Dynamic Condensation-Based Reduction Method for Precise Broadband Frequency Analysis
Abstract
1. Introduction
2. Mathematical Formulation
2.1. Formulation of Dynamic Analysis for Harmonic Response
2.2. Review of Existing Condensation Method
2.3. Formulation of Proposed Method
2.3.1. Basic Framework of Proposed Method
2.3.2. Interpolation of Transformation Matrix
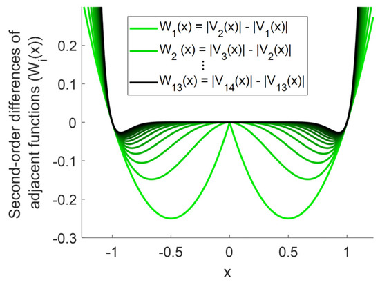
2.3.3. Proof of Convergence Range with Proposed Reduction
2.3.4. Implementation of Proposed Reduction
3. Numerical Example
3.1. Example 1: I-Beam Structure Model
3.2. Example 2: Wingbox Structure Model
3.3. Example 3: Stage Structure Model
4. Conclusions
Author Contributions
Funding
Data Availability Statement
Conflicts of Interest
References
- Hua, X.; Thomas, A.; Shultis, K. Recent progress in battery electric vehicle noise, vibration, and harshness. Sci. Prog. 2021, 104, 00368504211005224. [Google Scholar] [CrossRef]
- Karunakaran, V.; Kandadai Nagaratnam, S. Electromagnetic, vibration and thermal analysis of 1.1 kw switched reluctance motor for electric vehicle application. J. Electr. Eng. Technol. 2023, 18, 1809–1820. [Google Scholar] [CrossRef]
- Hazra, S.; Reddy, K.J. Development of powertrain mounting system for high frequency characteristics optimisation in electric vehicles. Int. J. Electr. Hybrid Veh. 2023, 15, 234–255. [Google Scholar] [CrossRef]
- Zhao, M.; Wang, X.; Liu, L.; Tu, X.; Yang, Q. Optimization of PMSM for EV based on vibration and noise suppression. Appl. Comput. Electromagn. Soc. J. 2024, 39, 64–80. [Google Scholar] [CrossRef]
- Przemieniecki, J.S. Matrix Structural Analysis of Substructures. AIAA J. 1963, 1, 138–147. [Google Scholar] [CrossRef]
- Hurty, W.C. Dynamic analysis of structural systems using component modes. AIAA J. 1965, 3, 678–685. [Google Scholar] [CrossRef]
- Craig, R.; Bampton, M.C. Coupling of substructures for dynamic analysis. AIAA J. 1968, 6, 1313–1319. [Google Scholar] [CrossRef]
- Lucia, D.J.; Beran, P.S.; Silva, W.A. Reduced-order modeling: New approaches for computational physics. Prog. Aerosp. 2004, 40, 51–117. [Google Scholar] [CrossRef]
- Sung, H.; Chang, S.; Cho, M. Structural system identification via a reduced system and sensor-location selection method. AIAA J. 2019, 57, 2109–2122. [Google Scholar] [CrossRef]
- Kim, J.G.; Seo, J.; Lim, J.H. Novel modal methods for transient analysis with a reduced order model based on enhanced Craig–Bampton formulation. Appl. Math. Comput. 2019, 344, 30–45. [Google Scholar] [CrossRef]
- Ahn, J.G.; Yang, H.I.; Kim, J.G. Multipoint constraints with Lagrange multiplier for system dynamics and its reduced-order modeling. AIAA J. 2020, 58, 385–401. [Google Scholar] [CrossRef]
- Oh, S.; Ahn, C.U.; Ahn, K.; Kim, J.G. Implicit inverse force identification method for vibroacoustic finite element model. J. Sound Vib. 2023, 556, 117713. [Google Scholar] [CrossRef]
- Guyan, R.J. Reduction of stiffness and mass matrices. AIAA J. 1965, 3, 380. [Google Scholar] [CrossRef]
- O’Callaghan, J. A procedure for an improved reduced system (IRS) Model. In Proceedings of the 7th International Modal Analysis Conference, Las Vegas, NV, USA, 30 January–2 February 1989; pp. 17–21. [Google Scholar]
- Friswell, M.I.; Garvey, S.D.; Penny, J.E.T. Model reduction using dynamic and iterated IRS techniques. J. Sound Vib. 1995, 186, 311–323. [Google Scholar] [CrossRef]
- Xia, Y.; Lin, R.N. Improvement on the iterated IRS method for structural eigensolutions. J. Sound Vib. 2004, 270, 713–727. [Google Scholar] [CrossRef]
- Weng, S.; Tian, W.; Zhu, H.; Xia, Y.; Gao, F.; Zhang, Y.; Li, J. Dynamic condensation approach to calculation of structural responses and response sensitivities. Mech. Syst. Signal Process. 2017, 88, 302–317. [Google Scholar] [CrossRef]
- Jeong, J.; Baek, S.; Cho, M. Dynamic condensation in a damped system through rational selection of primary degrees of freedom. J. Sound Vib. 2012, 331, 1655–1668. [Google Scholar] [CrossRef]
- Chang, S.; Cho, M. Dynamic-condensation-based reanalysis by using the Sherman–Morrison–Woodbury formula. AIAA J. 2021, 59, 905–911. [Google Scholar] [CrossRef]
- Yang, C.; Xia, Y. Optimal sensor placement based on dynamic condensation using multi-objective optimization algorithm. Struct. Multidiscip. Optim. 2022, 65, 210. [Google Scholar] [CrossRef]
- Lee, J.; Park, Y.; Lee, Y.; Chang, S. An adaptive frequency sampling algorithm for dynamic condensation-based frequency response analysis. Mathematics 2023, 11, 2683. [Google Scholar] [CrossRef]
- Newmark, N.M. A method of computation for structural dynamics. J. Eng. Mech. Div. 1959, 85, 67–94. [Google Scholar] [CrossRef]



























| 1.2 | 1 | 0.8 | 0.5 | 0.8 | 1 | 1.2 | 1.7 | |
| 1.44 | 1 | 0.64 | 0.25 | 0.64 | 1 | 1.44 | 2.89 | |
| 1.728 | 1 | 0.512 | 0.125 | 0.512 | 1 | 1.728 | 4.91 | |
| 10.699 | 1 | 0.055 | 0.055 | 1 | 10.699 | 990.46 | ||
| 12.839 | 1 | 0.044 | 0.044 | 1 | 12.839 |
Disclaimer/Publisher’s Note: The statements, opinions and data contained in all publications are solely those of the individual author(s) and contributor(s) and not of MDPI and/or the editor(s). MDPI and/or the editor(s) disclaim responsibility for any injury to people or property resulting from any ideas, methods, instructions or products referred to in the content. |
© 2024 by the authors. Licensee MDPI, Basel, Switzerland. This article is an open access article distributed under the terms and conditions of the Creative Commons Attribution (CC BY) license (https://creativecommons.org/licenses/by/4.0/).
Share and Cite
Choi, G.; Lee, J.; Chang, S. Dynamic Condensation-Based Reduction Method for Precise Broadband Frequency Analysis. Mathematics 2025, 13, 81. https://doi.org/10.3390/math13010081
Choi G, Lee J, Chang S. Dynamic Condensation-Based Reduction Method for Precise Broadband Frequency Analysis. Mathematics. 2025; 13(1):81. https://doi.org/10.3390/math13010081
Chicago/Turabian StyleChoi, Geomji, Juhwan Lee, and Seongmin Chang. 2025. "Dynamic Condensation-Based Reduction Method for Precise Broadband Frequency Analysis" Mathematics 13, no. 1: 81. https://doi.org/10.3390/math13010081
APA StyleChoi, G., Lee, J., & Chang, S. (2025). Dynamic Condensation-Based Reduction Method for Precise Broadband Frequency Analysis. Mathematics, 13(1), 81. https://doi.org/10.3390/math13010081

