Dynamic Behavior and Bifurcation Analysis of a Modified Reduced Lorenz Model
Abstract
1. Introduction
2. The Existence and Stability of the Fixed Points Are Examined
- (i)
- is the fixed point;
- (ii)
- ;
- (iii)
- .
- (i)
- , if and only if , .
- (ii)
- , (or , ) if and only if .
- (iii)
- , if and only if , .
- (iv)
- , if and only if , .
- (v)
- , are complex and if and only if , .
- (1)
- Sink if and . It is locally asymptotic stable.
- (2)
- Saddle if and (or and ). It is locally unstable.
- (3)
- Source if and . It is locally unstable.
- (4)
- Non-hyperbolic if either or .
- (1)
- When , is a saddle point.
- (2)
- When , is non-hyperbolic fixed point.
- (3)
- When , is a source fixed point.
3. Bifurcations Analysis
3.1. Pitchfork Bifurcation
3.2. Period-Doubling Bifurcation
3.3. Neimark–Sacker Bifurcation
4. Control of Chaos
5. Numerical Simulations
5.1. Period-Doubling Bifurcation
- (I)
- . In this case, we have a single positive fixed point. By performing calculations, we observe the PB of model (4) from at , confirming Theorem 4. The values of and for are obtained. Figure 1a,b illustrate that remains stable for but loses stability at the PB parameter value . Additionally, an orbit with a period of 2 is observed. The ML exponents corresponding to Figure 1a,b are depicted in Figure 1c.
- (II)
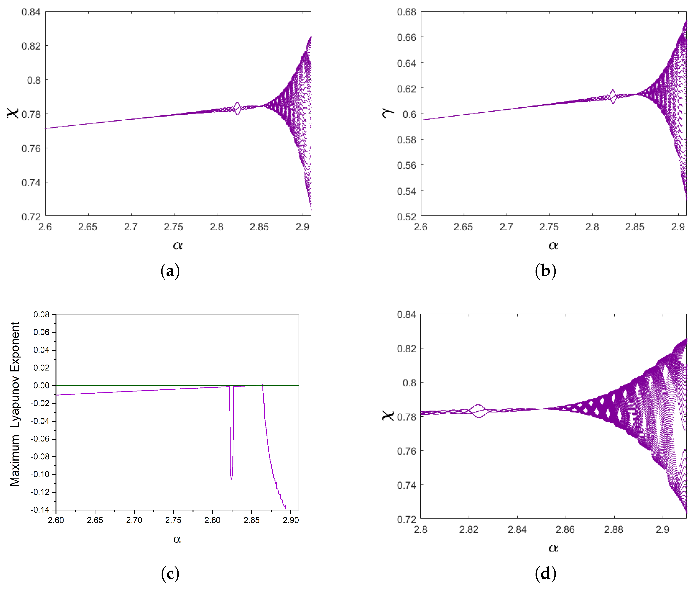
- For α = 9, we computed the PB of model (4) and found that it occurred at for with , and , confirming Theorem 4. Observations from Figure 2a,b indicate that remained stable for but lost stability at the PB parameter value . Additionally, orbits with periods of 2, 4, 8, and 16 were observed. The ML exponents corresponding to Figure 2a,b are shown in Figure 2c.
- (I)′
- (II)′
5.2. Neimark–Sacker Bifurcation
- (I)
- For α = 0.6, the NB of Model (4) occurs, revealing the fixed point at h = 1.495455526. This fixed point satisfies and , confirming the validity of Theorem 5. Observing Figure 5a,b, it can be seen that remains stable for but loses stability at the NB parameter value h = 1.495455526. The ML exponents, shown in Figure 5c, are correlated with Figure 5a,b. Additionally, Figure 6 displays the phase pictures associated with Figure 5a,b.
- (II)
- For α = 2.1, we computed the NB of Model (4), which resulted in the fixed point at h = 0.9645336217. This fixed point satisfies and , illustrating the validity of Theorem 5. By examining Figure 7a,b, we observe that remains stable for but loses stability at the NB parameter value h = 0.9645336217. The ML exponents, shown in Figure 7c, are correlated with Figure 7a,b. Furthermore, Figure 8 displays the phase pictures associated with Figure 7a,b.
- (I)′
- Let h = 0.9336269198. It is observed from Figure 9a,b that remains stable for the parameter range of . However, it loses stability at the NB parameter value of . then it suddenly transitions to a steady state. The ML exponents, depicted in Figure 9c, confirm this behavior. Additionally, Figure 9d depicts a LA for . Furthermore, Figure 10 displays the phase pictures corresponding to Figure 9a,b.
- (II)′
- (III)′
- If , it is observed from Figure 12a,b that remains stable for the parameter range of . However, it loses stability at the NP parameter value . Next, we find that the dynamics of the Lorenz model reach their highest chaotic value when , and then it suddenly transitions to a steady state. The ML exponents, depicted in Figure 12c, confirm this behavior.
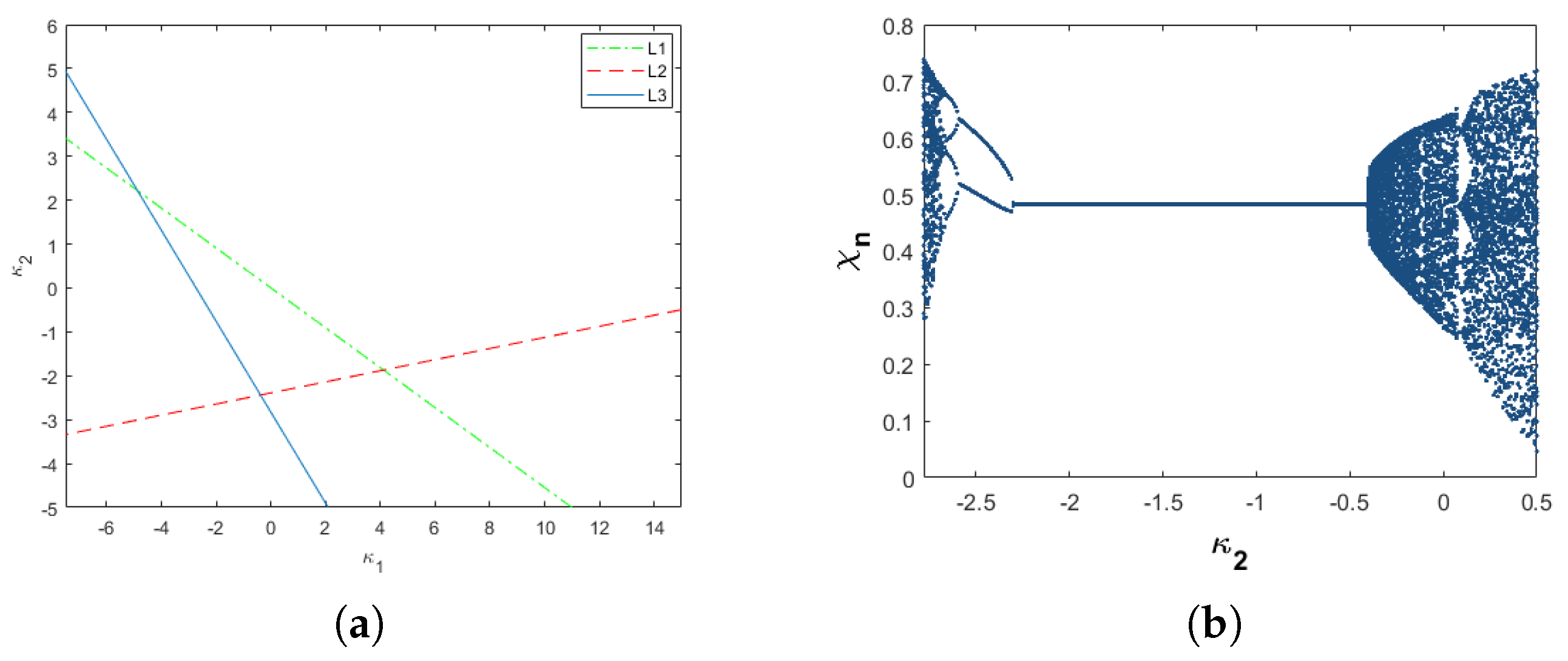
5.3. Control of Chaos
6. Conclusions
Author Contributions
Funding
Data Availability Statement
Conflicts of Interest
References
- Wang, M.; Wang, X.; Zhang, Y.; Gao, Z. A novel chaotic encryption scheme based on image segmentation and multiple diffusion models. Opt. Laser Technol. 2018, 108, 558–573. [Google Scholar] [CrossRef]
- Yang, Y.G.; Guan, B.W.; Li, J.; Li, D.; Zhou, Y.H.; Shi, W.M. Image compression-encryption scheme based on fractional order hyper-chaotic systems combined with 2D compressed sensing and DNA encoding. Opt. Laser Technol. 2019, 119, 105661. [Google Scholar] [CrossRef]
- Elsadany, A.A.; Yousef, A.M.; Elsonbaty, A. Further analytical bifurcation analysis and applications of coupled logistic maps. Appl. Math. Comput. 2018, 338, 314–336. [Google Scholar] [CrossRef]
- Henon, M. A two-dimensonal mapping with a strange attractor. Commun. Math. Phys. 1976, 50, 376–392. [Google Scholar] [CrossRef]
- Lorenz, E.N. Deterministic nonperiodic flow. J. Atmos. Sci. 1963, 20, 130–141. [Google Scholar] [CrossRef]
- Annaby, M.H.; Rushdi, M.A.; Nehary, E.A. Color image encryption using random transforms, phase retrieval, chaotic maps, and diffusion. Opt. Lasers Eng. 2018, 103, 9–23. [Google Scholar] [CrossRef]
- Mliki, E.; Hasanzadeh, N.; Nazarimehr, F.; Akgul, A.; Boubaker, O.; Jafari, S. Some new chaotic maps with application in stochastic. In Recent Advances in Chaotic Systems and Synchronization; Academic Press: Cambridge, MA, USA, 2019; pp. 165–185. [Google Scholar]
- Ramadoss, J.; Natiq, H.; Nazarimehr, F.; He, S.; Rajagopal, K.; Jafari, S. A novel chaotic map with a shifting parameter and stair-like bifurcation diagram: Dynamical analysis and multistability. Phys. Scr. 2023, 98, 025212. [Google Scholar] [CrossRef]
- Lorenz, E.N. Computational chaos-a prelude to computational instability. Phys. D Nonlinear Phenom. 1989, 35, 299–317. [Google Scholar] [CrossRef]
- Frouzakis, C.E.; Kevrekidis, I.G.; Peckham, B.B. A route to computational chaos revisited: Noninvertibility and the breakup of an invariant circle. Phys. D Nonlinear Phenom. 2003, 177, 101–121. [Google Scholar] [CrossRef]
- Elabbasy, E.M.; Elsadany, A.A.; Zhang, Y. Bifurcation analysis and chaos in a discrete reduced Lorenz system. Appl. Math. Comput. 2014, 228, 184–194. [Google Scholar] [CrossRef]
- Zhao, J.; Yan, Y. Stability and bifurcation analysis of a discrete predator–prey system with modified Holling–Tanner functional response. Adv. Differ. Equ. 2018, 2018, 402. [Google Scholar] [CrossRef]
- Al-Kaff, M.O.; El-Metwally, H.A.; Elabbasy, E.M.; Elsadany, A.E.A. Dynamic Behaviors in a Discrete Model for Predator–Prey Interactions Involving Hibernating Vertebrates. Int. J. Bifurc. Chaos 2023, 33, 2350182. [Google Scholar] [CrossRef]
- Zhang, L.; Zhang, C.; He, Z. Codimension-one and codimension-two bifurcations of a discrete predator–prey system with strong Allee effect. Math. Comput. Simul. 2019, 162, 155–178. [Google Scholar] [CrossRef]
- Streipert, S.H.; Wolkowicz, G.S.; Bohner, M. Derivation and analysis of a discrete predator–prey model. Bull. Math. Biol. 2022, 84, 67. [Google Scholar] [CrossRef] [PubMed]
- Tassaddiq, A.; Shabbir, M.S.; Din, Q.; Naaz, H. Discretization, bifurcation, and control for a class of predator-prey interactions. Fractal Fract. 2022, 6, 31. [Google Scholar] [CrossRef]
- Elettreby, M.F.; Nabil, T.; Khawagi, A. Stability and Bifurcation Analysis of a Discrete Predator-Prey Model with Mixed Holling Interaction. Cmes-Comput. Model. Eng. Sci. 2020, 122, 907–922. [Google Scholar] [CrossRef]
- Khan, A.Q.; Bukhari, S.A.H.; Almatrafi, M.B. Global dynamics, Neimark–Sacker bifurcation and hybrid control in a Leslie’s prey-predator model. Alex. Eng. J. 2022, 61, 11391–11404. [Google Scholar] [CrossRef]
- Lei, C.; Han, X.; Wang, W. Bifurcation analysis and chaos control of a discrete-time prey-predator model with fear factor. Math. Biosci. Eng. 2022, 19, 6659–6679. [Google Scholar] [CrossRef] [PubMed]
- Askar, S.S.; Karawia, A.A.; Al-Khedhairi, A.; Al-Ammar, F.S. An algorithm of image encryption using logistic and two-dimensional chaotic economic maps. Entropy 2019, 21, 44. [Google Scholar] [CrossRef]
- Qian, X.; Yang, Q.; Li, Q.; Liu, Q.; Wu, Y.; Wang, W. A novel color image encryption algorithm based on three-dimensional chaotic maps and reconstruction techniques. IEEE Access 2021, 9, 61334–61345. [Google Scholar] [CrossRef]
- Zhu, S.; Zhu, C. Plaintext-related image encryption algorithm based on block structure and five-dimensional chaotic map. IEEE Access 2019, 7, 147106–147118. [Google Scholar] [CrossRef]
- Liu, X.; Xiao, D. Complex dynamic behaviors of a discrete-time predator–prey system. Chaos Solitons Fractals 2007, 32, 80–94. [Google Scholar] [CrossRef]
- Wiggins, S. Hamiltonian Vector Fields. In Introduction to Applied Nonlinear Dynamical Systems and Chaos; Springer: Cham, Switzerland, 2003; pp. 197–230. [Google Scholar]
- Carr, J. Applications of Centre Manifold Theory; Springer Science & Business Media: Berlin/Heidelberg, Germany, 2012. [Google Scholar]
- Robinson, C. Dynamical Systems: Stability, Symbolic Dynamics, and Chaos; CRC Press: Boca Raton, FL, USA, 1998. [Google Scholar]
- Ott, E.; Grebogi, C.; Yorke, J.A. Controlling chaos. Phys. Rev. Lett. 1990, 64, 1196–1199. [Google Scholar] [CrossRef] [PubMed]
- Al-Kaff, M.O.; El-Metwally, H.A.; Elabbasy, E.M. Qualitative analysis and phase of chaos control of the predator-prey model with Holling type-III. Sci. Rep. 2022, 12, 20111. [Google Scholar] [CrossRef] [PubMed]















Disclaimer/Publisher’s Note: The statements, opinions and data contained in all publications are solely those of the individual author(s) and contributor(s) and not of MDPI and/or the editor(s). MDPI and/or the editor(s) disclaim responsibility for any injury to people or property resulting from any ideas, methods, instructions or products referred to in the content. |
© 2024 by the authors. Licensee MDPI, Basel, Switzerland. This article is an open access article distributed under the terms and conditions of the Creative Commons Attribution (CC BY) license (https://creativecommons.org/licenses/by/4.0/).
Share and Cite
Al-Kaff, M.O.; AlNemer, G.; El-Metwally, H.A.; Elsadany, A.-E.A.; Elabbasy, E.M. Dynamic Behavior and Bifurcation Analysis of a Modified Reduced Lorenz Model. Mathematics 2024, 12, 1354. https://doi.org/10.3390/math12091354
Al-Kaff MO, AlNemer G, El-Metwally HA, Elsadany A-EA, Elabbasy EM. Dynamic Behavior and Bifurcation Analysis of a Modified Reduced Lorenz Model. Mathematics. 2024; 12(9):1354. https://doi.org/10.3390/math12091354
Chicago/Turabian StyleAl-Kaff, Mohammed O., Ghada AlNemer, Hamdy A. El-Metwally, Abd-Elalim A. Elsadany, and Elmetwally M. Elabbasy. 2024. "Dynamic Behavior and Bifurcation Analysis of a Modified Reduced Lorenz Model" Mathematics 12, no. 9: 1354. https://doi.org/10.3390/math12091354
APA StyleAl-Kaff, M. O., AlNemer, G., El-Metwally, H. A., Elsadany, A.-E. A., & Elabbasy, E. M. (2024). Dynamic Behavior and Bifurcation Analysis of a Modified Reduced Lorenz Model. Mathematics, 12(9), 1354. https://doi.org/10.3390/math12091354

