2182. [Google Scholar] [CrossRef]
- Hirata, E. Contestability of Container Liner Shipping Market in Alliance Era. The Asian Journal of Shipping and Logistics. Transp. Res. Part E Logist. Transp. Rev. 2017, 33, 27–32. [Google Scholar]
- Kim, K.H.; Shim, J.H. Application and policy direction of blockchain in logistics and distribution industry. J. Int. Bus. Stud. 2018, 9, 77–85. [Google Scholar] [CrossRef]
- Jain, A.S.; Jain, A.; Chauhan, N.; Singh, V.; Thakur, N. Seguro digital storage of documents using blockchain. Int. J. Eng. Sci. 2018, 5, 4–951. [Google Scholar]
- Carlan, V.; Coppens, F.; Sys, C.; Vanelslander, T. Blockchain technology as key contributor to the integration of maritime supply chain? In Maritime Supply Chains; Elsevier: Amsterdam, The Netherlands, 2020; pp. 229–259. [Google Scholar]
- Zhong, H.; Zhang, F.; Gu, Y. A Stackelberg game based two-stage framework to make decisions of freight rate for container shipping lines in the emerging blockchain-based market. Transp. Res. Part E Logist. Transp. Rev. 2021, 149, 102303. [Google Scholar] [CrossRef]
- Zhao, H.D.; Ye, Z.N.; Liu, C.J. Reducing the bullwhip effect to enhance maritime service resilience: The power of blockchain technology for cutting down the market uncertainty in the maritime supply chain. Ocean. Coast. Manag. 2023, 244, 106824. [Google Scholar] [CrossRef]
- Wang, H.; Wang, C.; Li, M.; Xie, Y. Blockchain technology investment strategy for shipping companies under competition. Ocean. Coast. Manag. 2023, 243, 106696. [Google Scholar] [CrossRef]
- Li, H.; Gao, J.; Li, X. Blockchain adoption strategy of two-sided shipping platforms connecting forwarder and liner company. Ocean. Coast. Manag. 2024, 247, 106932. [Google Scholar] [CrossRef]
- Lee, H.; Boile, M.; Theofanis, S.; Choo, S. Modeling the Oligopolistic and Competitive Behavior of Carriers in Maritime Freight Transportation Networks. Procedia Soc. Behav. Sci. 2012, 54, 1080–11054. [Google Scholar] [CrossRef][Green Version]
- Zhuo, W.; Shao, L.; Yang, H. Mean–variance analysis of option contracts in a two-echelon supply chain. Eur. J. Oper. Res. 2018, 271, 535–547. [Google Scholar] [CrossRef]
- Sun, Z.M.; Shi, B.L.; Liu, J.R. Pricing, emission reduction and coordination for maritime supply chain with risk-averse members in the blockchain era. Environ. Dev. Sustain. 2025. [Google Scholar] [CrossRef]
- Chen, Y.; Yang, B. Analysis on the evolution of shipping logistics service supply chain market structure under the application of Blockchain Tech-nology. Adv. Eng. Inform. 2022, 53, 101714. [Google Scholar] [CrossRef]
- Yujing, C.; Bin, Y. Cooperative Decision Making of Supply Chain Members of Shipping Logistics Services Under the Background of Blockchain. Asia-Pac. J. Oper. Res. 2021, 39, 2140018. [Google Scholar]
- Fransoo, J.C.; Lee, C.Y. The critical role of ocean container transport in global supply chain performance. Prod. Oper. Manag. 2023, 22, 253–268. [Google Scholar] [CrossRef]
- Radojicic, V.; Radonjic, V.; Markovic, G. A New Competitive Model Based on Trade-Of Between Credibility and Price. Econ. Comput. Econ. Cybern. Stud. Res. 2012, 46, 231–242. [Google Scholar]
- Leckie, C.; Dwivedi, A.; Johnson, L.W. Credibility and price premium-based competitiveness for industrial brands. J. Retail. Consum. Serv. 2023, 74, 103418. [Google Scholar] [CrossRef]
- Cui, K.; Chi, M.; Zhao, Y.; Liu, Z. Evolutionary Game-Based Regulatory Strategy Optimization for Information Transmission Prices in Integrated Energy Systems. Energies 2025, 18, 1452. [Google Scholar] [CrossRef]
- UNCTAD. Review of Maritime Transport 2023. Available online: https://unctad.org/publication/review-maritime-transport-2023 (accessed on 27 September 2023).
- Farah, M.B.; Ahmed, Y.; Mahmoud, H.; Shah, S.A.; Al-Kadri, M.O.; Taramonli, S.; Bellekens, X.; Abozariba, R.; Idrissi, M.; Aneiba, A. A survey on blockchain technology in the maritime industry: Challenges and future perspectives. Future Gener. Comput. Syst. 2024, 157, 618–637. [Google Scholar] [CrossRef]
- Xu, P.; Lee, J.; Barth, J.R. Rocert Glenn Richery. Blockchain as supply chain technology: Considering transparency and security. Int. J. Phys. Distrib. Logist. Manag. 2021, 51, 305–324. [Google Scholar] [CrossRef]
- Yang, C.C.; Chen, L.; Xia, Q. Freight insurance pricing strategy based on an online freight platform. Ind. Manag. Data Syst. 2023, 123, 2929–2945. [Google Scholar] [CrossRef]









| Notations & Parameters | Meaning |
|---|---|
| Suppose the shipper’s maximum willingness to pay, denoted by a stochastic variable, is represented by a coefficient. | |
| a | Consumer preference, specifically the shipper’s inclination in selecting the shipping company. represents the basic market share of the shipping company. |
| b | Price sensitivity of competitor |
| Freight rates of shipping companies under the NN (BN/BB) model | |
| Freight rates of freight forwarding under the NN (BN/BB) model | |
| k | Market sensitivity coefficient concerning the shipper’s tendency to choose a shipping logistics service supply chain integrating blockchain technology |
| Influence coefficient of supply chain opacity on shipper’s utility | |
| Transparency of shipping logistics service supply chain | |
| e | Shipping companies and freight forwarders exhibit a willingness to incur costs and undertake risks to facilitate information sharing. A random variable that obeys |
| Cost paid by shipping companies and freight forwarding companies for information interaction | |
| The shipper’s sensitivity to the service provider’s adoption of blockchain technology | |
| Adaptability of service providers during distinct application periods of blockchain technology to blockchain-based technologies | |
| Unit cost of shipping companies to improve the adaptability to the blockchain | |
| Refers to the degree of adaptation of the cost increase of each unit invested by the shipping company. is used to improve the adaptability of shipping company in the middle stage of blockchain development | |
| Unit cost of the freight forwarder to improve the adaptability to blockchain | |
| Refers to the degree of adaptation of the cost increase of each unit invested by the freight forwarder. is used to improve the adaptability of freight forwarding in the middle stage of blockchain development | |
| Cost invested by the shipping company for BCT | |
| Operation cost of freight forwarding using BCT |
| Model | Dominant Stakeholder | |||
|---|---|---|---|---|
| NN | 120 | 115 | Freight Forwarder | |
| NN | 110 | 105 | Freight Forwarder | |
| BB () | 135 | 130 | shipping company | |
| BN () | 140 | 100 | shipping company |
Disclaimer/Publisher’s Note: The statements, opinions and data contained in all publications are solely those of the individual author(s) and contributor(s) and not of MDPI and/or the editor(s). MDPI and/or the editor(s) disclaim responsibility for any injury to people or property resulting from any ideas, methods, instructions or products referred to in the content. |
© 2025 by the authors. Licensee MDPI, Basel, Switzerland. This article is an open access article distributed under the terms and conditions of the Creative Commons Attribution (CC BY) license (https://creativecommons.org/licenses/by/4.0/).
Share and Cite
Chen, Y.; Mo, J.; Yang, B. Freight Rate Decisions in Shipping Logistics Service Supply Chains Considering Blockchain Adoption Risk Preferences. Mathematics 2025, 13, 2339. https://doi.org/10.3390/math13152339
Chen Y, Mo J, Yang B. Freight Rate Decisions in Shipping Logistics Service Supply Chains Considering Blockchain Adoption Risk Preferences. Mathematics. 2025; 13(15):2339. https://doi.org/10.3390/math13152339
Chicago/Turabian StyleChen, Yujing, Jiao Mo, and Bin Yang. 2025. "Freight Rate Decisions in Shipping Logistics Service Supply Chains Considering Blockchain Adoption Risk Preferences" Mathematics 13, no. 15: 2339. https://doi.org/10.3390/math13152339
APA StyleChen, Y., Mo, J., & Yang, B. (2025). Freight Rate Decisions in Shipping Logistics Service Supply Chains Considering Blockchain Adoption Risk Preferences. Mathematics, 13(15), 2339. https://doi.org/10.3390/math13152339
