SNC_Net: Skin Cancer Detection by Integrating Handcrafted and Deep Learning-Based Features Using Dermoscopy Images
Abstract
1. Introduction
- A variety of morphological operations are executed in the pre-processing phase to remove hair and anomalies from dermoscopy images to enhance image quality.
- To improve the accuracy of dermoscopy-based skin cancer diagnosis, we apply HC methods and Inception V3 for efficient feature extraction and use convolutional neural networks (CNNs) for classification.
- The problems related to class imbalance in ISIC 2019 are effectively addressed by employing the SMOTE Tomek.
- A comprehensive evaluation of the performance of the proposed model is carried out through a comparison of evaluation metrics with the results of four baseline classifiers, namely EfficientNetB0 (B1) [30], MobileNetV2 (B2) [31], DenseNet-121 (B3) [32], and ResNet-101 (B4) [33], and SOTA classifiers. The results indicate that the effectiveness of the proposed model is superior when compared to other modern models.
- The most significant visual features of various skin cancer classes are identified using the Grad-CAM heat map method.
- An innovative framework is developed to diagnose and classify various types of skin cancers in patients by utilizing dermoscopy images.
- An ablation study is performed to evaluate the practicality of the proposed model.
2. Related Work
2.1. Handcrafted Features
2.2. Deep Learning and Handcrafted Feature Fusion
2.3. Deep Learning Features
| Ref. | Year | Models | Dataset | Disease Classification | Accuracy |
|---|---|---|---|---|---|
| [58] | 2021 | CNN | HAM10000 | Multiclassification | 91.93% |
| [59] | 2021 | DCNN | HAM10000 | Multiclassification | 91.51% |
| [62] | 2021 | MASK RCNN | HAM10000 | Multiclassification | 94.80% |
| [63] | 2021 | PAM-DenseNet | HAM10000 | Multiclassification | 86.50% |
| [64] | 2023 | CAFNet-34 | Seven-Point Checklist | Multiclassification | 76.80% |
| [65] | 2022 | RCNN | ISIC 2016 ISIC 2017 PH2 | Binary Classification | 95.40% 93.10% 95.60 |
| [66] | 2022 | FCEDN | ISIC 2016 ISIC 2017 | Binary Classification | 98.32% 87.23% |
| [68] | 2022 | Superpixal DL | ISIC 2016 HAM10000 PH2 | Binary Classification | 95.40% 91.10 85.50 |
| [69] | 2021 | BES NN | ISIC 2020 | Binary Classification | 98.37% |
| [72] | 2023 | Spiking VGG-13 | ISIC 2019 | Binary Classification | 89.57% |
| [73] | 2023 | VGG 16 | ISIC Archive | Binary Classification | 86.30% |
| [74] | 2023 | S2C-DeLeNet | HAM10000 | Multiclassification | 91.03% |
| [79] | 2024 | SCSO-ResNet50 | ISIC 2019 | Multiclassification | 93.45% |
3. Dataset Description
3.1. ISIC 2019 Skin Cancer Dataset
3.2. Handling Imbalanced Class Dataset
4. Proposed Methodology
4.1. Pre-Processing
Hair Removal Process
4.2. Feature Extraction
4.2.1. Feature Extraction Using Handcrafted Method
4.2.2. Feature Extraction Using Inception V3
4.3. Feature Fusion Process
4.4. Classification Using CNN
4.5. Baseline Models
4.5.1. EfficientNetB0 (B1)
4.5.2. MobileNetV2 (B2)
4.5.3. DenseNet-121 (B3)
4.5.4. ResNet-101 (B4)
4.6. Performance Evaluation
5. Experimental Results
5.1. Experimental Setup
5.2. Accuracy Compared with Other Models
5.3. AUC Comparison of Recent Deep Models with Proposed SNC_Net
5.4. Comparison of Proposed SNC_Net with Other Networks Using Precision
5.5. Comparison of Proposed SNC_Net with Other Networks Using Recall
5.6. F1 Score Compared of Proposed SNC_Net with Recent Models
5.7. Loss Comparison of Proposed SNC_Net with Other Deep Networks
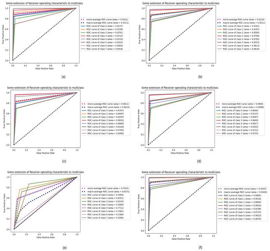
5.8. ROC Comparison of Proposed SNC_Net with Other Deep Networks
5.9. Values of AUC (ROC) Extension Compared to Other Models
5.10. Confusion Matrix Comparison of Proposed SNC_Net with Other Networks
5.11. Ablation Study
5.12. A Comparison of the SNC_Net Model with the State of the Art
5.13. Discussions
6. Limitations of Existing Research
7. Conclusions
Author Contributions
Funding
Data Availability Statement
Conflicts of Interest
References
- Naeem, A.; Anees, T. DVFNet: A deep feature fusion-based model for the multiclassification of skin cancer utilizing dermoscopy images. PLoS ONE 2024, 20, e0297667. [Google Scholar] [CrossRef]
- American Cancer Society|Causes of Skin Cancer. Available online: https://www.cancer.org/content/dam/CRC/PDF/Public/8893.00.pdf (accessed on 4 March 2024).
- Dilda, M.; Akra, S.; Irfa, M.; Kha, H.U.; Ramza, M.; Mahmoo, A.R.; Alsaiar, S.A.; Saee, A.H.; Alraddad, M.O.; Mahnashi, M.H. Skin cancer detection: A review using deep learning techniques. Int. J. Environ. Res. Public Health 2021, 18, 5479. [Google Scholar] [CrossRef]
- Saginal, K.; Barsou, A.; Alur, J.S.; Rawla, P.; Barsouk, A. Epidemiology of melanoma. Med. Sci. 2021, 9, 63. [Google Scholar] [CrossRef]
- Garne, W.B.; Smit, B.D.; Ludmi, E.B.; Wakefiel, D.V.; Shabaso, J.; William, G.R.; Martin, M.Y.; Wan, Y.; Ball, M.T.; VanderWalde, N.A. Predicting future cancer incidence by age, race, ethnicity, and sex. J. Geriatr. Oncol. 2023, 14, 101393. [Google Scholar] [CrossRef]
- Eddy, K.; Chen, S. Overcoming immune evasion in melanoma. Int. J. Mol. Sci. 2020, 21, 8984. [Google Scholar] [CrossRef]
- Patel, R.H.; Foltz, E.A.; Witkowski, A.; Ludzik, J. Analysis of Artificial Intelligence-Based Approaches Applied to Non-Invasive Imaging for Early Detection of Melanoma: A Systematic Review. Cancers 2023, 15, 4694. [Google Scholar] [CrossRef]
- Cives, M.; Mannavola, F.; Lospalluti, L.; Sergi, M.C.; Cazzato, G.; Filoni, E.; Cavallo, F.; Giudice, G.; Stucci, L.S.; Porta, C.; et al. Non-melanoma skin cancers: Biological and clinical features. Int. J. Mol. Sci. 2020, 21, 5394. [Google Scholar] [CrossRef]
- Chiang, E.; Stafford, H.; Buell, J.; Ramesh, U.; Amit, M.; Nagarajan, P.; Migden, M.; Yaniv, D. Review of the Tumor Microenvironment in Basal and Squamous Cell Carcinoma. Cancers 2023, 15, 2453. [Google Scholar] [CrossRef]
- Abunadi, I.; Senan, E.M. Deep Learning and machine learning techniques of diagnosis dermoscopy images for early detection of skin diseases. Electronics 2021, 10, 3158. [Google Scholar] [CrossRef]
- Liu, Y.; Jain, A.; Eng, C.; Way, D.H.; Lee, K.; Bui, P.; Kanada, K.; Marinho, G.d.O.; Gallegos, J.; Gabriele, S.; et al. A deep learning system for differential diagnosis of skin diseases. Nat. Med. 2020, 26, 900–908. [Google Scholar] [CrossRef]
- Da1, K.; Cockerel1, C.J.; Pati1, A.; Pietkiewic1, P.; Giulin1, M.; Grabb1, S.; Goldust, M. Machine learning and its application in skin cancer. Int. J. Environ. Res. Public Health 2021, 18, 13409. [Google Scholar] [CrossRef]
- Muhaba, K.A.; Dese, K.; Aga, T.M.; Zewdu, F.T.; Simegn, G.L. Automatic skin disease diagnosis using deep learning from clinical image and patient information. Ski. Health Dis. 2022, 2, e81. [Google Scholar] [CrossRef]
- Kim, S.-Y.; Choi, Y.; Kim, E.-K.; Han, B.-K.; Yoon, J.H.; Choi, J.S.; Chang, J.M. Deep learning-based computer-aided diagnosis in screening breast ultrasound to reduce false-positive diagnoses. Sci. Rep. 2021, 11, 395. [Google Scholar] [CrossRef]
- Vasconcelos, C.N.; Vasconcelos, B.N. Experiments using deep learning for dermoscopy image analysis. Pattern Recognit. Lett. 2020, 139, 95–103. [Google Scholar] [CrossRef]
- Zakhem, G.A.; Fakhoury, J.W.; Motosko, C.C.; Ho, R.S. Characterizing the role of dermatologists in developing artificial intelligence for assessment of skin cancer. J. Am. Acad. Dermatol. 2021, 85, 1544–1556. [Google Scholar] [CrossRef]
- Reshma, G.; Al-Atroshi, C.; Nassa, V.K.; Geetha, B.; Sunitha, G.; Galety, M.G.; Neelakandan, S. Deep learning-based skin lesion diagnosis model using dermoscopic images. Intell. Autom. Soft Comput. 2022, 31, 621–634. [Google Scholar] [CrossRef]
- Li, W.; Raj, A.N.J.; Tjahjadi, T.; Zhuang, Z. Digital hair removal by deep learning for skin lesion segmentation. Pattern Recognit. 2021, 117, 107994. [Google Scholar] [CrossRef]
- Chen, R.-C.; Dewi, C.; Huang, S.-W.; Caraka, R.E. Selecting critical features for data classification based on machine learning methods. J. Big Data 2020, 7, 52. [Google Scholar] [CrossRef]
- Ali, A.-R.; Li, J.; Yang, G.; O’shea, S.J. A machine learning approach to automatic detection of irregularity in skin lesion border using dermoscopic images. PeerJ Comput. Sci. 2020, 6, e268. [Google Scholar] [CrossRef]
- Wang, Y.; Cai, J.; Louie, D.C.; Wang, Z.J.; Lee, T.K. Incorporating clinical knowledge with constrained classifier chain into a multimodal deep network for melanoma detection. Comput. Biol. Med. 2021, 137, 104812. [Google Scholar] [CrossRef]
- Sharma, A.K.; Tiwari, S.; Aggarwal, G.; Goenka, N.; Kumar, A.; Chakrabarti, P.; Chakrabarti, T.; Gono, R.; Leonowicz, Z.; Jasinski, M. Dermatologist-level classification of skin cancer using cascaded ensembling of convolutional neural network and handcrafted features based deep neural network. IEEE Access 2022, 10, 17920–17932. [Google Scholar] [CrossRef]
- Oukil, S.; Kasmi, R.; Mokrani, K.; García-Zapirain, B. Automatic segmentation and melanoma detection based on color and texture features in dermoscopic images. Ski. Res. Technol. 2022, 28, 203–211. [Google Scholar] [CrossRef]
- Saba, T. Computer vision for microscopic skin cancer diagnosis using handcrafted and non-handcrafted features. Microsc. Res. Tech. 2021, 84, 1272–1283. [Google Scholar] [CrossRef]
- Mazhar, T.; Haq, I.; Ditta, A.; Mohsan, S.A.H.; Rehman, F.; Zafar, I.; Gansau, J.A.; Goh, L.P.W. The role of machine learning and deep learning approaches for the detection of skin cancer. Healthcare 2023, 11, 415. [Google Scholar] [CrossRef]
- Sharafudeen, M.; Vinod Chandra, C.S. Detecting skin lesions fusing handcrafted features in image network ensembles. Multimed. Tools Appl. 2023, 82, 3155–3175. [Google Scholar] [CrossRef]
- Naeem, A.; Farooq, M.S.; Khelifi, A.; Abid, A. Malignant melanoma classification using deep learning: Datasets, performance measurements, challenges and opportunities. IEEE Access 2020, 8, 110575–110597. [Google Scholar] [CrossRef]
- Tump, P.P.; Kabir, M.A. An artificial neural network based detection and classification of melanoma skin cancer using hybrid texture features. Sens. Int. 2021, 2, 100128. [Google Scholar] [CrossRef]
- Bassel, A.; Abdulkareem, A.B.; Alyasseri, Z.A.A.; Sani, N.S.; Mohammed, H.J. automatic malignant and benign skin cancer classification using a hybrid deep learning approach. Diagnostics 2022, 12, 2472. [Google Scholar] [CrossRef]
- Anan, V.; Gupt, S.; Kounda, D.; Naya, S.R.; Shafi, J.; Bhoi, A.K. Segmentation and Classification of Skin Cancer Using K-means Clustering and EfficientNetB0 Model. In Advances in Communication, Devices and Networking: Proceedings of ICCDN 2021; Springer Nature: Singapore, 2022; pp. 471–481. [Google Scholar]
- Toğaçar, M.; Cömert, Z.; Ergen, B. Intelligent skin cancer detection applying autoencoder, MobileNetV2 and spiking neural networks. Chaos Solitons Fractals 2021, 144, 110714. [Google Scholar] [CrossRef]
- Jain, S.; Agrawal, K. An Efficient Diagnosis of Melanoma Skin Disease Using DenseNet-121. In Proceedings of the 2023 3rd International Conference on Technological Advancements in Computational Sciences (ICTACS), Tashkent, Uzbekistan, 1 November 2023; pp. 908–912. [Google Scholar]
- Demir, A.; Yilmaz, F.; Kose, O. Early detection of skin cancer using deep learning architectures: Resnet-101 and inception-v3. In Proceedings of the 2019 Medical Technologies Congress (TIPTEKNO), Izmir, Turkey, 3–5 October 2019; pp. 1–4. [Google Scholar]
- Naeem, A.; Anees, T.; Ahmed, K.T.; Naqvi, R.A.; Ahmad, S.; Whangbo, T. Deep learned vectors’ formation using auto-correlation, scaling, and derivations with CNN for complex and huge image retrieval. Complex Intell. Syst. 2022, 9, 1729–1751. [Google Scholar] [CrossRef]
- Bakheet, S. An SVM Framework for Malignant Melanoma Detection Based on Optimized HOG Features. Computation 2017, 5, 4. [Google Scholar] [CrossRef]
- Khan, M.Q.; Hussain, A.; Rehman, S.U.; Khan, U.; Maqsood, M.; Mehmood, K.; Khan, M.A. Classification of melanoma and nevus in digital images for diagnosis of skin cancer. IEEE Access 2019, 7, 90132–90144. [Google Scholar] [CrossRef]
- Warsi, F.; Khanam, R.; Kamya, S.; Suárez-Araujo, C.P. An efficient 3D color-texture feature and neural network technique for melanoma detection. Inform. Med. Unlocked 2019, 17, 100176. [Google Scholar] [CrossRef]
- Kumar, M.; Alshehri, M.; AlGhamdi, R.; Sharma, P.; Deep, V. A DE-ANN Inspired skin cancer detection approach using fuzzy c-means clustering. Mob. Netw. Appl. 2020, 25, 1319–1329. [Google Scholar] [CrossRef]
- Akan, H.; Yıldız, M.Z. Development of new descriptor for melanoma detection on dermoscopic images. Med. Biol. Eng. Comput. 2020, 58, 2711–2723. [Google Scholar] [CrossRef]
- Codella, N.C.F.; Nguyen, Q.-B.; Pankanti, S.; Gutman, D.A.; Helba, B.; Halpern, A.C.; Smith, J.R. Deep learning ensembles for melanoma recognition in dermoscopy images. IBM J. Res. Dev. 2017, 61, 5:1–5:15. [Google Scholar] [CrossRef]
- L1, X.; W1, J.; Jian1, H.; Che1, E.Z.; Dong, X.; Rong, R. Skin lesion classification via combining deep learning features and clinical criteria representations. BioRxiv 2018, 382010. [Google Scholar]
- Khan, M.A.; Sharif, M.I.; Raza, M.; Anjum, A.; Saba, T.; Shad, S.A. Skin lesion segmentation and classification: A unified framework of deep neural network features fusion and selection. Expert Syst. 2022, 39, 12497. [Google Scholar] [CrossRef]
- Almaraz-Damian, J.-A.; Ponomaryov, V.; Sadovnychiy, S.; Castillejos-Fernandez, H. Melanoma and nevus skin lesion classification using handcraft and deep learning feature fusion via mutual information measures. Entropy 2020, 22, 484. [Google Scholar] [CrossRef]
- Jayapriya, K.; Jacob, I.J. Hybrid fully convolutional networks-based skin lesion segmentation and melanoma detection using deep feature. Int. J. Imaging Syst. Technol. 2020, 30, 348–357. [Google Scholar] [CrossRef]
- Kumar Tiwar, A.; Kumar Mishr, M.; Ranjan Panda, A.; Panda, B. Hosmi-lbp-Based Feature Extraction for Melanoma Detection Using Hybrid Deep Learning Models. J. Mech. Med. Biol. 2021, 21, 2150029. [Google Scholar] [CrossRef]
- Salid1, J.A.; Ruiz, C. Using deep learning to detect melanoma in dermoscopy images. Int. J. Mach. Learn. Comput. 2018, 8, 61–68. [Google Scholar] [CrossRef]
- Dorj, U.-O.; Lee, K.-K.; Choi, J.-Y.; Lee, M. The skin cancer classification using deep convolutional neural network. Multimed. Tools Appl. 2018, 77, 9909–9924. [Google Scholar] [CrossRef]
- Shahi, A.H.; Kamal, A.; Elattar, M.A. Deep ensemble learning for skin lesion classification from dermoscopic images. In Proceedings of the 2018 9th Cairo International Biomedical Engineering Conference (CIBEC), Cairo, Egypt, 20–22 December 2018; pp. 150–153. [Google Scholar]
- Dascalu, A.; David, E. Skin cancer detection by deep learning and sound analysis algorithms: A prospective clinical study of an elementary dermoscope. EBioMedicine 2019, 43, 107–113. [Google Scholar] [CrossRef]
- Pham, H.N.; Koay, C.Y.; Chakraborty, T.; Gupta, S.; Tan, B.L.; Wu, H.; Vardhan, A.; Nguyen, Q.H.; Palaparthi, N.R.; Nguyen, B.P.; et al. Lesion Segmentation and Automated Melanoma Detection using Deep Convolutional Neural Networks and XGBoost. In Proceedings of the 2019 International Conference on System Science and Engineering (ICSSE), Dong Hoi, Vietnam, 20–21 July 2019; pp. 142–147. [Google Scholar]
- Bisl1, D.; Choromansk1, A.; Berma1, R.S.; Stei1, J.A.; Polsky, D. Towards automated melanoma detection with deep learning: Data purification and augmentation. In Proceedings of the IEEE/CVF conference on computer vision and pattern recognition workshops 2019, Long Beach, CA, USA, 15–20 June 2019. [Google Scholar]
- Brinker, T.J.; Hekler, A.; Enk, A.H.; Berking, C.; Haferkamp, S.; Hauschild, A.; Weichenthal, M.; Klode, J.; Schadendorf, D.; Holland-Letz, T.; et al. Deep neural networks are superior to dermatologists in melanoma image classification. Eur. J. Cancer 2019, 119, 11–17. [Google Scholar] [CrossRef]
- Carcagnì, P.; Leo, M.; Cuna, A.; Mazzeo, P.L.; Spagnolo, P.; Celeste, G.; Distante, C. Classification of Skin Lesions by Combining Multilevel Learnings in a DenseNet Architecture. In Proceedings of the 20th International Conference Image Analysis and Processing (ICIAP 2019), Trento, Italy, 9–13 September 2019; pp. 335–344. [Google Scholar] [CrossRef]
- Sarkar, R.; Chatterjee, C.C.; Hazra, A. Diagnosis of melanoma from dermoscopic images using a deep depthwise separable residual convolutional network. IET Image Process. 2019, 13, 2130–2142. [Google Scholar] [CrossRef]
- El-Khatib, H.; Popescu, D.; Ichim, L. Deep learning–based methods for automatic diagnosis of skin lesions. Sensors 2020, 20, 1753. [Google Scholar] [CrossRef]
- Adegun, A.A.; Viriri, S. FCN-based DenseNet Framework for automated detection and classification of skin lesions in dermoscopy images. IEEE Access 2020, 8, 150377–150396. [Google Scholar] [CrossRef]
- Kumar, N.M.S.; Hariprasath, K.; Tamilselvi, S.; Kavinya, A.; Kaviyavarshini, N. Detection of stages of melanoma using deep learning. Multimedia Tools Appl. 2021, 80, 18677–18692. [Google Scholar] [CrossRef]
- Al1, M.S.; Mia1, M.S.; Haqu1, J.; Rahma1, M.M.; Islam, M.K. An enhanced technique of skin cancer classification using deep convolutional neural network with transfer learning models. Mach. Learn. Appl. 2021, 5, 100036. [Google Scholar]
- Sevli, O. A deep convolutional neural network-based pigmented skin lesion classification application and experts evaluation. Neural Comput. Appl. 2021, 33, 12039–12050. [Google Scholar] [CrossRef]
- Jojoa Acost, M.F.; Caballero Tova, L.Y.; Garcia-Zapirai, M.B.; Percybrooks, W.S. Melanoma diagnosis using deep learning techniques on dermatoscopic images. BMC Med. Imaging 2021, 21, 6. [Google Scholar] [CrossRef]
- Brinker, T.J.; Hekler, A.; Enk, A.H.; Klode, J.; Hauschild, A.; Berking, C.; Schilling, B.; Haferkamp, S.; Schadendorf, D.; Holland-Letz, T.; et al. Deep learning outperformed 136 of 157 dermatologists in a head-to-head dermoscopic melanoma image classification task. Eur. J. Cancer 2019, 113, 47–54. [Google Scholar] [CrossRef]
- Khan, M.A.; Akram, T.; Zhang, Y.-D.; Sharif, M. Attributes based skin lesion detection and recognition: A mask RCNN and transfer learning-based deep learning framework. Pattern Recognit. Lett. 2021, 143, 58–66. [Google Scholar] [CrossRef]
- Khan, M.A.; Zhang, Y.-D.; Sharif, M.; Akram, T. Pixels to classes: Intelligent learning framework for multiclass skin lesion localization and classification. Comput. Electr. Eng. 2021, 90, 106956. [Google Scholar] [CrossRef]
- He, X.; Wang, Y.; Zhao, S.; Chen, X. Co-Attention Fusion Network for Multimodal Skin Cancer Diagnosis. Pattern Recognit. 2023, 133, 108990. [Google Scholar] [CrossRef]
- Nawaz, M.; Mehmood, Z.; Nazir, T.; Naqvi, R.A.; Rehman, A.; Iqbal, M.; Saba, T. Skin cancer detection from dermoscopic images using deep learning and fuzzy k-means clustering. Microsc. Res. Tech. 2022, 85, 339–351. [Google Scholar] [CrossRef]
- Mohakud, R.; Dash, R. Skin cancer image segmentation utilizing a novel EN-GWO based hyper-parameter optimized FCEDN. J. King Saud Univ.-Comput. Inf. Sci. 2022, 34, 9889–9904. [Google Scholar] [CrossRef]
- Mukadam, S.B.; Patil, H.Y. Skin Cancer Classification Framework Using Enhanced Super Resolution Generative Adversarial Network and Custom Convolutional Neural Network. Appl. Sci. 2023, 13, 1210. [Google Scholar] [CrossRef]
- Afza, F.; Sharif, M.; Mittal, M.; Khan, M.A.; Jude Hemanth, D. A hierarchical three-step superpixels and deep learning framework for skin lesion classification. Methods 2022, 202, 88–102. [Google Scholar] [CrossRef]
- Sayed, G.I.; Soliman, M.M.; Hassanien, A.E. A novel melanoma prediction model for imbalanced data using optimized SqueezeNet by bald eagle search optimization. Comput. Biol. Med. 2021, 136, 104712. [Google Scholar] [CrossRef]
- Alenezi, F.; Armghan, A.; Polat, K. A multi-stage melanoma recognition framework with deep residual neural network and hyperparameter optimization-based decision support in dermoscopy images. Expert Syst. Appl. 2023, 215, 119352. [Google Scholar] [CrossRef]
- Jasil, S.P.G.; Ulagamuthalvi, V. A hybrid CNN architecture for skin lesion classification using deep learning. Soft Comput. 2023, 1–10. [Google Scholar] [CrossRef]
- Bindhu, A.; Thanammal, K.K. Multi-stage feature extraction-based classification of skin cancer detection. Soft Comput. 2023, 1–14. [Google Scholar] [CrossRef]
- Tabrizchi, H.; Parvizpour, S.; Razmara, J. An Improved VGG Model for Skin Cancer Detection. Neural Process. Lett. 2022, 55, 3715–3732. [Google Scholar] [CrossRef]
- Ala, M.J.; Mohamma, M.S.; Hossai, M.A.; Showmi, I.A.; Raiha, M.S.; Ahme, S.; Mahmud, T.I. S2C-DeLeNet: A parameter transfer based segmentation-classification integration for detecting skin cancer lesions from dermoscopic images. Comput. Biol. Med. 2022, 150, 106148. [Google Scholar]
- Shett, B.; Fernande, R.; Rodrigue, A.P.; Chengode, R.; Bhattachary, S.; Lakshmanna, K. Skin lesion classification of dermoscopic images using machine learning and convolutional neural network. Sci. Rep. 2022, 12, 18134. [Google Scholar] [CrossRef]
- Dong, C.; Dai, D.; Zhang, Y.; Zhang, C.; Li, Z.; Xu, S. Learning from dermoscopic images in association with clinical metadata for skin lesion segmentation and classification. Comput. Biol. Med. 2023, 152, 106321. [Google Scholar] [CrossRef]
- Qureshi, A.S.; Roos, T. Transfer learning with ensembles of deep neural networks for skin cancer detection in imbalanced data sets. Neural Process. Lett. 2023, 55, 4461–4479. [Google Scholar] [CrossRef]
- Panthakka, A.; Anza, S.M.; Jama, S.; Mansoor, W. Concatenated Xception-ResNet50—A novel hybrid approach for accurate skin cancer prediction. Comput. Biol. Med. 2022, 150, 106170. [Google Scholar]
- Akilandasowmya, G.; Nirmaladevi, G.; Suganthi, S.; Aishwariya, A. Skin cancer diagnosis: Leveraging deep hidden features and ensemble classifiers for early detection and classification. Biomed. Signal Process. Control. 2024, 88, 105306. [Google Scholar] [CrossRef]
- Cassidy, B.; Kendrick, C.; Brodzicki, A.; Jaworek-Korjakowska, J.; Yap, M.H. Analysis of the ISIC image datasets: Usage, benchmarks and recommendations. Med. Image Anal. 2022, 75, 102305. [Google Scholar] [CrossRef]
- Malik, H.; Naeem, A.; Naqvi, R.A.; Loh, W.-K. DMFL_Net: A Federated Learning-Based Framework for the Classification of COVID-19 from Multiple Chest Diseases Using X-rays. Sensors 2023, 23, 743. [Google Scholar] [CrossRef]
- Khan, A.H.; Iskandar, D.A.; Al-Asad, J.F.; El-Nakla, S. Classification of skin lesion with hair and artifacts removal using Black-hat morphology and total variation. Int. J. Comput. Digit. Syst. 2021, 10, 597–604. [Google Scholar] [CrossRef]
- Bansal, P.; Garg, R.; Soni, P. Detection of melanoma in dermoscopic images by integrating features extracted using handcrafted and deep learning models. Comput. Ind. Eng. 2022, 168, 108060. [Google Scholar] [CrossRef]
- Sekhar, K.S.R.; Babu, T.R.; Prathibha, G.; Vijay, K.; Ming, L.C. Dermoscopic image classification using CNN with Handcrafted features. J. King Saud Univ.-Sci. 2021, 33, 101550. [Google Scholar] [CrossRef]
- Maqsood, S.; Damaševičius, R. Multiclass skin lesion localization and classification using deep learning based features fusion and selection framework for smart healthcare. Neural Netw. 2023, 160, 238–258. [Google Scholar] [CrossRef]
- Thepad, S.D.; Abin, D.; Dhake, A.R. Machine Learning Based Melanoma Skin Cancer Detection using Fusion of Thepade’s SBTC and GLCM Features. In Proceedings of the 2021 International Conference on Disruptive Technologies for Multi-Disciplinary Research and Applications (CENTCON), Bengaluru, India, 19–21 November 2021; IEEE: Piscataway, NJ, USA, 2021; Volume 1, pp. 300–303. [Google Scholar]
- Grignaffini, F.; Barbuto, F.; Piazzo, L.; Troiano, M.; Simeoni, P.; Mangini, F.; Pellacani, G.; Cantisani, C.; Frezza, F. Machine Learning Approaches for Skin Cancer Classification from Dermoscopic Images: A Systematic Review. Algorithms 2022, 15, 438. [Google Scholar] [CrossRef]
- Singh, S.; Alam, M.; Singh, B. Orthogonal moment feature extraction and classification of melanoma images. J. Inf. Optim. Sci. 2020, 41, 195–203. [Google Scholar] [CrossRef]
- Chaturvedi, S.S.; Tembhurne, J.V.; Diwan, T. A multi-class skin Cancer classification using deep convolutional neural networks. Multimed. Tools Appl. 2020, 79, 28477–28498. [Google Scholar] [CrossRef]
- Nahata, H.; Singh, S.P. Deep learning solutions for skin cancer detection and diagnosis. In Machine Learning with Health Care Perspective: Machine Learning and Healthcare; Springer: Cham, Switzerland, 2020; pp. 159–182. [Google Scholar]
- Thurnhofer-Hemsi, K.; Domínguez, E. A Convolutional neural network framework for accurate skin cancer detection. Neural Process. Lett. 2021, 53, 3073–3093. [Google Scholar] [CrossRef]
- Sha, A.; Sha, M.; Pandy, A.; Sushr, R.; Sushr, R.; Meht, M.; Pate, K.; Patel, K. A comprehensive study on skin cancer detection using artificial neural network (ANN) and convolutional neural network (CNN). Clin. eHealth 2023, 6, 76–84. [Google Scholar] [CrossRef]
- Höhn, J.; Krieghoff-Henning, E.; Jutzi, T.B.; von Kalle, C.; Utikal, J.S.; Meier, F.; Gellrich, F.F.; Hobelsberger, S.; Hauschild, A.; Schlager, J.G.; et al. Combining CNN-based histologic whole slide image analysis and patient data to improve skin cancer classification. Eur. J. Cancer 2021, 149, 94–101. [Google Scholar] [CrossRef]
- Qasim Gilan, S.; Sye, T.; Umai, M.; Marques, O. Skin Cancer Classification Using Deep Spiking Neural Network. J. Digit. Imaging 2023, 36, 1137–1147. [Google Scholar] [CrossRef]
- Tembhurne, J.V.; Hebbar, N.; Patil, H.Y.; Diwan, T. Skin cancer detection using ensemble of machine learning and deep learning techniques. Multimed. Tools Appl. 2023, 82, 27501–27524. [Google Scholar] [CrossRef]
- Alenezi, F.; Armghan, A.; Polat, K. Wavelet transform based deep residual neural network and ReLU based Extreme Learning Machine for skin lesion classification. Expert Syst. Appl. 2023, 213, 119064. [Google Scholar] [CrossRef]
- Shorfuzzaman, M. An explainable stacked ensemble of deep learning models for improved melanoma skin cancer detection. Multimed. Syst. 2022, 28, 1309–1323. [Google Scholar] [CrossRef]
- Tahir, M.; Naeem, A.; Malik, H.; Tanveer, J.; Naqvi, R.A.; Lee, S.-W. DSCC_Net: Multi-Classification Deep Learning Models for Diagnosing of Skin Cancer Using Dermoscopic Images. Cancers 2023, 15, 2179. [Google Scholar] [CrossRef]
- Riaz, S.; Naeem, A.; Malik, H.; Naqvi, R.A.; Loh, W.-K. Federated and Transfer Learning Methods for the Classification of Melanoma and Nonmelanoma Skin Cancers: A Prospective Study. Sensors 2023, 23, 8457. [Google Scholar] [CrossRef] [PubMed]
- Naeem, A.; Anees, T.; Fiza, M.; Naqvi, R.A.; Lee, S.-W. SCDNet: A Deep Learning-Based Framework for the Multiclassification of Skin Cancer Using Dermoscopy Images. Sensors 2022, 22, 5652. [Google Scholar] [CrossRef] [PubMed]
















| Class Name | Selected Images |
|---|---|
| AKs | 450 |
| BCCa | 650 |
| BK | 850 |
| DFa | 250 |
| MELa | 850 |
| MNi | 1550 |
| SCCa | 250 |
| VASn | 250 |
| Class Name | Selected Images |
|---|---|
| AKs | 1600 |
| BCCa | 1600 |
| BK | 1600 |
| DFa | 1600 |
| MELa | 1600 |
| MNi | 1600 |
| SCCa | 1600 |
| VASn | 1600 |
| Classifiers | Accuracy | Precision | Recall | F1 Score | AUC |
|---|---|---|---|---|---|
| B1 | 93.39% | 93.52% | 93.15% | 93.49% | 99.14% |
| B2 | 95.21% | 95.58% | 95.23% | 95.33% | 99.21% |
| B3 | 92.68% | 91.99% | 92.55% | 92.24% | 98.99% |
| B4 | 95.80% | 95.79% | 95.44% | 95.85% | 99.43% |
| Proposed SNC_Net (Without SMOTE Tomek) | 91.45% | 91.82% | 91.67% | 91.70% | 97.51% |
| Proposed SNC_Net (With SMOTE Tomek) | 97.81% | 98.31% | 97.89% | 98.10% | 99.67% |
| Exp | Layer | Batch Size | Optimizer | Learning Rate | Results | |||||||||
|---|---|---|---|---|---|---|---|---|---|---|---|---|---|---|
| 1 | Average Pooling 2D | Max Pooling 2D | Drop out | Flat-ten | 8 | 16 | 32 | Adam | Adagard | Nadam | 0.0001 | 0.00001 | 0.000001 | |
| ✓ | - | - | - | ✓ | - | - | ✓ | - | - | ✓ | - | - | Same Performance | |
| - | - | ✓ | - | ✓ | - | - | ✓ | - | - | ✓ | - | - | Same Performance | |
| - | - | - | ✓ | ✓ | ✓ | - | - | ✓ | - | - | Performance Dropped | |||
| - | ✓ | - | - | ✓ | - | - | ✓ | - | - | ✓ | - | - | Performance Dropped | |
| 2 | ✓ | - | - | - | - | ✓ | - | - | ✓ | - | - | ✓ | - | Performance Dropped |
| - | ✓ | - | - | ✓ | - | - | ✓ | - | - | ✓ | - | Performance Dropped | ||
| - | - | ✓ | - | ✓ | - | - | ✓ | - | - | ✓ | - | Performance Dropped | ||
| - | - | - | ✓ | ✓ | - | ✓ | - | - | ✓ | - | Performance Dropped | |||
| 3 | ✓ | - | - | - | - | - | ✓ | - | - | ✓ | - | - | ✓ | Performance Dropped |
| - | ✓ | - | - | - | - | ✓ | - | - | ✓ | - | - | ✓ | Performance Dropped | |
| - | - | ✓ | - | - | - | ✓ | - | - | ✓ | - | - | ✓ | Performance Dropped | |
| - | - | - | ✓ | - | - | ✓ | - | - | ✓ | - | - | ✓ | Performance Dropped | |
| Ref | Year | Models | Diseases | Accuracy | Precision | Recall | F1 Score |
|---|---|---|---|---|---|---|---|
| [10] | 2021 | ANN | Multiclassification | 95.30% | 94.63% | 94.87% | – |
| [94] | 2023 | VGG-13 | Multiclassification | 89.51% | 90.68% | 89.46% | 90.07% |
| [95] | 2023 | Ensemble | Binary | 93.00% | 92.00% | 94.00% | 93.00% |
| [96] | 2023 | DRNN | Binary | 94.29% | 93.75% | 95.74% | – |
| [97] | 2022 | Ensemble | Binary | 95.76% | 96.67% | 96.99% | 96.85% |
| [98] | 2023 | DSCC_Net | Binary | 94.17% | 94.28% | 93.76% | 93.93% |
| Ours | - | SNC_Net (with SMOTE Tomek) | Multiclassification | 97.81% | 98.31% | 97.89% | 98.10% |
Disclaimer/Publisher’s Note: The statements, opinions and data contained in all publications are solely those of the individual author(s) and contributor(s) and not of MDPI and/or the editor(s). MDPI and/or the editor(s) disclaim responsibility for any injury to people or property resulting from any ideas, methods, instructions or products referred to in the content. |
© 2024 by the authors. Licensee MDPI, Basel, Switzerland. This article is an open access article distributed under the terms and conditions of the Creative Commons Attribution (CC BY) license (https://creativecommons.org/licenses/by/4.0/).
Share and Cite
Naeem, A.; Anees, T.; Khalil, M.; Zahra, K.; Naqvi, R.A.; Lee, S.-W. SNC_Net: Skin Cancer Detection by Integrating Handcrafted and Deep Learning-Based Features Using Dermoscopy Images. Mathematics 2024, 12, 1030. https://doi.org/10.3390/math12071030
Naeem A, Anees T, Khalil M, Zahra K, Naqvi RA, Lee S-W. SNC_Net: Skin Cancer Detection by Integrating Handcrafted and Deep Learning-Based Features Using Dermoscopy Images. Mathematics. 2024; 12(7):1030. https://doi.org/10.3390/math12071030
Chicago/Turabian StyleNaeem, Ahmad, Tayyaba Anees, Mudassir Khalil, Kiran Zahra, Rizwan Ali Naqvi, and Seung-Won Lee. 2024. "SNC_Net: Skin Cancer Detection by Integrating Handcrafted and Deep Learning-Based Features Using Dermoscopy Images" Mathematics 12, no. 7: 1030. https://doi.org/10.3390/math12071030
APA StyleNaeem, A., Anees, T., Khalil, M., Zahra, K., Naqvi, R. A., & Lee, S.-W. (2024). SNC_Net: Skin Cancer Detection by Integrating Handcrafted and Deep Learning-Based Features Using Dermoscopy Images. Mathematics, 12(7), 1030. https://doi.org/10.3390/math12071030

