Abstract
Durational action timed automata (daTAs) are state transition systems like timed automata (TAs) that capture information regarding the concurrent execution of actions and their durations using maximality-based semantics. As the underlying semantics of daTAs are infinite due to the modeling of time progress, conventional model checking techniques become impractical for systems specified using daTAs. Therefore, a finite abstract representation of daTA behavior is required to enable model checking for such system specifications. For that, we propose a finite abstraction of the underlying semantics of a daTA-like region abstraction of timed automata. In addition, we highlight the unique benefits of daTAs by illustrating that they enable the verification of properties concerning concurrency and action duration that cannot be verified using the traditional TA model. We demonstrate mathematically that the number of states in durational action timed automata becomes significantly smaller than the number of states in timed automata as the number of actions increases, confirming the efficiency of daTAs in modeling behavior with action durations.
MSC:
68N30; 68Q45; 68Q60; 68Q85
1. Introduction
The specification and verification of real-time systems are critical tasks in many areas, such as embedded systems, communication networks, and industrial automation. These systems are fundamentally timed, and therefore the modeling of timing behavior must be as close as possible to the real system, taking into account the most important aspects of timed behaviors. For that purpose, several mathematical models were proposed. Some of the well-known and widely used formalisms to model timed behavior are timed automata (TAs) [1] and their variants.
Timed automata offer a rigorous and well-defined formalism used for representing real-time systems by representing their behavior as state-transition systems enriched with timing constraints by introducing the concept of clocks. Tools such as UPPAAL [2] and KRONOS [3] leverage the power of timed automata to analyze properties such as safety, liveness, and timing constraints, proving their utility in real-world applications.
Despite the popularity of timed automata, they present some limitations, especially when it comes to modeling concurrent and parallel behavior. The interleaving semantics on which the timed automata model relies assume that the execution of actions is atomic. This assumption simplifies modeling by treating actions as instantaneous events with zero duration, which is unrealistic and can lead the model to be far away from the real system in terms of behavior. One of the solutions for this problem is the use of ST-semantics [4], which consists of splitting actions into two actions representing the start and the end of that action. This solution allows for capturing an appropriate representation of the systems taking into consideration the action’s durations; however, it contributes to the state explosion problem [5]. Maximality-based semantics were introduced to address the problem of state-space explosion while capturing implicit action durations using event names.
The durational action timed automata (daTAs) introduced in [6] are a timed automata-like model that relies on a maximality-based semantics. The daTA formalism allows us to exploit the power of both the timed automata formalism and maximality semantics. We can represent many real-time system aspects using daTAs, such as action duration, timing constraints, and urgency. The daTA model encounters the problem of infinite runs to represent the behavior of the specified system due to time-passing transitions. Hence, we should define a finite abstract structure to describe the system behavior enabling us to perform model checking for real-time systems specified using daTAs.
In this paper, we propose a finite symbolic representation of the behavior of daTAs based on the region equivalence. In contrast to the action-splitting approach and as a result of using maximality-based semantics, the proposed region automaton is almost the same size as the region automaton generated from a timed automaton. Therefore, the proposed structure allows us to represent the behavior of real-time systems in a finite manner, more accurately, and without amplifying the state-space explosion problem. Additionally, such a structure will be the basis for performing model checking of real-time systems while considering action duration.
This paper is organized as follows: Section 2 provides the necessary background essential for understanding the contribution, including the various models and notions. In Section 3, we present the proposed abstraction for daTA semantics called maximality-based region automata (MRAs), introducing all the essential definitions and related concepts. We illustrate the utility of this structure through a detailed example. Section 4 discusses the verification of properties using maximality-based region automata (MRAs), including time-related properties and concurrency-related properties. In Section 5, we conduct a comparative analysis between timed automata and durational action timed automata, highlighting key differences. Section 6 discusses the related works and examines the broader implications of our contribution. Finally, Section 7 summarizes our findings and outlines directions for future research.
2. Background
2.1. Maximality-Based Labeled Transition Systems
MLTSs were first introduced by Saidouni and Courtiat in [7]. In this section, we present some basic concepts of MLTSs already illustrated by simple examples in the introduction. The formal definition of an MLTS is given in Definition 1.
Definition 1
(Maximality-Based Labeled Transition System). A Maximality-Based Labeled Transition System is a tuple with the following:
- S is a finite set of states.
- L is a finite set of action names.
- is a finite set of event names.
- is a function that associates each state with the set of maximal event names present at that state.
- is a finite set of transitions between states where elements of are labeled according to the following functions:
- –
- is a labeling function.
- –
- is a function that associates each transition with the finite state of maximal names corresponding to actions that have started their execution so that their terminations allow for the start of this transition; this set corresponds the direct causes of the transition.
- –
- is a function that associates each transition with the event name that identifies its occurrence.A transition from a state s to a state is also denoted as such that and verifies the following conditions:
- ∗
- .
- ∗
- .
- ∗
- .
Figure 1 shows an example of an MLTS representing the sequential execution of two instances of action a, in which . For instance, , , and for the transition t relating states and , and .
Figure 1.
An example of an MLTS.
2.2. Timed Automata
In this section, we first present the formal definition of timed automata [8] given in Definition 2.
Definition 2
(Timed automata). A timed automaton is a tuple with the following:
- Σ is a finite alphabet;
- S is a finite set of states;
- is a finite set of start states;
- C is a finite set of clocks;
- gives the set of transitions. An edge represents a transition from state s to state , and we write where is an action, gives the clocks to be reset, and δ is a clock constraint over C.
Figure 2 shows an example of a timed automaton T.
Figure 2.
Timed automaton T.
Definition 3
(Semantics of timed automata). A configuration of the timed automaton is a pair where is a state of and is a clock valuation. A run of (also known as a timed transition system) is a (finite or infinite) sequence of transitions between the configurations of . The transitions in a timed transition system can represent the following:
- Time passing where d is a non-negative value ;
- Action execution where (the clock valuation v satisfies the clock constraint ) and ( is the clock valuation after the clock reset of all the clocks of the set ) and there is a transition of the form in
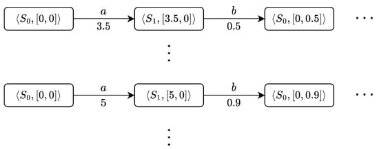
The semantics of a timed automaton, also known as runs of a timed automaton, is an infinite transition system that represents the behavior of the automaton. Figure 3 shows some possible runs of the timed automaton T.
Figure 3.
Some possible runs of T.
The infinite nature of such transition systems led to the definition of region graphs [8,9,10]. A region graph provides a finite abstraction of the possible runs of a timed automaton based on the region equivalence introduced by Alur and Dill in [8]. The region equivalence consists of grouping the states of the timed transition system that agree on the integral parts of all clock values and also on the ordering of the fractional parts of all clock values in equivalence classes called clock regions specified in Definition 4 and exemplified in Example 1.
Let and we can write t as such that denotes the integral part of t and represents the fractional part of t.
Definition 4
(Clock region). Let be a timed automaton. , and let be the largest integer c such that or is a sub-formula of a clock constrain appearing in E.
The equivalence relation ∼ is defined over the set of all clock interpretations for C, and we write iff the following:
- 1.
- , either , or and ;
- 2.
- with and , iff ;
- 3.
- with , iff .
A clock region α for is an equivalence class of clock interpretations induced by ∼.
Example 1.
Let be a timed automaton with two clocks x and y with and . Figure 4 shows the clock regions of . Note that the number of regions is finite. We have 28 regions: 6 corner points, e.g., ; 14 open line segments, e.g., ; and 8 open regions, e.g., .
Figure 4.
Clock regions of .
Definition 5
(Region successor). A clock region is a time successor of a clock region α iff there exists a positive such that
The region automaton is a transition system in which states are clock regions while transitions correspond to action execution.
Definition 6
(Region automaton). Let be a timed automaton, and the corresponding region automaton is a transition system with the following:
- The states of are of the form where is a state of and α is a clock region.
- The initial states of are of the form where is an initial state in and .
- has a transition iff there is a transition in and a region with the following:
- 1.
- is a time successor of α;
- 2.
- satisfies δ;
- 3.
- .
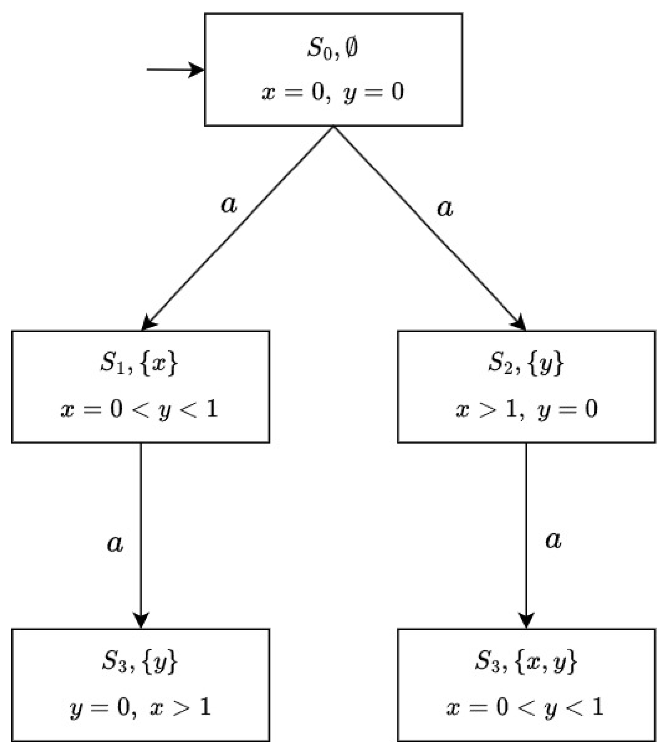
The region graph of T is shown in Figure 5.
Figure 5.
Region automaton of T.
2.3. Durational Action Timed Automata
Next, we present the necessary concepts related to the durational action timed automata (daTAs).
Definition 7
(Durational action timed automata). A durational action timed automaton (daTA) [6] is a tuple :
- S is a set of states;
- is a finite set of observable actions (the alphabet of the daTA);
- is a function that gives to each state the set F of ending conditions (duration conditions) of actions potentially in execution;
- is the initial state;
- is a finite set of clocks;
- is the set of transitions. A tuple represents a transition from state s to state by starting the action a and resetting the clock x, and we write , where G is the guard that must be satisfied to fire the transition. D is the deadline that forces the transition to be fired at the moment of its satisfaction.
We extend the functions ψ, ξ, and μ defined for an MLTS as follows:
- .
- .
- –
- .
- –
- .
- –
- .
To obtain semantically consistent daTA structures, we extend the previous definition with these conditions:
- .
- .
- .
Definition 8
(Semantics of daTA). Let be a daTA, a configuration of denoted by , where is a state of and is a clock valuation. A run of is an infinite sequence of transitions between configurations of . The transitions of the resulting timed transition system are of two types:
- Time-passing transitions
- Action execution transitions
2.4. Interleaving Semantics vs. Maximality Semantics
Verification of timed and untimed concurrent systems relies on the semantics of a specification model. Most models use interleaving-based semantics where actions are assumed to be atomic. The atomicity hypothesis considers actions to have zero duration and cannot be interrupted. Despite the simplicity of interleaving semantics, it has several inconveniences. First, these semantics interpret concurrent executions of actions in terms of their overlapping executions. Figure 6 illustrates the incompatibility between interleaving semantics and the hypothesis of non-atomic actions as asserted in [11,12,13,14,15]. System shown in Figure 6a represents a choice between the execution of two sequential actions, denoted by a and b. Figure 6b shows the system that represents the execution of two concurrent actions a and b. According to the interleaving semantics, these two systems are equivalent as they have the same state space shown in Figure 6c. This equivalence relies on the assumption that action execution is instantaneous where the duration of both actions, and , is zero.
Figure 6.
Interleaving semantics.
In contrast, we can distinguish between the executions of the two systems by considering that actions a and b have nonzero durations, denoted by and , respectively. The duration of the execution of , represented by , is computed by the sum of the durations of the actions a and b, i.e., . On the contrary, the duration of the execution of , denoted by , is determined by the maximum duration between actions a and b, i.e., . Thus, we can conclude that the behavior of the two systems is different since is greater than . This difference cannot be captured by interleaving semantics.
Another way to illustrate the difference between systems and is to consider that actions a and b consist of two sub-actions. Figure 7 depicts the execution of on the left-hand side, and the execution of on the right-hand side, where followed by represents the starting and ending of a, respectively, and followed by represents the starting and ending of b, respectively. In fact, systems and are not even trace-equivalent, as this figure shows. This idea leads to the definition of true-concurrency semantics, known as ST-semantics [4]. Although ST-semantics allow us to distinguish between sequential and concurrent behavior, we can notice a significant growth in the size of the generated state space.
Figure 7.
Action splitting.
Maximality semantics have been defined and proved equivalent to the ST-semantics. Maximality-based semantics address the problem of state-space explosion [5] by adding implicit action durations using event names. Therefore, maximality semantics allow us to capture the behavioral differences between these systems while maintaining the same number of states generated using interleaving semantics. Figure 8 shows the state spaces of systems and according to the maximality semantics. Those structures are named Maximality-based Labeled Transition Systems (MLTSs). In such structures, we label each state with a set of events corresponding to actions either in execution or finished. We observe that in the MLTS of system , the event name set present in the final state indicates that actions a and b can be executed concurrently, whereas in the MLTS of system , there is at most one action a or b in execution represented by the singleton in all states.
Figure 8.
State spaces of system and system using maximality-based semantics.
In MLTSs, event names associated with actions represent the beginning of action execution, see in Figure 8a. This notation allows us to differentiate when two instances of the same action are in execution in concurrency. This problem is illustrated in Figure 9a. In this figure, the system executes two instances of the same action a at the same time (auto-concurrent). In this case, using action names as event names does not allow for differentiating the action in execution, see in Figure 9b. In addition, Figure 9c shows that we can differentiate between both instances using the event names x and y instead.
Figure 9.
Auto-concurrency in maximality semantics.
3. A Region-Based Abstraction of daTA Semantics
This section presents the main contribution of this work. We define a finite symbolic representation of timed transition systems for the verification of real-time systems specified using the daTA formalism in a similar fashion as for timed automata. To achieve this, we define a relation of equivalence over the configuration of the transition system known as region equivalence. This relation groups the daTA configurations that belong to the same equivalence class. Those equivalence classes are called clock regions. In addition, we define a successor relation over the set of equivalence classes. Hence, reachable regions are the states of the region automata, and the successor relation provides the transitions between regions.
3.1. Region Equivalence and Region Successor
As stated in the introduction, the main advantage introduced in the daTAs is considering action durations. We also highlighted that it is also possible to consider action duration using timed automata by breaking each action into its start and end. To exploit the benefits of the daTA and timed automata models, we carry the information on action durations and their concurrent execution to the region level using a similar notion of region equivalence and region successor relations as the relations defined by Alur and Dill presented in Definitions 4 and 5, respectively.
3.2. Constructing the Time Successors of a Region
To obtain time successors of a region, we proceed the same way as in [8]. First, remember that a clock region is defined by providing the following:
- A constraint of the form or or for every clock x;
- The ordering relationship between and for every pair where and appear in .
Before constructing the time successors of a region, note that the time successor relation is transitive. To obtain all the time successors of a clock region , we proceed as follows:
- If all the clock constraints of are of the form , then the only time successor of is itself.
- If there is a nonempty set consisting of clocks x such that satisfies the constraint where , then as time progresses, the fractional parts of the clocks in become nonzero, and the clock region changes immediately. The time successors of are the same as the time successors of the clock region specified below:
- (a)
- For every clock , satisfies , and if , then satisfies ; otherwise, satisfies .
- (b)
- For clocks where and hold in , the ordering relationship in between and is the same as that in .
- If neither of the above cases applies, we define as the set of clocks x for which does not satisfy and x has the maximal fractional part among all such clocks. As time progresses, the clocks in take integer values. The successors of are itself and and its successors, where is the clock region specified below:
- (a)
- For , if satisfies , then satisfies .
- (b)
- For , the constraint in is the same as that in .
- (c)
- For clocks such that and appear in , the ordering relationship in between and is the same as that in .
3.3. Adding Information About Action Execution to Clock Regions
We annotate the constructed clock regions by event names corresponding to actions currently in execution using the functions and defined for daTA. Let be the set of actions currently in execution in a region given by the following expression:
where s is the origin state of the transition t.
3.4. Constructing the Maximality-Based Region Automaton
We construct the maximality-based region automaton (MRA) based on the region successor relation according to the steps outlined in Section 3.2. First, we calculate the successors. Then, we keep only regions satisfying the guard and the deadline. These regions are reachable by executing the action name present in the transition. Finally, we annotate the reachable clock regions with the set of actions currently in execution according to Section 3.3.
3.5. Maximality-Based Region Automaton
The finite symbolic representation of the infinite runs of daTAs is referred to as a maximality-based region automaton (MRA), as presented in Definition 9 and illustrated through Example 2.
Definition 9
(Maximality-based region automaton). Let be a daTA, and the corresponding region automaton is a transition system:
- The states of are of the form where is a state of and α is a clock region.
- The initial state of is of the form where is the initial state of and .
- has a transition iff there is a transition in and a region such that there is the following:
- 1.
- is a time successor of α;
- 2.
- ;
- 3.
- ;
- 4.
- .
- is a function that gives the set of clocks related to the actions currently in execution for a state of .
Example 2
(Maximality-based region automaton). The daTA , in Figure 10, represents a system consisting of the concurrent execution of two actions, a and b, along with its associated maximality-based region automaton (MRA). The construction of the MRA was according to the region successor relation outlined in Section 3.2. Observing the daTA , we can deduce that if we initiate the execution with action a, action b will not be executed until the completion of a, due to the duration condition specified in , indicating that the duration of a is 1 unit of time. Conversely, the execution of b can only occur when holds, implying that an execution starting with a will be sequential. However, if the execution begins with b, a can be executed concurrently.
Figure 10.
The daTA and its associated maximality-based region automaton.
The MRA captures the information concerning action execution by exploiting the maximality semantics. In the MRA of Figure 10, we can observe a distinction between two regions representing the state . The region resulting from starting with a only has the event name y, indicating that only b can be currently in execution. In contrast, the other region has two event names, x and y, signifying that both a and b can be currently in execution simultaneously.
The system of Figure 11 is similar to the system where the duration of a is two units of time instead of one. We can observe the difference between the system and by comparing their MRAs. We recognize that the execution of the actions is parallel whenever we begin with the execution of a or b in system since we have both event names x and y in the regions corresponding to the state . However, this is not the case for the system . Hence, using maximality-based semantics allows us to differentiate more precisely between the behavior of timed systems and especially having concurrent behavior.
Figure 11.
The daTA and its associated maximality-based region automaton.
4. Model Checking Maximality-Based Region Automata
Maximality-based region automata offer a solid basis for the verification of two kinds of properties: time-related properties and concurrency-related properties.
The verification of time-related properties using MRAs can be performed by exploiting the different temporal logics developed for the verification of such properties using timed automata. The reuse of such logic is possible since region graphs and maximality-based region automata are structurally similar. In fact, the result of deleting the information regarding the concurrent execution of actions from an MRA is the classical region graph defined by Alur and Dill [8]. Thus, we can either use linear temporal logics, such as Metric Interval Temporal Logic (MITL) [16] (this logic offers temporal operators such as always, eventually, and until, annotated with time intervals), or use branching time logics, such as Timed Computation Tree Logic (TCTL) [17]. Those temporal logics can be used to specify real-time system requirements, which model checkers can use to verify properties related to timed behavior, such as bounded response.
The verification of concurrency-related properties can only be verified using MRAs. This was made possible by the additional information about the concurrent execution of actions present in the states of the MRA. For that, the work introduced in [18] shows a way to express concurrency-related properties by extending the Computational Tree Logic (CTL) [19,20].
To illustrate the kind of properties we can verify using this extension, let S be a state of an MLTS as shown in Figure 12. This state represents the possibility that four actions are executed in parallel. Note that two or more event names can represent the execution of two or more instances of the same action. For example, let x, y, and z be related to action a and t to action b; here, we can verify properties such as the auto-concurrency (multiple instances of the same action) in the state S for both actions a and b (3 executions of a and 1 execution of b).
Figure 12.
A state S of an MLTS.
The authors made the verification of such properties possible by extending the CTL logic with formulas of the form where n is an integer representing the number of parallel executions of the action . The introduced formulas allow for the verification of properties like or , where the first formula means that there is an execution path where the system may be in a state where two simultaneous executions of action a are possible, and the second formula states that there is an execution path where, in all encountered states, two simultaneous executions of action a are possible. Here, the authors have extended the CTL logic to analyze properties related to true concurrency in a system.
Note that formulas related to concurrency properties may be refined by using fine-grain information. For example, extending the formula to , where represents the minimum number of executions of the action , and represents the maximum.
To show the possibility of using this work for the maximality-based region automaton, we take as an example the MRA shown in Figure 13 that represents the parallel execution of two instances of the action a. We can verify properties as or or on the example, and we can deduce that both and are true, while is false.
Figure 13.
An MRA representing the parallel execution of two instances of the action a.
Extending temporal logics such as MITL and TCTL with formulas to verify concurrency-related properties for the MRA model will expand its usefulness.
5. Comparative Analysis
This analysis compares the region graph sizes generated from timed automata (TAs) and durational action timed automata (daTAs). The foundational work by Alur and Dill [8] established that the number of states in a region automaton derived from a timed automaton A is given by the following:
where denotes the number of states in A, and represents the number of the clock constraints in A. This formulation highlights that the size of the generated region automaton is significantly influenced by two factors, the number of clock constraints and the number of states in the corresponding timed automaton. We will show mathematically that the number of states in the TAs grows more rapidly than the number of states in the daTAs for representing the same system. The analysis is performed under the following assumptions:
- All actions have a duration greater than zero.
- There are no timing constraints on action execution.
We use an approach based on best-case and worst-case scenarios to establish lower and upper bounds on the number of states required to represent identical behaviors using a TA versus a daTA. In the best-case scenario, where all actions are executed sequentially, the number of states is minimal due to the linear progression of actions. In contrast, in the worst-case scenario, where actions are executed in parallel, the number of states is maximal due to the combinatorial explosion of possible concurrent states. Then, we analyze the intermediate case where we have parallel behaviors in which we add both parallel and sequential behavior to some paths (a combination of parallel and sequential execution).
Let n be the number of actions, be the number of states in the timed automaton, and be the number of states in the durational action timed automaton.
5.1. Sequential Behavior
In the base case where , we have the following:
For , the execution of one action a using a TA and a daTA is depicted in Figure 14, and we have the following:
Figure 14.
An execution of one sequential action a represented by a TA and a daTA.
For , the execution of two sequential actions a and b is shown in Figure 15, and we have the following:
Figure 15.
An execution of two sequential actions a and b represented by a TA and a daTA.
From these observations, we can deduce by mathematical induction the following lemmas:
Lemma 1.
For a timed automaton (TA) representing sequential behavior with n actions, the number of states is given by the following:
Proof of Lemma 1.
- Base case (n = 0): When there are no actions, the TA has only one state (the initial state). Thus, . The base case holds.
- Inductive step:
- Assume the formula holds for actions, and the number of states is .
- For , adding a new action introduces two new states (one to represent the action being executed and one to represent action completion).
- Therefore, the total number of states for is as follows:
- Thus, the formula holds for .
By mathematical induction, the lemma is proven for all . □
Lemma 2.
For a durational action timed automata (daTAs) representing sequential behavior with n actions, the number of states is given by the following:
Proof of Lemma 2.
- Base case (n = 0): When there are no actions, the daTA has only one state (the initial state). Thus, . The base case holds.
- Inductive step:
- Assume the formula holds for actions, and the number of states is .
- For , adding a new action introduces one additional state.
- Therefore, the total number of states for is as follows:
- Thus, the formula holds for .
By mathematical induction, the lemma is proven for all . □
5.2. Parallel Behavior
We now analyze the case where actions execute in parallel. The results for and remain the same, as there is no parallelism with zero or one action. The difference appears with two parallel actions. For , the execution of two parallel actions, a and b, is illustrated in Figure 16. We have the following:
Figure 16.
An execution of two parallel actions a and b represented by a TA and a daTA.
From this analysis, we can deduce the following lemmas for parallel actions:
Lemma 3.
For a timed automaton (TA) representing parallel behavior with n actions, the number of states is given by the following:
Proof of Lemma 3.
- Base case (n = 0): When there are no actions, the TA has only one state (the initial state). Thus, . The base case holds.
- Inductive step:
- Assume the formula holds for actions, and the number of states is .
- For , adding a new action triples the number of states to represent the possible combinations of completing the parallel actions.
- Therefore, the total number of states for is as follows:
- Thus, the formula holds for .
By mathematical induction, the lemma is proven for all . □
Lemma 4.
For a durational action timed automaton (daTA) representing parallel behavior with n actions, the number of states is given by the following:
Proof of Lemma 4.
- Base case (n = 0): When there are no actions, the daTA has only one state (the initial state). Thus, . The base case holds.
- Inductive step:
- Assume the formula holds for actions, and the number of states is .
- For , adding a new action doubles the number of states to represent the possible combinations of completing the parallel actions.
- Therefore, the total number of states for is as follows:
- Thus, the formula holds for .
By mathematical induction, the lemma is proven for all . □
Theorem 1.
For any behavioral representation of n actions using timed automata (TAs) or durational action timed automata (daTAs), the number of states is bounded by the following inequalities:
Proof of Theorem 1.
- The lower bounds and correspond to the sequential case, proven in Lemmas 1 and 2.
- The upper bounds and correspond to the parallel case, proven in Lemmas 3 and 4.
- Any other execution, mixing sequential and parallel execution, will result in a number of states within these bounds.
Therefore, these bounds are tight and complete for all possible behavior representations using TAs or daTAs. □
5.3. Sequential Behavior Under Parallelism
In this section, we will analyze cases where we have a combination of parallel and sequential actions.
Lemma 5.
For a timed automaton (TA) representing a combination of parallel and sequential behaviors with sequential actions and parallel actions, the number of states is given by the following:
Proof of Lemma 5.
- Base case (n = 0): When there are no actions, the TA has only one state (the initial state). Thus, . The base case holds.
- Inductive step:
- Assume the formula holds for sequential actions and parallel actions.
- For and , adding a new sequential action introduces two new states, and adding a new parallel action triples the number of states.
- Therefore, the total number of states for and is as follows:
- Thus, the formula holds for and .
By mathematical induction, the lemma is proven for all . □
Lemma 6.
For a durational action timed automaton (daTA) representing a combination of parallel and sequential behaviors with sequential actions and parallel actions, the number of states is given by the following:
Proof of Lemma 6.
- Base case (n = 0): When there are no actions, the daTA has only one state (the initial state). Thus, . The base case holds.
- Inductive step:
- Assume the formula holds for sequential actions and parallel actions.
- For and , adding a new sequential action introduces a new state, and adding a new parallel action doubles the number of states.
- Therefore, the total number of states for and is as follows:
- Thus, the formula holds for and .
By mathematical induction, the lemma is proven for all . □
Theorem 2.
For a number of actions n,
Proof of Theorem 2.
- We start with the limit expression
- We need to analyze the limits of the two components:
- And
- We deduce the limit:
□
Theorem 2 demonstrates that the number of states in durational action timed automata become significantly smaller than the number of states in timed automata as the number of actions increases, confirming the efficiency of daTAs in modeling behavior with action durations. As a result, the overhead caused by handling the additional information about the concurrent execution of actions in the daTA model has minimal impact.
6. Related Work and Discussion
The need for the specification and verification of real-time systems has led to the definition of various formal models, each addressing different aspects of real-time systems. Among these models, timed automata [8] emerged as the pioneering and widely used model for specifying and verifying real-time systems. This model is well-defined, has a solid theoretical foundation, is easy to use, and is widely adopted by real-time verification tools, such as UPPAAL [2,21,22] and KRONOS [3]. Over time, we saw the emergence of numerous variants of timed automata, incorporating various aspects of timed systems and enhancing the expressiveness of the model. However, a notable drawback of timed automata and their variants lies in representing actions with nonzero durations. These formalisms consider action durations by splitting actions into a start and an end; hence, this approach amplifies the state-space explosion problem.
Timed Automata with Non-Instantaneous Actions in [23] is a variant of timed automata considering the representation of actions with nonzero durations. This model introduced the concept of initiation and completion constraints, as well as initiation and completion resets, associated with the beginning and end of an action, respectively. These constraints and resets enable the modeling of actions with nonzero durations. Although, the model keeps the assumption that actions are structurally indivisible, which restricts the model’s ability to represent parallel behavior.
In [24], High-level Colored Time Petri Nets have been proposed as a true concurrency specification model. The interest of this model is to capture the multi-enableness of transitions. By the way, the underlying semantics are step semantics. As a result, only reachability properties have been considered for specified systems. The use of maximality semantics for Petri Nets [25], Recursive Petri Nets [26], and Time Petri Nets with Action Duration (DTPN) [27] allows for the consideration of branching time properties through maximality-based bissimulation and timed bissimulation relations.
Several works tried to define a finite abstraction to represent the state space of a daTA. Matmat et al. [28] proposed a clock region-based structure called the maximality-based region graph (MRG). Although an MRG is defined as a region graph, we can see that the authors represented the time passing by in their definition of the MRG. In contrast, region graphs are defined as untimed transition systems. Boukharrou et al. [29] proposed a structure named the spatio-temporal region graph (ST-RG) for a variant of daTAs, called the spatio-temporal planning system (STPS), to capture the behavior of ambient agents considering two aspects, time and geographic location. The proposed ST-RG suffers from the same problem as MRGs since it contains time-passing transitions and does not conform to the region graph definition. The work of Hachichi et al. [30] used the same region graph defined for timed automata without adding information about action execution. This loses the primary information represented in daTAs, the action durations and concurrency.
This work provides researchers with a new finite symbolic representation of daTA semantics to take advantage of the benefits provided by this formalism to model the action duration in real-time systems. The proposed structure, known as the maximality-based region automaton (MRA), accurately captures the behavior of real-time systems considering action duration while maintaining a reasonable size of the resulting state space.
Using timed automata may lead to an inaccurate behavior representation of timed systems when assuming action atomicity, since action duration is an important factor when specifying real-time systems. Using ST-semantics allows for capturing system behavior while considering action durations, although this approach suffers from the state-space explosion problem. To face these problems, our approach comprises the benefits of both timed automata and ST-semantics while avoiding their limitations since it uses maximality-based semantics as the underlying semantics of the daTA model (MRAs).
Another limitation of the timed automata model is the exponential growth in the number of clock regions [31,32], which is directly proportional to the number of clocks according to the formula
This exponential growth is an obstacle to perform model checking on real-time systems specified using timed automata. However, the daTA model addresses this issue by effectively reusing clocks whenever possible through maximality-based semantics. Consequently, using daTA and MRA specifications significantly reduces the number of clock regions. Furthermore, this work enables the use of high-level specification models whose semantics are based on daTAs, such as DTPNs [27], D-LOTOS [33], and TimeAgLOTOS [29]. These formalisms were specifically conceived for real-time and ambient intelligence systems and can be used as a robust foundation for the verification of real-time systems.
7. Conclusions and Future Work
We have introduced a finite abstract representation of the daTA semantics called maximality-based region automata (MRA). We have addressed the challenges associated with accurately representing real-time behavior while considering action durations, overcoming the limitations of timed automata, and managing the state-space explosion problem. We have successfully integrated the benefits of timed automata and maximality semantics, resulting in a more accurate and scalable model for verifying real-time systems. In fact, the use of maximality-based semantics allows for the consideration of durations related to actions composing the specified system. In addition, the approach also enables the use of high-level specification models based on daTAs, such as D-LOTOS and DTPN, to offer a robust foundation for verifying real-time systems.
This work has made significant progress in paving the road for the verification of real-time systems, although there are still several challenges for future research and development. First, handling the state-space explosion problem using the zone-based abstraction [34,35,36]. Defining such an abstraction will result in a considerable reduction in the state space, leading to more efficient verification regarding space and time. Second, the definition of efficient model checking algorithms based on MRAs, achieved by combining the model checking algorithms defined for real-time systems and the ones developed for maximality-based semantics [37].
Author Contributions
Conceptualization, D.E.S. and G.D.; Methodology, A.B.; Formal analysis, A.B. and G.D.; Writing—original draft, A.B. and D.E.S.; Writing—review & editing, D.E.S. and G.D.; Supervision, D.E.S. and G.D.; Funding acquisition, G.D. All authors have read and agreed to the published version of the manuscript.
Funding
This research was funded by the Ministerio de Ciencia, Innovación y Universidades, Agencia Estatal de Investigación, MICIU/AEI/10.13039/501100011033 grant number PID2021-122215NB-C32, European Regional Development Found EU grant numbers PID2021-122215NB-C32 and 2022-GRIN-34113 and University of Castilla-La Mancha grant number 2022-GRIN-34113.
Data Availability Statement
The original contributions presented in the study are included in the article, further inquiries can be directed to the corresponding author.
Conflicts of Interest
The authors declare no conflicts of interest.
References
- Alur, R.; Dill, D. Automata for modeling real-time systems. In Automata, Languages and Programming; Springer: Berlin/Heidelberg, Germany, 1990; pp. 322–335. [Google Scholar] [CrossRef]
- Behrmann, G.; David, A.; Larsen, K.G.; Håkansson, J.; Pettersson, P.; Yi, W.; Hendriks, M. Uppaal 4.0; IEEE Computer Society: Los Alamitos, CA, USA, 2006. [Google Scholar]
- Bozga, M.; Daws, C.; Maler, O.; Olivero, A.; Tripakis, S.; Yovine, S. Kronos: A model-checking tool for real-time systems. In Formal Techniques in Real-Time and Fault-Tolerant Systems; Ravn, A.P., Rischel, H., Eds.; Lecture Notes in Computer Science; Springer: Berlin/Heidelberg, Germany, 1998; pp. 298–302. [Google Scholar] [CrossRef]
- Van Glabbeek, R.J. The Refinement Theorem for ST-Bisimulation Semantics; Centre for Mathematics and Computer Science: Waterloo, ON, Canada, 1990. [Google Scholar]
- Clarke, E.M.; Klieber, W.; Nováček, M.; Zuliani, P. Model Checking and the State Explosion Problem. In Tools for Practical Software Verification: LASER, International Summer School 2011, Elba Island, Italy, Revised Tutorial Lectures; Meyer, B., Nordio, M., Eds.; Lecture Notes in Computer Science; Springer: Berlin/Heidelberg, Germany, 2012; pp. 1–30. [Google Scholar] [CrossRef]
- Saïdouni, D.E.; Belala, N. Actions duration in timed models. In Proceedings of the International Arab Conference on Information Technology (ACIT), Abu Dhabi, United Arab Emirates, 22–24 November 2006. [Google Scholar]
- Courtiat, J.P.; Saïdouni, D.E. Relating Maximality-based Semantics to Action Refinement in Process Algebras. In Formal Description Techniques VII: Proceedings of the 7th IFIP WG 6.1 International Conference on Formal Description Techniques, Montreal, QC, Canada, 2–5 October 1995; Hogrefe, D., Leue, S., Eds.; Springer: Boston, MA, USA, 1995; pp. 293–308. [Google Scholar] [CrossRef]
- Alur, R.; Dill, D.L. A theory of timed automata. Theor. Comput. Sci. 1994, 126, 183–235. [Google Scholar] [CrossRef]
- Alur, R.; Madhusudan, P. Decision Problems for Timed Automata: A Survey. In Formal Methods for the Design of Real-Time Systems; Springer: Berlin/Heidelberg, Germany, 2004; pp. 1–24. [Google Scholar] [CrossRef]
- Bérard, B. An Introduction to Timed Automata. In Control of Discrete-Event Systems; Springer: London, UK, 2013; pp. 169–187. [Google Scholar] [CrossRef]
- Glabbeek, R.J.v. Comparative Concurrency Semantics and Refinement of Actions. Ph.D. Thesis, CWI, Amsterdam, The Netherlands, 1996. [Google Scholar]
- Boudol, G.; Castellani, I. A Non-Interleaving Semantics for CCS Based on Proved Transitions. Fundam. Informaticae 1988, 11, 433–452. [Google Scholar] [CrossRef]
- Darondeau, P.; Degano, P. About Semantic Action Refinement. Fundam. Informaticae 1991, 14, 221–234. [Google Scholar] [CrossRef]
- Gorrieri, R.; Laneve, C. Split and ST bisimulation semantics. Inf. Comput. 1995, 118, 272–288. [Google Scholar] [CrossRef]
- Boudol, G.; Castellani, I. Concurrency and atomicity. Theor. Comput. Sci. 1988, 59, 25–84. [Google Scholar] [CrossRef][Green Version]
- Henzinger, T.A. The Temporal Specification and Verification of Real-Time Systems; Stanford University: Stanford, CA, USA, 1991. [Google Scholar]
- Alur, R.; Courcoubetis, C.; Dill, D. Model-Checking in Dense Real-Time. Inf. Comput. 1993, 104, 2–34. [Google Scholar] [CrossRef]
- Saidouni, D.E.; Belala, N. Using Maximality-Based Labeled Transition System Model for Concurrency Logic Verification. Int. Arab. J. Inf. Technol. 2005, 2, 199–205. [Google Scholar]
- Clarke, E.M.; Emerson, E.A. Design and synthesis of synchronization skeletons using branching time temporal logic. In Logics of Programs; Kozen, D., Ed.; Springer: Berlin/Heidelberg, Germany, 1982; pp. 52–71. [Google Scholar] [CrossRef]
- Quielle, J.P.; Sifakis, J. Specification and verification of concurrent programs in CESAR. In Proceedings of the Fifth International Symposium in Programming, San Diego, CA, USA, 9–12 March 1981. [Google Scholar]
- Vaandrager, F. A First Introduction to uppaal. In Deliverable No.: D5.12 Title of Deliverable: Industrial Handbook; Citeseer: Princeton, NJ, USA, 2011; Volume 18. [Google Scholar]
- Behrmann, G.; David, A.; Larsen, K.G. A Tutorial on Uppaal. In Formal Methods for the Design of Real-Time Systems: International School on Formal Methods for the Design of Computer, Communication, and Software Systems, Bertinora, Italy, 13–18 September 2004, Revised Lectures; Bernardo, M., Corradini, F., Eds.; Springer: Berlin/Heidelberg, Germany, 2004; pp. 200–236. [Google Scholar] [CrossRef]
- Barbuti, R.; De Francesco, N.; Tesei, L. Timed Automata with non-Instantaneous Actions. Fundam. Informaticae 2001, 47, 189–200. [Google Scholar]
- Haur, I.; Béchennec, J.L.; Roux, O.H. High-level Colored Time Petri Nets for true concurrency modeling in real-time software. In Proceedings of the 2022 8th International Conference on Control, Decision and Information Technologies (CoDIT), Istanbul, Turkey, 17–20 May 2022; Volume 1, pp. 21–26. [Google Scholar] [CrossRef]
- Saidouni, D.E.; Belala, N.; Bouneb, M. Using Maximality-Based Labelled Transition System as a Model for Petri Nets. Int. Arab. J. Inf. Technol. 2009, 6, 441–447. [Google Scholar]
- Bouneb, M.; Saidouni, D.E.; Ilie, J.M. A reduced maximality labeled transition system generation for recursive Petri nets. Form. Asp. Comput. 2015, 27, 951–973. [Google Scholar] [CrossRef]
- Belala, N.; Saïdouni, D.E.; Boukharrou, R.; Chaouche, A.C.; Seraoui, A.; Chachoua, A. Time Petri Nets with Action Duration: A True Concurrency Real-Time Model. Int. J. Embed.-Real-Time Commun. Syst. 2013, 4, 62–83. [Google Scholar] [CrossRef][Green Version]
- Matmat, R.; Kitouni, I.; Guellati, S.; Saidouni, D.E. Maximality-based Region Graph: A Novel Alternative. In Proceedings of the International Conference on Advanced Aspects of Software Engineering ICAASE, Constantine, Algeria, 2–4 November 2014; p. 8. [Google Scholar]
- Boukharrou, R.; Ilié, J.M.; Saidouni, D.E. Contextual time reasoning for mobile ambient agents. Int. J. Wirel. Mob. Comput. 2016, 10, 250–260. [Google Scholar] [CrossRef]
- Hachichi, H.; Kitouni, I.; Saidouni, D.E. Graph grammar approach for transforming DATA. In Proceedings of the 2012 6th International Conference on Sciences of Electronics, Technologies of Information and Telecommunications (SETIT), Sousse, Tunisia, 21–24 March 2012; pp. 7–12. [Google Scholar] [CrossRef]
- Courcoubetis, C.; Yannakakis, M. Minimum and maximum delay problems in real-time systems. Form. Methods Syst. Des. 1992, 1, 385–415. [Google Scholar] [CrossRef]
- Alur, R. Timed Automata. In Computer Aided Verification; Halbwachs, N., Peled, D., Eds.; Springer: Berlin/Heidelberg, Germany, 1999; pp. 8–22. [Google Scholar] [CrossRef]
- Saïdouni, D.E.; Courtiat, J.P. Prise en compte des durées d’action dans les algèbres de processus par l’utilisation de la sémantique de maximalité. In Proceedings of the CFIP, Paris, France, 7–10 October 2003. [Google Scholar]
- Alur, R.; Courcoubetis, C.; Dill, D.; Halbwachs, N.; Wong-Toi, H. An implementation of three algorithms for timing verification based on automata emptiness. In Proceedings of the [1992] Proceedings Real-Time Systems Symposium, Phoenix, AZ, USA, 2–4 December 1992; pp. 157–166. [Google Scholar] [CrossRef]
- Henzinger, T.A.; Nicollin, X.; Sifakis, J.; Yovine, S. Symbolic Model Checking for Real-Time Systems. Inf. Comput. 1994, 111, 193–244. [Google Scholar] [CrossRef]
- Bouyer, P.; Fahrenberg, U.; Larsen, K.G.; Markey, N.; Ouaknine, J.; Worrell, J. Model Checking Real-Time Systems. In Handbook of Model Checking; Clarke, E.M., Henzinger, T.A., Veith, H., Bloem, R., Eds.; Springer International Publishing: Cham, Switzerland, 2018; pp. 1001–1046. [Google Scholar] [CrossRef]
- Clarke, E.M.; Henzinger, T.A.; Veith, H.; Bloem, R. (Eds.) Handbook of Model Checking; Springer International Publishing: Berlin/Heidelberg, Germany, 2018. [Google Scholar] [CrossRef]
Disclaimer/Publisher’s Note: The statements, opinions and data contained in all publications are solely those of the individual author(s) and contributor(s) and not of MDPI and/or the editor(s). MDPI and/or the editor(s) disclaim responsibility for any injury to people or property resulting from any ideas, methods, instructions or products referred to in the content. |
© 2024 by the authors. Licensee MDPI, Basel, Switzerland. This article is an open access article distributed under the terms and conditions of the Creative Commons Attribution (CC BY) license (https://creativecommons.org/licenses/by/4.0/).















