A Low-Inertia and High-Stiffness Cable-Driven Biped Robot: Design, Modeling, and Control
Abstract
1. Introduction
2. Mechanical Design
2.1. Hip Design
2.2. Leg Design
3. Joint-Error Estimation
4. Control Strategy
4.1. Foot Landing Strategy
4.2. Quintic Polynomial Trajectory Planning in Joint Space
4.3. Joint-Angle Correction System
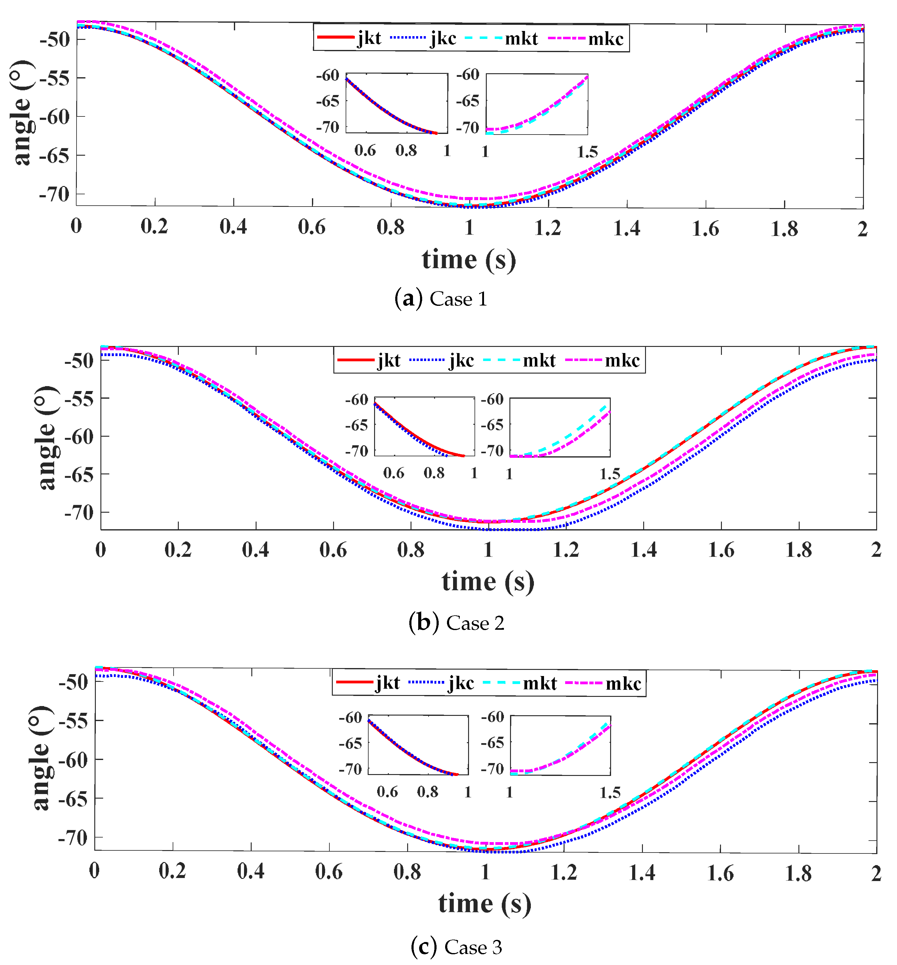
5. Experiments
6. Conclusions
Author Contributions
Funding
Data Availability Statement
Conflicts of Interest
References
- Hinojosa, E.H.; Bhounsule, P.A. Data-driven Identification of a Non-homogeneous Inverted Pendulum Model for Enhanced Humanoid Control. In Proceedings of the 2023 IEEE-RAS 22nd International Conference on Humanoid Robots (Humanoids), Austin, TX, USA, 12–14 December 2023; pp. 1–8. [Google Scholar]
- Kashyap, A.; Parhi, D. Dynamic Walking of Humanoid Robot on Flat Surface Using Amplified LIPM Plus Flywheel Model. Int. J. Intell. Unmanned Syst. 2022, 10, 316–329. [Google Scholar] [CrossRef]
- Park, H.Y.; Kim, J.H.; Yamamoto, K. A New Stability Framework for Trajectory Tracking Control of Biped Walking Robots. IEEE Trans. Ind. Inform. 2022, 18, 6767–6777. [Google Scholar] [CrossRef]
- Imanishi, K.; Sugihara, T. Autonomous Biped Stepping Control Based on the LIPM Potential. In Proceedings of the 2018 IEEE-RAS 18th International Conference on Humanoid Robots (Humanoids), Beijing, China, 6–9 November 2018; pp. 280–283. [Google Scholar]
- Urbann, O.; Schwarz, I.; Hofmann, M. Flexible Linear Inverted Pendulum Model for cost-effective biped robots. In Proceedings of the 2015 IEEE-RAS 15th International Conference on Humanoid Robots (Humanoids), Seoul, Republic of Korea, 3–5 November 2015; pp. 128–131. [Google Scholar]
- Ahn, J.; Lee, J.; Sentis, L. Data-Efficient and Safe Learning for Humanoid Locomotion Aided by a Dynamic Balancing Model. IEEE Robot. Autom. Lett. 2020, 5, 4376–4383. [Google Scholar] [CrossRef]
- Duan, H.; Malik, A.; Dao, J.; Saxena, A.; Green, K.; Siekmann, J.; Fern, A.; Hurst, J. Sim-to-Real Learning of Footstep-Constrained Bipedal Dynamic Walking. In Proceedings of the 2022 International Conference on Robotics and Automation (ICRA), Philadelphia, PA, USA, 23–27 May 2022; pp. 10428–10434. [Google Scholar]
- Koryakovskiy, I.; Kudruss, M.; Vallery, H.; Babuška, R.; Caarls, W. Model-Plant Mismatch Compensation Using Reinforcement Learning. IEEE Robot. Autom. Lett. 2018, 3, 2471–2477. [Google Scholar] [CrossRef]
- Ding, J.; Han, L.; Ge, L.; Liu, Y.; Pang, J. Robust Locomotion Exploiting Multiple Balance Strategies: An Observer-Based Cascaded Model Predictive Control Approach. IEEE/ASME Trans. Mechatron. 2022, 27, 2089–2097. [Google Scholar] [CrossRef]
- Hamed, K.A.; Kim, J.; Pandala, A. Quadrupedal Locomotion via Event-Based Predictive Control and QP-Based Virtual Constraints. IEEE Robot. Autom. Lett. 2020, 5, 4463–4470. [Google Scholar] [CrossRef]
- Shafiee-Ashtiani, M.; Yousefi-Koma, A.; Shariat-Panahi, M. Robust Bipedal Locomotion Control Based on Model Predictive Control and Divergent Component of Motion. In Proceedings of the 2017 IEEE International Conference on Robotics and Automation (ICRA), Shanghai, China, 29–31 December 2017; pp. 3505–3510. [Google Scholar]
- Khadiv, M.; Herzog, A.; Moosavian, S.A.A.; Righetti, L. Walking Control Based on Step Timing Adaptation. IEEE Trans. Robot. 2020, 36, 629–643. [Google Scholar] [CrossRef]
- Bailly, F.; Carpentier, J.; Benallegue, M.; Watier, B.; Soueres, P. Estimating the Center of Mass and the Angular Momentum Derivative for Legged Locomotion—A Recursive Approach. IEEE Robot. Autom. Lett. 2019, 4, 4155–4162. [Google Scholar] [CrossRef]
- Ameri, A.; Molaei, A.; Khosravi, M.A.; Aghdamp, A.G.; Dargahi, J. Modeling and Control of Cable-Driven Parallel Robots with Non-affine Dynamics. In Proceedings of the 2021 60th IEEE Conference on Decision and Control (CDC), Austin, TX, USA, 13–17 December 2021; pp. 5582–5587. [Google Scholar]
- Zou, Y.; Hu, Y.; Cao, H.; Xu, Y.; Yu, Y.; Lu, W.; Xiong, H. Data-Driven Kinematic Control Scheme for Cable-Driven Parallel Robots Allowing Collisions. In Proceedings of the 2022 IEEE/RSJ International Conference on Intelligent Robots and Systems (IROS), Kyoto, Japan, 23–27 October 2022; pp. 5003–5008. [Google Scholar]
- Roozing, W.; Ren, Z.; Tsagarakis, N. An Efficient Leg with Series–Parallel and Biarticular Compliant Actuation: Design Optimization, Modeling, and Control of the ELeg. Int. J. Robot. Res. 2021, 40, 37–54. [Google Scholar] [CrossRef]
- Kim, M.C.; Choi, H.; Piao, J.; Kim, E.s.; Park, J.O.; Kim, C.S. Remotely Manipulated Peg-in-Hole Task Conducted by Cable-Driven Parallel Robots. IEEE/ASME Trans. Mechatron. 2022, 27, 3953–3963. [Google Scholar] [CrossRef]
- Ida, E.; Bruckmann, T.; Carricato, M. Rest-to-Rest Trajectory Planning for Underactuated Cable-Driven Parallel Robots. IEEE Trans. Robot. 2019, 35, 1338–1351. [Google Scholar] [CrossRef]
- Liu, Z.; Zhang, X.; Cai, Z.; Peng, H.; Wu, Z. Real-Time Dynamics of Cable-Driven Continuum Robots Considering the Cable Constraint and Friction Effect. IEEE Robot. Autom. Lett. 2021, 6, 6235–6242. [Google Scholar] [CrossRef]
- Zhang, J.; Shen, J.; Liu, Y.; Hong, D. Design of a Jumping Control Framework with Heuristic Landing for Bipedal Robots. In Proceedings of the 2023 IEEE/RSJ International Conference on Intelligent Robots and Systems (IROS), Detroit, MI, UDA, 1–5 October 2023; pp. 8502–8509. [Google Scholar]
- Bryson, J.; Agrawal, S. Analysis of Optimal Cable Configurations in the Design of a 3-DOF Cable-Driven Robot Leg. In Proceedings of the ASME 2014 International Design Engineering Technical Conferences and Computers and Information in Engineering Conference, Buffalo, NY, USA, 17–20 August 2014. [Google Scholar]
- Ficanha, E.; Rastgaar, M.; Kaufman, K. A Two-axis Cable-Driven Ankle-Foot Mechanism. Robot. Biomim. 2014, 1, 17. [Google Scholar] [CrossRef]
- Hidayah, R.; Bishop, L.; Jin, X.; Chamarthy, S.; Stein, J.; Agrawal, S.K. Gait Adaptation Using a Cable-Driven Active Leg Exoskeleton (C-ALEX) with Post-Stroke Participants. IEEE Trans. Neural Syst. Rehabil. Eng. 2020, 28, 1984–1993. [Google Scholar] [CrossRef] [PubMed]
- Demirel, M.; Kiper, G.; Carbone, G.; Ceccarelli, M. Design of a Novel Hybrid Cable-Constrained Parallel Leg Mechanism for Biped Walking Machines. Robot. Int. J. Inf. Educ. Res. Robot. Artif. Intell. 2023, 41, 1778–1793. [Google Scholar] [CrossRef]
- Takenaka, T.; Matsumoto, T.; Yoshiike, T. Real Time Motion Generation and Control for Biped Robot—1st Report: Walking Gait Pattern Generation. In Proceedings of the 2009 IEEE/RSJ International Conference on Intelligent Robots and Systems, St. Louis, MI, USA, 11–15 October 2009; pp. 1084–1091. [Google Scholar]
- Englsberger, J.; Ott, C.; Albu-Schäffer, A. Three-Dimensional Bipedal Walking Control Based on Divergent Component of Motion. IEEE Trans. Robot. 2015, 31, 355–368. [Google Scholar] [CrossRef]
















| Item | Specifications |
|---|---|
| Peak torque | Hip yaw: 83 N·m |
| Hip roll: 5000 N·m | |
| Hip pitch: 83 N·m | |
| Knee pitch: 54 N·m | |
| Ankle pitch: 36 N·m | |
| Rang of motion | Hip yaw: −90 deg∼90 deg |
| Hip roll: −15 deg∼20 deg | |
| Hip pitch: −60 deg∼90 deg | |
| Knee pitch: −120 deg∼5 deg | |
| Ankle pitch: −60 deg∼60 deg | |
| Speed | Hip yaw: 67 rpm |
| Hip roll: 30 rpm | |
| Hip pitch: 67 rpm | |
| Knee pitch: 85 rpm | |
| Ankle pitch: 127 rpm | |
| Way of actuation | Hip yaw: Servo |
| Hip roll: Linkage | |
| Hip pitch: Serve | |
| Knee pitch: Tendon | |
| Ankle pitch: Tendon |
Disclaimer/Publisher’s Note: The statements, opinions and data contained in all publications are solely those of the individual author(s) and contributor(s) and not of MDPI and/or the editor(s). MDPI and/or the editor(s) disclaim responsibility for any injury to people or property resulting from any ideas, methods, instructions or products referred to in the content. |
© 2024 by the authors. Licensee MDPI, Basel, Switzerland. This article is an open access article distributed under the terms and conditions of the Creative Commons Attribution (CC BY) license (https://creativecommons.org/licenses/by/4.0/).
Share and Cite
Tang, J.; Mou, H.; Hou, Y.; Zhu, Y.; Liu, J.; Zhang, J. A Low-Inertia and High-Stiffness Cable-Driven Biped Robot: Design, Modeling, and Control. Mathematics 2024, 12, 559. https://doi.org/10.3390/math12040559
Tang J, Mou H, Hou Y, Zhu Y, Liu J, Zhang J. A Low-Inertia and High-Stiffness Cable-Driven Biped Robot: Design, Modeling, and Control. Mathematics. 2024; 12(4):559. https://doi.org/10.3390/math12040559
Chicago/Turabian StyleTang, Jun, Haiming Mou, Yunfeng Hou, Yudi Zhu, Jian Liu, and Jianwei Zhang. 2024. "A Low-Inertia and High-Stiffness Cable-Driven Biped Robot: Design, Modeling, and Control" Mathematics 12, no. 4: 559. https://doi.org/10.3390/math12040559
APA StyleTang, J., Mou, H., Hou, Y., Zhu, Y., Liu, J., & Zhang, J. (2024). A Low-Inertia and High-Stiffness Cable-Driven Biped Robot: Design, Modeling, and Control. Mathematics, 12(4), 559. https://doi.org/10.3390/math12040559

