Trajectory Tracking of a 2-Degrees-of-Freedom Serial Flexible Joint Robot Using an Active Disturbance Rejection Controller Approach
Abstract
1. Introduction
2. Methodology
2.1. The 2DOF Serial Flexible Joint Robot
2.1.1. Schematic Representation
- : currents.
- : torque and , where is the torque constant for motor i.
- : Load moments inertia for the links .
- : Intermediary load viscous damping coefficients for the links .
- : Flexible joint torsional stiffness constants for the joint i.
- : Angular position for the links i.
- : Angular position for motor i.
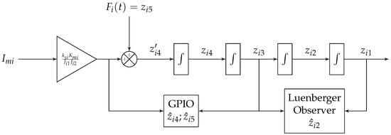
2.1.2. Space State Modeling of the System
Stage 1 Space State Model
Stage 2 Space State Model
2.2. Flatness Controller-Based ADRC Design
Flat Output Computation
2.3. Control Design-Based ADRC
2.4. Experimental Design
- Partial State Feedback Controller: This controller aims to represent the oscillatory nature of the system and demonstrate that position control cannot be achieved using this control scheme.
- Full State Feedback Controller with LQR Gains: This experiment seeks to compare the designed controller with another optimal control scheme based on the LQR methodology.
- ADRC with Differential Flatness: This experiment demonstrates the results obtained from the controller designed specifically for this study.
- ADRC with Differential Flatness under External Disturbances: Three masses are distributed across the two stages of the robot to evaluate the robustness of the controller in the presence of unknown external disturbances.
3. Experimental Results
3.1. Experimental Setup
- Power amplifier: Quanser AMPAQ current amplifier.
- Data acquisition device: Q8-USB, QPID/QPIDe.
- Experimental platform: Quanser 2DOF Serial Flexible Joint Robot.
- Computer with Matlab-Simulink.

3.2. Problem Formulation: Trajectory Tracking
3.3. Partial State Feedback Controller
3.3.1. Stage 1
3.3.2. Stage 2 Space State Model
3.4. State Feedback Controller with LQR Gains
3.4.1. LQR Controller Stage 1
3.4.2. LQR Controller Stage 2
3.5. Active Disturbance Rejection Control
3.5.1. ADRC Stage 1
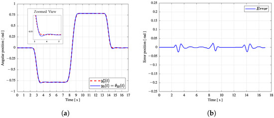
3.5.2. ADRC Stage 2
3.6. Active Disturbance Rejection Control—External Disturbance
3.6.1. ADRC Stage 1 Perturbed
3.6.2. ADRC Stage 2 Perturbed
3.7. Comparison of Results
4. Conclusions and Future Work
Author Contributions
Funding
Data Availability Statement
Conflicts of Interest
Abbreviations
| FJR | Flexible Joint Robots |
| CMST | Constant Mode Shapes Technique |
| ODE | Ordinary Differential Equation |
| PDE | Partial Differential Equation |
| ANCTC | Adaptive Noise Cancellation-based Tracking Controller |
| MPC | Model Predictive Control |
| CNS | Central Nervous System |
| SMC | Sliding Mode Control |
| ADRC | Active Disturbance Rejection Control |
| GPIO | Generalized Proportional Integral Observer |
| DOF | Degrees of Freedom |
| SRFJ | Serial Robot with Flexible Joints |
| LQR | Linear Quadratic Regulator |
| MSE | Mean Squared Error |
References
- Pena, A.; Tejada, J.C.; Gonzalez-Ruiz, J.D.; Sepúlveda-Cano, L.M.; Chiclana, F.; Caraffini, F.; Gongora, M. An evolutionary intelligent control system for a flexible joints robot. Appl. Soft Comput. 2023, 135, 110043. [Google Scholar] [CrossRef]
- Makris, S.; Tsarouchi, P.; Matthaiakis, A.S.; Athanasatos, A.; Chatzigeorgiou, X.; Stefos, M.; Giavridis, K.; Aivaliotis, S. Dual arm robot in cooperation with humans for flexible assembly. CIRP Ann. 2017, 66, 13–16. [Google Scholar] [CrossRef]
- Ozgoli, S.; Taghirad, H.D. A Survey on the Control of Flexible Joint Robots. Asian J. Control 2006, 8, 332–344. [Google Scholar] [CrossRef]
- Ramirez-Neria, M.; Ochoa-Ortega, G.; Lozada-Castillo, N.; Trujano-Cabrera, M.A.; Campos-Lopez, J.P.; Luviano-Juarez, A. On the Robust Trajectory Tracking Task for Flexible-Joint Robotic Arm with Unmodeled Dynamics. IEEE Access 2016, 4, 7816–7827. [Google Scholar] [CrossRef]
- Wolf, S.; Hirzinger, G. A new variable stiffness design: Matching requirements of the next robot generation. In Proceedings of the IEEE International Conference on Robotics and Automation 2008, Pasadena, CA, USA, 19–23 May 2008; pp. 1741–1746. [Google Scholar] [CrossRef]
- Villani, L.; De Schutter, J. Force Control. In Springer Handbook of Robotics; Springer: Berlin/Heidelberg, Germany, 2008; pp. 161–185. [Google Scholar] [CrossRef]
- Lester, L.E.; Bevins, J.W.; Hughes, C.; Rai, A.; Whalley, H.; Arafa, M.; Shepherd, D.E.; Hukins, D.W. Range of motion of the metacarpophalangeal joint in rheumatoid patients, with and without a flexible joint replacement prosthesis, compared with normal subjects. Clin. Biomech. 2012, 27, 449–452. [Google Scholar] [CrossRef]
- Sabatini, M.; Gasbarri, P.; Monti, R.; Palmerini, G.B. Vibration control of a flexible space manipulator during on orbit operations. Acta Astronaut. 2012, 73, 109–121. [Google Scholar] [CrossRef]
- Hu, Y.R.; Ng, A. Active robust vibration control of flexible structures. J. Sound Vib. 2005, 288, 43–56. [Google Scholar] [CrossRef]
- Carabis, D.S.; Oakes, K.I.; Wen, J.T. Manipulation of Massive Objects in Space Using Flexible Joint Manipulators. J. Guid. Control. Dyn. 2021, 44, 923–937. [Google Scholar] [CrossRef]
- Chen, Y.; Dong, F. Robot machining: Recent development and future research issues. Int. J. Adv. Manuf. Technol. 2013, 66, 1489–1497. [Google Scholar] [CrossRef]
- Qin, H.; Li, Y.; Xiong, X. Workpiece Pose Optimization for Milling with Flexible-Joint Robots to Improve Quasi-Static Performance. Appl. Sci. 2019, 9, 1044. [Google Scholar] [CrossRef]
- Hu, Y.; Zhang, L.; Li, W.; Yang, G.Z. Design and fabrication of a 3-d printed metallic flexible joint for snake-like surgical robot. IEEE Robot. Autom. Lett. 2019, 4, 1557–1563. [Google Scholar] [CrossRef]
- Feliu, V.; Castillo, F.; Jaramillo, V.; Partida, G. A Robust Controller for A 3-DOF Flexible Robot with a Time Variant Payload. Asian J. Control 2013, 15, 971–987. [Google Scholar] [CrossRef]
- Ma, H.; Zhou, Q.; Li, H.; Lu, R. Adaptive Prescribed Performance Control of A Flexible-Joint Robotic Manipulator With Dynamic Uncertainties. IEEE Trans. Cybern. 2022, 52, 12905–12915. [Google Scholar] [CrossRef] [PubMed]
- Shao, M.; Huang, Y.; Silberschmidt, V.V. Intelligent Manipulator with Flexible Link and Joint: Modeling and Vibration Control. Shock Vib. 2020, 2020. [Google Scholar] [CrossRef]
- Ramírez-Neria, M.; Gao, Z.; Sira-Ramirez, H.; Garrido-Moctezuma, R.; Luviano-Juarez, A. On the tracking of fast trajectories of a 3DOF torsional plant: A flatness based ADRC approach. Asian J. Control 2021, 23, 1367–1379. [Google Scholar] [CrossRef]
- Giorgio, I.; Della Corte, A.; Del Vescovo, D. Modelling flexible multi-link robots for vibration control: Numerical simulations and real-time experiments. Math. Mech. Solids 2019, 24, 52–71. [Google Scholar] [CrossRef]
- Wu, J.; Wang, J.; You, Z. An overview of dynamic parameter identification of robots. Robot. Comput. Integr. Manuf. 2010, 26, 414–419. [Google Scholar] [CrossRef]
- Liu, X.; Wang, M.; Wang, Y.; Liu, X.; Wang, M.; Wang, Y. Improved Vibration Suppression Strategy of Fuzzy PI Servo Control for Dual Flexible System with Flexible Joints. Mathematics 2023, 11, 885. [Google Scholar] [CrossRef]
- Li, R.; Wang, H.; Yan, G.; Li, G.; Jian, L. Robust Model Predictive Control for Two-DOF Flexible-Joint Manipulator System. Mathematics 2023, 11, 3593. [Google Scholar] [CrossRef]
- Luca, A.D.; Siciliano, B. Closed-Form Dynamic Model of Planar Multilink Lightweight Robots. IEEE Trans. Syst. Man Cybern. 1991, 21, 826–839. [Google Scholar] [CrossRef]
- Zhang, D.G.; Zhou, S.F. Dynamic analysis of flexible-link and flexible-joint robots. Appl. Math. Mech. 2006, 27, 695–704. [Google Scholar] [CrossRef]
- Mattioni, A.; Wu, Y.; Le Gorrec, Y. Infinite dimensional model of a double flexible-link manipulator: The Port-Hamiltonian approach. Appl. Math. Model. 2020, 83, 59–75. [Google Scholar] [CrossRef]
- Kunming, Z.; Youmin, H.; Wenyong, Y. A novel parallel recursive dynamics modeling method for robot with flexible bar-groups. Appl. Math. Model. 2020, 77, 267–288. [Google Scholar] [CrossRef]
- Madsen, E.; Rosenlund, O.S.; Brandt, D.; Zhang, X. Comprehensive modeling and identification of nonlinear joint dynamics for collaborative industrial robot manipulators. Control Eng. Pract. 2020, 101, 104462. [Google Scholar] [CrossRef]
- My, C.A.; Bien, D.X. New development of the dynamic modeling and the inverse dynamic analysis for flexible robot. Int. J. Adv. Robot. Syst. 2020, 17. [Google Scholar] [CrossRef]
- Han, X.; Xie, W.F.; Fu, Z.; Luo, W. Nonlinear systems identification using dynamic multi-time scale neural networks. Neurocomputing 2011, 74, 3428–3439. [Google Scholar] [CrossRef]
- Wei, J.; Cao, D.; Liu, L.; Huang, W. Global mode method for dynamic modeling of a flexible-link flexible-joint manipulator with tip mass. Appl. Math. Model. 2017, 48, 787–805. [Google Scholar] [CrossRef]
- Zhang, L.; Liu, J. Adaptive boundary control for flexible two-link manipulator based on partial differential equation dynamic model. IET Control Theory Appl. 2013, 7, 43–51. [Google Scholar] [CrossRef]
- Jiang, Z.H.; Shinohara, K. Workspace trajectory tracking control of flexible joint robots based on backstepping method. In Proceedings of the IEEE Region 10 Annual International Conference, Proceedings/TENCON, Singapore, 22–25 November 2016; pp. 3473–3476. [Google Scholar] [CrossRef]
- Amato, G.; D’Amato, R.; Ruggiero, A. Adaptive Rejection of a Sinusoidal Disturbance with Unknown Frequency in a Flexible Rotor with Lubricated Journal Bearings. Mathematics 2022, 10, 1703. [Google Scholar] [CrossRef]
- Minh, V.; Tamre, M.; Musalimov, V.; Kovalenko, P.; Rubinshtein, I.; Ovchinnikov, I.; Moezzi, R. Model Predictive Control for Modeling and Simulation of Human Gait Motions. Int. J. Innov. Technol. Interdiscip. Sci. 2020, 3, 326–345. Available online: https://journals.tultech.eu/index.php/ijitis/article/view/41 (accessed on 29 October 2024).
- Zhong, S.; Huang, Y.; Chen, S.; Dai, L. A novel ADRC-based design for a kind of flexible aerocraft. Control Theory Technol. 2021, 19, 35–48. [Google Scholar] [CrossRef]
- Xue, W.; Madonski, R.; Lakomy, K.; Gao, Z.; Huang, Y. Add-On Module of Active Disturbance Rejection for Set-Point Tracking of Motion Control Systems. IEEE Trans. Ind. Appl. 2017, 53, 4028–4040. [Google Scholar] [CrossRef]
- Madonski, R.; Stanković, M.; Shao, S.; Gao, Z.; Yang, J.; Li, S. Active disturbance rejection control of torsional plant with unknown frequency harmonic disturbance. Control Eng. Pract. 2020, 100, 104413. [Google Scholar] [CrossRef]
- Madonski, R.; Ramírez-Neria, M.; Stanković, M.; Shao, S.; Gao, Z.; Yang, J. On vibration suppression and trajectory tracking in largely uncertain torsional system: An error-based ADRC approach. Mech. Syst. Signal Process. 2019, 134, 106300. [Google Scholar] [CrossRef]
- Madonski, R.; Ramirez-Neria, M.; Gao, Z.; Yang, J.; Li, S. Attenuation of periodic disturbances via customized ADRC solution: A case of highly oscillatory 3DOF torsional plant. In Proceedings of the 2019 IEEE 8th Data Driven Control and Learning Systems Conference (DDCLS), Dali, China, 24–27 May 2019; pp. 1111–1116. [Google Scholar] [CrossRef]
- Ochoa-Ortega, G.; Villafuerte-Segura, R.; Ramírez-Neria, M.; Vite-Hernández, L. σ-Stabilization of a flexible joint robotic arm via delayed controllers. Complexity 2019, 2019, 7289689. [Google Scholar] [CrossRef]
- Ramírez-Neria, M.; Morales-Valdez, J.; Yu, W. Active vibration control of building structure using active disturbance rejection control. J. Vib. Control 2022, 28, 2171–2186. [Google Scholar] [CrossRef]
- Yang, H.; Li, X.; Xu, J.; Shang, D.; Qu, X. Control Method for Flexible Joints in Manipulator Based on BP Neural Network Tuning PI Controller. Mathematics 2021, 9, 3146. [Google Scholar] [CrossRef]
- Zaare, S.; Soltanpour, M.R. Continuous fuzzy nonsingular terminal sliding mode control of flexible joints robot manipulators based on nonlinear finite time observer in the presence of matched and mismatched uncertainties. J. Frankl. Inst. 2020, 357, 6539–6570. [Google Scholar] [CrossRef]
- Ling, S.; Wang, H.; Liu, P.X. Adaptive fuzzy dynamic surface control of flexible-joint robot systems with input saturation. IEEE/CAA J. Autom. Sin. 2019, 6, 97–106. [Google Scholar] [CrossRef]
- Ullah, H.; Malik, F.M.; Raza, A.; Mazhar, N.; Khan, R.; Saeed, A.; Ahmad, I. Robust output feedback control of single-link flexible-joint robot manipulator with matched disturbances using high gain observer. Sensors 2021, 21, 3252. [Google Scholar] [CrossRef]
- Xiong, G.; Shi, J.; Chen, H. Cascaded Control of Flexible-Joint Robots Based on Sliding-Mode Estimator Approach. J. Robot. 2020, 2020. [Google Scholar] [CrossRef]
- Rsetam, K.; Cao, Z.; Man, Z. Cascaded-Extended-State-Observer-Based Sliding-Mode Control for Underactuated Flexible Joint Robot. IEEE Trans. Ind. Electron. 2020, 67, 10822–10832. [Google Scholar] [CrossRef]
- Abdul-Adheem, W.R.; Ibraheem, I.K.; Humaidi, A.J.; Azar, A.T. Model-free active input–output feedback linearization of a single-link flexible joint manipulator: An improved active disturbance rejection control approach. Meas. Control 2021, 54, 856–871. [Google Scholar] [CrossRef]
- Bilal, H.; Yin, B.; Aslam, M.S.; Anjum, Z.; Rohra, A.; Wang, Y. A practical study of active disturbance rejection control for rotary flexible joint robot manipulator. Soft Comput. 2023, 27, 4987–5001. [Google Scholar] [CrossRef]
- Tan, X.; Wang, H.; Peng, W.; Liang, N.; Zhang, W. Finite-Time Disturbance Attenuation Tracking Control of Flexible-Joint Robots Based on CTSMC. In Proceedings of the 2021 40th Chinese Control Conference (CCC), Shanghai, China, 26–28 July 2021; pp. 604–609. [Google Scholar] [CrossRef]
- Li, Z.; Li, P.; Ye, Y.; Liu, X. A modified active disturbance rejection control method for the compliance control of the flexible joint robots. In Proceedings of the 2022 IEEE International Conference on Robotics and Biomimetics, ROBIO 2022, Jinghong, China, 5–9 December 2022; pp. 1813–1818. [Google Scholar] [CrossRef]
- Chen, C.T. Linear System Theory and Design; Oxford University Press, Inc.: Oxford, UK, 1995. [Google Scholar]
- Sira-Ramirez, H.; Agrawal, S.K. Differentially Flat Systems; CRC Press: Boca Raton, FL, USA, 2018. [Google Scholar]
- Sira-Ramírez, H.; Luviano-Juárez, A.; Ramírez-Neria, M.; Zurita-Bustamante, E.W. Active Disturbance Rejection Control of Dynamic Systems: A Flatness Based Approach; Butterworth-Heinemann: Oxford, UK, 2017. [Google Scholar]























| Parameter | Value | Parameter | Value | ||
|---|---|---|---|---|---|
| (N-m)/A | (N-m)/A | ||||
| (N-m)/rad | (N-m)/rad | ||||
| kg m2 | kg m2 | ||||
| kg m2 | kg m2 | ||||
| (N-m)s/rad | (N-m)s/rad |
| Controller | MSE [rad2] | MSE [rad2] |
|---|---|---|
| Partial state feedback controller | 0.0088 | 3.2765 × 10−4 |
| State Feedback Controller with LQR Gains | 0.0054 | 0.0016 |
| Active Disturbance Rejection Control | 1.0651 × 10−5 | 5.2692 × 10−5 |
| Active Disturbance Rejection Control—External disturbance | 1.1123 × 10−5 | 7.3216 × 10−5 |
Disclaimer/Publisher’s Note: The statements, opinions and data contained in all publications are solely those of the individual author(s) and contributor(s) and not of MDPI and/or the editor(s). MDPI and/or the editor(s) disclaim responsibility for any injury to people or property resulting from any ideas, methods, instructions or products referred to in the content. |
© 2024 by the authors. Licensee MDPI, Basel, Switzerland. This article is an open access article distributed under the terms and conditions of the Creative Commons Attribution (CC BY) license (https://creativecommons.org/licenses/by/4.0/).
Share and Cite
Ramŕez-Neria, M.; Ochoa-Ortega, G.; Toro-Ossaba, A.; Hernandez-Martinez, E.G.; López-González, A.; Tejada, J.C. Trajectory Tracking of a 2-Degrees-of-Freedom Serial Flexible Joint Robot Using an Active Disturbance Rejection Controller Approach. Mathematics 2024, 12, 3989. https://doi.org/10.3390/math12243989
Ramŕez-Neria M, Ochoa-Ortega G, Toro-Ossaba A, Hernandez-Martinez EG, López-González A, Tejada JC. Trajectory Tracking of a 2-Degrees-of-Freedom Serial Flexible Joint Robot Using an Active Disturbance Rejection Controller Approach. Mathematics. 2024; 12(24):3989. https://doi.org/10.3390/math12243989
Chicago/Turabian StyleRamŕez-Neria, Mario, Gilberto Ochoa-Ortega, Alejandro Toro-Ossaba, Eduardo G. Hernandez-Martinez, Alexandro López-González, and Juan C. Tejada. 2024. "Trajectory Tracking of a 2-Degrees-of-Freedom Serial Flexible Joint Robot Using an Active Disturbance Rejection Controller Approach" Mathematics 12, no. 24: 3989. https://doi.org/10.3390/math12243989
APA StyleRamŕez-Neria, M., Ochoa-Ortega, G., Toro-Ossaba, A., Hernandez-Martinez, E. G., López-González, A., & Tejada, J. C. (2024). Trajectory Tracking of a 2-Degrees-of-Freedom Serial Flexible Joint Robot Using an Active Disturbance Rejection Controller Approach. Mathematics, 12(24), 3989. https://doi.org/10.3390/math12243989

