An Analytical Solution for the Steady Seepage of Localized Line Leakage in Tunnels
Abstract
1. Introduction
2. Problem Statement
- At the infinite distance from the tunnel center, an impermeable boundary is assumed, indicating that the portion of the tunnel lining outside the water leakage location is impermeable;
- The leakage location is regarded as the zero pore pressure boundary. Because the water leakage fissure is usually small, it is reasonable to utilize the hydraulic head of the leakage location as the elevation head at the leakage center, i.e., h2 = −h + rsinθ.
3. Analytical Solution
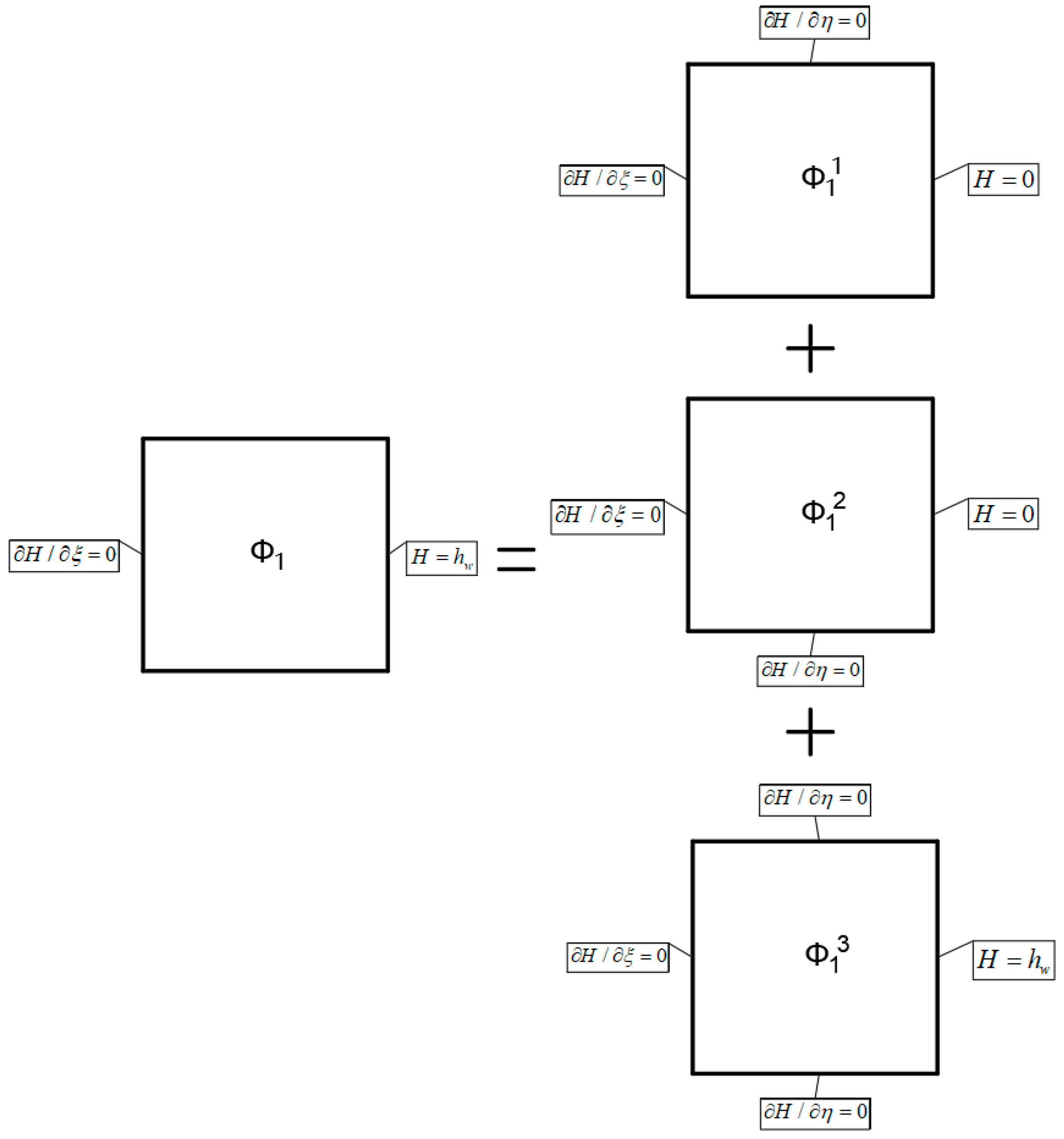
3.1. Conformal Mapping
- Region ①: the left boundary (ξ = u0) is impermeable, i.e., ; the right boundary is the surface water head hw;
- Region ②: the left boundary is assumed to be the elevation head at the leakage center h2; the right boundary is the surface water head hw;
- Region ③: the left boundary (ξ = u0) is impermeable, i.e., ; the right boundary is the surface water head hw.
3.2. Analytical Solutions for the Seepage Fields
3.3. Analytical Solution for the Seepage Volume at the Leakage Location
3.4. Analytical Solution for the Pore Water Pressure
4. Validation of the Proposed Analytical Solution
4.1. Seepage Volume
4.2. Total Hydraulic Head and Pore Water Pressure
5. Application of the Proposed Solution: Parametric Study
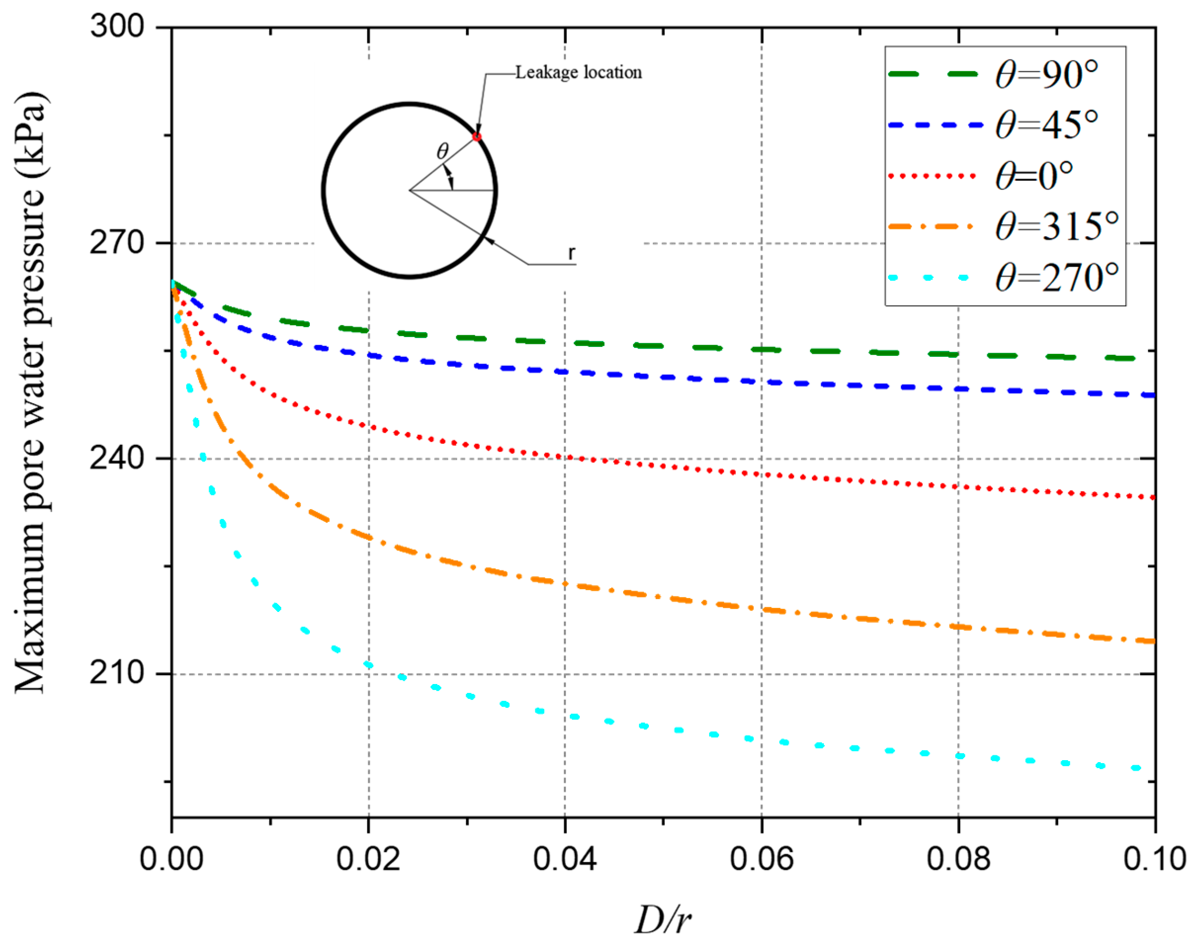
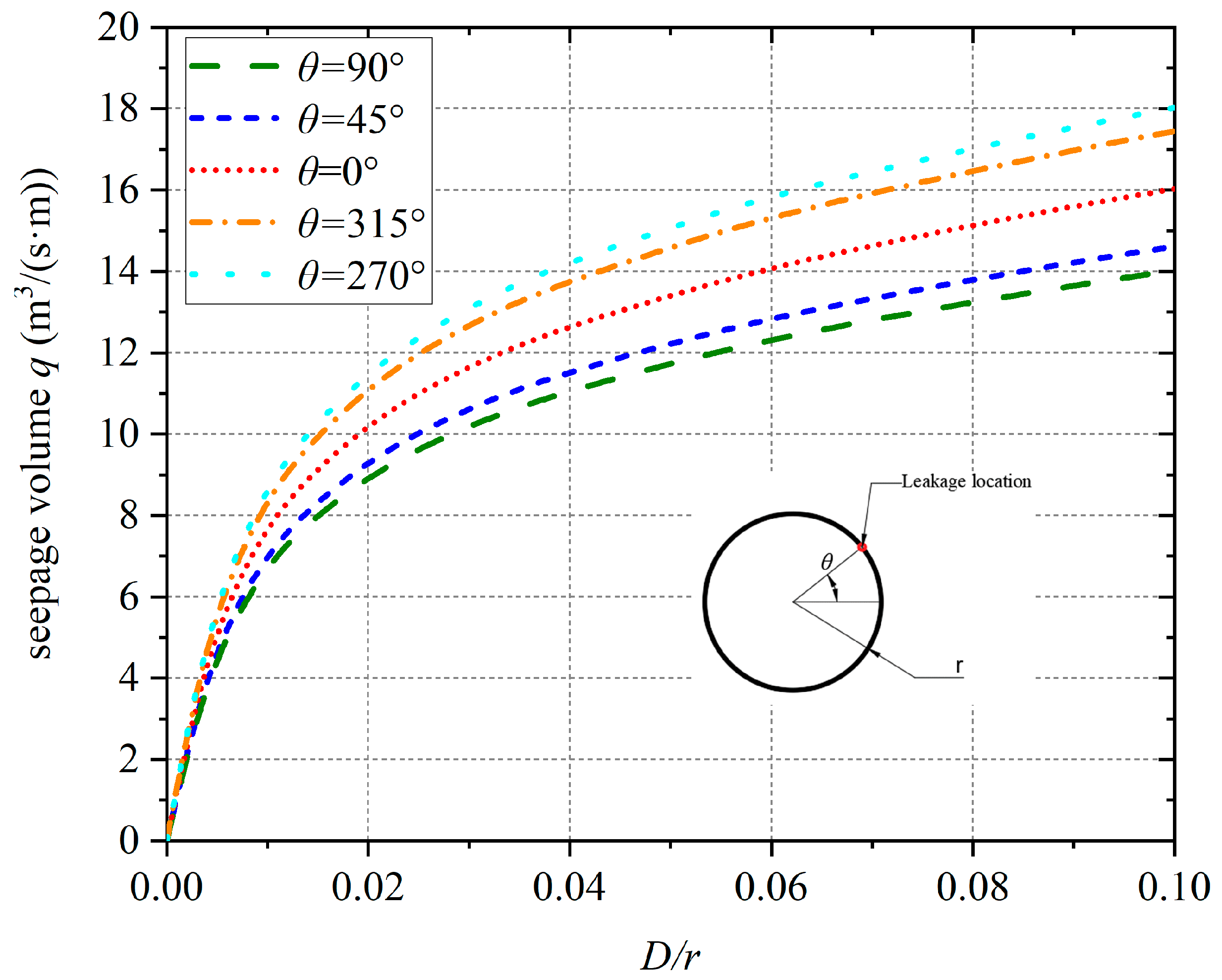
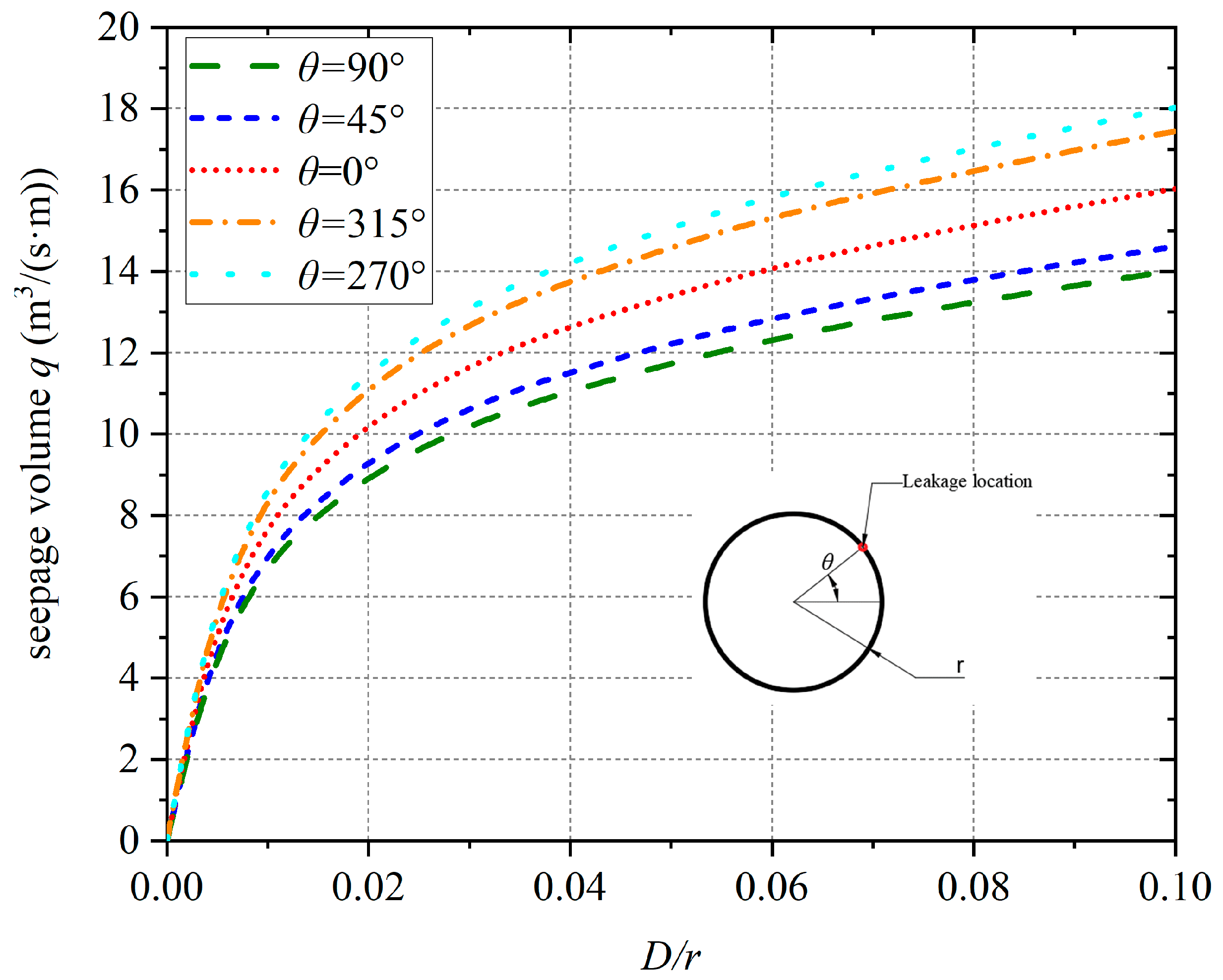
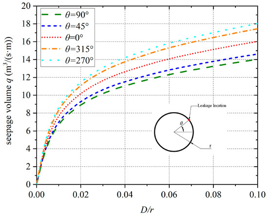
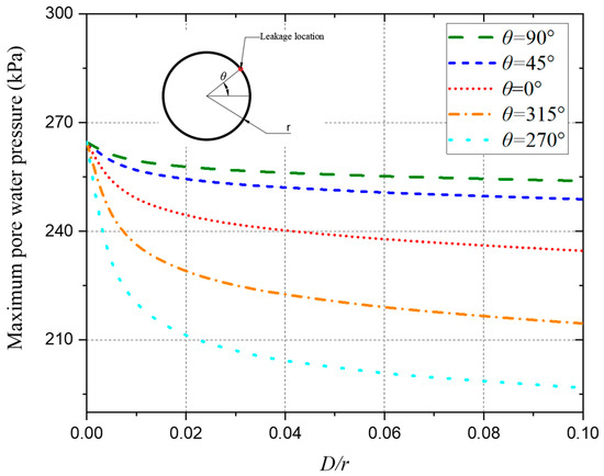
5.1. Leakage Location
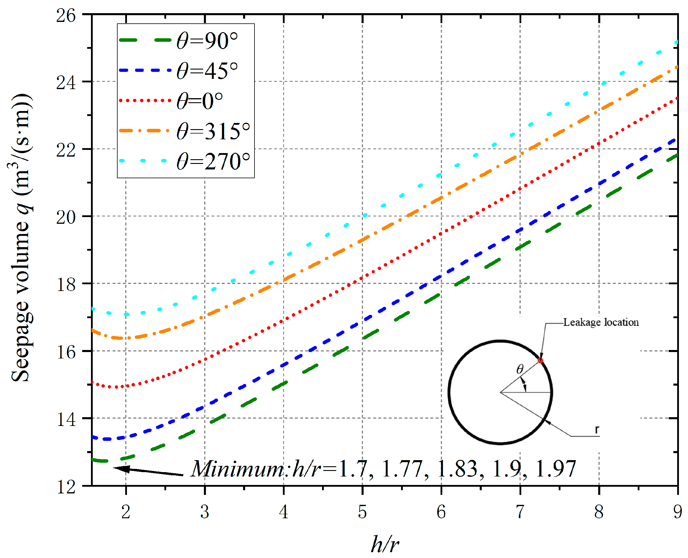
5.2. Tunnel Depth
5.3. Leakage Width
6. Concluding Remarks
- The hydraulic head and water pressure results calculated by the proposed solution agree with the simulation results of the numerical software, which thus validate the analytical solution. The results of the seepage volume calculation were compared with the existing numerical solutions and the experimental results. It was found that the solution proposed in this paper was almost the same as the existing numerical solution, with a maximum error of 2.5%. It also agrees well with the experimental solution. Regarding the simulation and experimental results, the proposed solution outperforms other existing solutions by far in terms of accuracy.
- Compared with the numerical simulation, the total calculation time of the analytical solution is computationally more efficient, as shown by the fact that it only needs less than 1 s to carry out one case. And this analytical solution does avoid the tedious model, grid, and simulation process in the numerical software. As the solution yields comparable accuracy to numerical software, it is a reliable alternative when the computational efficiency is sensitive; for example, in parametric analysis.
- A parametric analysis of the effects of leak location, tunnel burial depth, and leakage width on the pore pressure distribution, maximum pore pressure, and seepage flow volume is enabled by virtue of the analytical solution. The analysis results suggest the influence of some factors, explanations of the phenomenon observed, and advice on applying this solution. These could be utilized in practice to improve the prediction of local line leakage and mitigate its adverse effects.
Author Contributions
Funding
Data Availability Statement
Conflicts of Interest
Appendix A
- Determine the parameters of a specific tunnel and its leakage, including the tunnel radius r, tunnel depth h, location of leakage θ, dimensions of the leakage area D, and surface water head hw;
- Calculate the matrix of input parameters:
- 3.
- Calculate the matrix of known coefficients X:
- 4.
- Solve the linear equation system XP = Q to obtain the vector of unknown coefficients P, where
- 5.
- Calculate the total water head H1, H2, and H3 by substituting P into Equations (27)–(29);
- 6.
- Calculate the pore water pressure p1, p2, and p3 and seepage flow volume q by Equations (35) and (34), respectively.
References
- Zhou, Z.; Ding, H.H.; Miao, L.W.; Gong, C. Predictive model for the surface settlement caused by the excavation of twin tunnels. Tunn. Undergr. Space Technol. 2021, 114, 104014. [Google Scholar] [CrossRef]
- Lei, M.F.; Zhu, B.B.; Gong, C.J.; Ding, W.; Liu, L. Sealing performance of a precast tunnel gasketed joint under high hydrostatic pressures: Site investigation and detailed numerical modeling. Tunn. Undergr. Space Technol. 2021, 115, 104082. [Google Scholar] [CrossRef]
- Zhang, W.D.; Lei, L.; Zhou, P.P.; Li, D.W.; Mu, T.H. Analysis of Tunnel Leakage on Existing Railways and Treatment Technology. China Railw. 2022, 5, 125–129. [Google Scholar]
- Liu, Y.; Zhang, D.M.; Huang, H.W. Influence of long-term partial drainage of shield tunnel on tunnel deformation and surface settlement. Rock Soil Mech. 2013, 34, 290–298. [Google Scholar]
- Mair, R.J. Tunnelling and geotechnics: New horizons. Géotechnique 2008, 58, 695–736. [Google Scholar] [CrossRef]
- Wongsaroj, J.; Soga, K.; Mair, R.J. Modelling of long-term ground response to tunnelling under St James’s Park, London. In Stiff Sedimentary Clays: Genesis and Engineering Behaviour: Géotechnique Symposium in Print 2007; Thomas Telford Ltd.: London, UK, 2011; pp. 253–268. [Google Scholar]
- Yuan, Y.; Bai, Y.; Liu, J. Assessment service state of tunnel structure. Tunn. Undergr. Space Technol. 2012, 27, 72–85. [Google Scholar] [CrossRef]
- Arjnoi, P.; Jeong, J.H.; Kim, C.Y.; Park, K.H. Effect of drainage conditions on porewater pressure distributions and lining stresses in drained tunnels. Tunn. Undergr. Space Technol. 2009, 24, 376–389. [Google Scholar] [CrossRef]
- Yang, J.; Yin, Z.Y.; Laouafa, F.; Hicher, P.Y. Numerical analysis of internal erosion impact on underground structures: Application to tunnel leakage. Geomech. Energy Environ. 2022, 31, 100378. [Google Scholar] [CrossRef]
- Wu, H.M.; Shen, S.L.; Chen, R.P.; Zhou, A. Three-dimensional numerical modelling on localised leakage in segmental lining of shield tunnels. Comput. Geotech. 2020, 122, 103549. [Google Scholar] [CrossRef]
- Harr, M.E. Groundwater and Seepage; McGraw-Hill: New York, NY, USA, 1962. [Google Scholar]
- Lei, S. An analytical solution for steady flow into a Ttonnel. Groundwater 1999, 37, 23–26. [Google Scholar] [CrossRef]
- Kolymbas, D.; Wagner, P. Groundwater ingress to tunnels–the exact analytical solution. Tunn. Undergr. Space Technol. 2007, 22, 23–27. [Google Scholar] [CrossRef]
- Meng, W.; He, C.; Zhou, Z.H.; Yan, Q.; Yang, W.; Guo, D.; Chen, Z. Influence of constant total hydraulic head on pore pressure and water inflow of grouted tunnel calculated by complex variable method. Tunn. Undergr. Space Technol. 2023, 136, 105071. [Google Scholar] [CrossRef]
- Park, K.H.; Owatsiriwong, A.; Lee, J.G. Analytical solution for steady-state groundwater inflow into a drained circular tunnel in a semi-infinite aquifer: A revisit. Tunn. Undergr. Space Technol. 2008, 23, 206–209. [Google Scholar] [CrossRef]
- El Tani, M. Circular tunnel in a semi-infinite aquifer. Tunn. Undergr. Space Technol. 2003, 18, 49–55. [Google Scholar] [CrossRef]
- Huangfu, M.; Wang, M.S.; Tan, Z.S. Analytical solutions for steady seepage into an underwater circular tunnel. Tunn. Undergr. Space Technol. 2010, 25, 391–396. [Google Scholar] [CrossRef]
- Zhang, D.M.; Huang, Z.K.; Yin, Z.Y.; Ran, L.Z.; Huang, H.W. Predicting the grouting effect on leakage-induced tunnels and ground response in saturated soils. Tunn. Undergr. Space Technol. 2017, 65, 76–90. [Google Scholar] [CrossRef]
- Li, P.F.; Wang, F.; Long, Y.Y.; Zhao, X. Investigation of steady water inflow into a subsea grouted tunnel. Tunn. Undergr. Space Technol. 2018, 80, 92–102. [Google Scholar] [CrossRef]
- Li, L.; Chen, H.H.; Li, J.P. A semi-analytical solution to steady-state groundwater inflow into a circular tunnel considering anisotropic permeability. Tunn. Undergr. Space Technol. 2021, 116, 104115. [Google Scholar] [CrossRef]
- Li, Z.; He, C.; Chen, Z.; Yang, S.; Ding, J.; Pen, Y. Study of seepage field distribution and its influence on urban tunnels in water-rich regions. Bull. Eng. Geol. Environ. 2019, 78, 4035–4045. [Google Scholar] [CrossRef]
- Zhu, C.W.; Wu, W.; Ying, H.W.; Gong, X.N.; Guo, P.P. Drainage-induced ground response in a twin-tunnel system through analytical prediction over the seepage field. Undergr. Space 2022, 7, 408–418. [Google Scholar] [CrossRef]
- Guo, S.; Zhang, T.; Zhang, Y.; Zhu, D.Z. An approximate solution for two-dimensional groundwater infiltration in sewer systems. Water Sci. Technol. 2013, 67, 347–352. [Google Scholar] [CrossRef] [PubMed]
- Tang, Y.; Chan, D.H.; Zhu, D.Z.; Guo, S. An analytical solution for steady seepage into a defective pipe. Water Sci. Technol. Water Supply 2018, 18, 926–935. [Google Scholar] [CrossRef]
- Bear, J. Dynamics of Fluids in Porous Media; Elsevier Publishing Company: Amsterdam, The Netherlands, 1972. [Google Scholar]
- Verruijt, A. A complex variable solution for a deforming circular tunnel in an elastic half-plane. Int. J. Numer. Anal. Methods Geomech. 1997, 21, 77–89. [Google Scholar] [CrossRef]
- Gu, Q. Mathematical Methods for Physics; Science Press: Beijing, China, 2012. [Google Scholar]
- Kirkham, D.; Powers, W.L. Advanced Soil Physics; Wiley: New York, NY, USA, 1972. [Google Scholar]
- Li, D.K.; Yu, J.; Zheng, J.F.; Fan, Y. Analytical study of steady state seepage in a circular tunnel considering the outer boundary of the grouting ring as a non-constant head boundary. Tunn. Undergr. Space Technol. 2024, 144, 105510. [Google Scholar] [CrossRef]
- Xu, G.W.; Lu, D.Y. Mechanical behavior of shield tunnel considering nonlinearity of flexural rigidity and leakage of joints. Chin. J. Geotech. Eng. 2016, 38, 1202–1211. [Google Scholar]
















| hw (m) | h (m) | r (m) | θ (°) | D (m) | h2 (m) | k (m/s) |
|---|---|---|---|---|---|---|
| 15 | 9 | 3 | 0 | 0.3 | −9 | 1 |
Disclaimer/Publisher’s Note: The statements, opinions and data contained in all publications are solely those of the individual author(s) and contributor(s) and not of MDPI and/or the editor(s). MDPI and/or the editor(s) disclaim responsibility for any injury to people or property resulting from any ideas, methods, instructions or products referred to in the content. |
© 2024 by the authors. Licensee MDPI, Basel, Switzerland. This article is an open access article distributed under the terms and conditions of the Creative Commons Attribution (CC BY) license (https://creativecommons.org/licenses/by/4.0/).
Share and Cite
Yu, J.; Zhang, C.; Li, D. An Analytical Solution for the Steady Seepage of Localized Line Leakage in Tunnels. Mathematics 2025, 13, 82. https://doi.org/10.3390/math13010082
Yu J, Zhang C, Li D. An Analytical Solution for the Steady Seepage of Localized Line Leakage in Tunnels. Mathematics. 2025; 13(1):82. https://doi.org/10.3390/math13010082
Chicago/Turabian StyleYu, Jun, Chi Zhang, and Dongkai Li. 2025. "An Analytical Solution for the Steady Seepage of Localized Line Leakage in Tunnels" Mathematics 13, no. 1: 82. https://doi.org/10.3390/math13010082
APA StyleYu, J., Zhang, C., & Li, D. (2025). An Analytical Solution for the Steady Seepage of Localized Line Leakage in Tunnels. Mathematics, 13(1), 82. https://doi.org/10.3390/math13010082

