Prediction of China’s Polysilicon Prices: A Combination Model Based on Variational Mode Decomposition, Sparrow Search Algorithm and Long Short-Term Memory
Abstract
1. Introduction
2. Single Model Construction
2.1. VMD Algorithm
- (1)
- Use the Hilbert transform to obtain the analytical signal of each mode and construct the spectrum, yielding the analytical signal of each mode function at a given time :
- (2)
- Correct the estimated center frequency of each mode’s analytical signal to shift the mode’s spectrum to the corresponding baseband.
- (3)
- Estimate the bandwidth of the demodulated signal using the squared norm, with the constraint that the sum of the bandwidths is minimized. The constraint is as follows:
2.2. Sparrow Search Algorithm
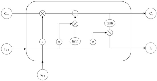
2.3. Long Short-Term Memory Network
- (1)
- The forget gate is used to determine whether to retain the value of the memory cell. It utilizes the sigmoid function to decide whether to forget or keep the information from the current input and the previous time step.
- (2)
- The input gate is used to control the addition of new information during the training process to update the current cell state. The sigmoid layer in the input gate determines what information will be updated, while the tanh layer generates a new candidate value vector to be added to the current state.
- (3)
- The output gate multiplies the output value determined by the sigmoid function with the value from the tanh function to obtain the final output value.
3. Construction of the VMD–SSA–LSTM Combination Model
3.1. Data Sources and Indicators
3.2. Construction of the Combined Model
- (1)
- The combined model consists of six input variables: reprocessed material price, aluminum alloy price, tempered glass price, thin-film photovoltaic module price, CSI 300 Index, and polysilicon price. The output variable is the polysilicon price. This study utilizes Variational Mode Decomposition (VMD) to perform decomposition exclusively on the polysilicon price data, resulting in IMF components.
- (2)
- For each polysilicon price modal component and the dataset of influencing factors, the same data division method is applied, where the dataset can be divided into a training set and a validation set. To improve prediction accuracy, the training set consists of the first 70% of the data, while the validation set consists of the last 30%. After the division is completed, the dataset undergoes normalization.
- (3)
- The input value for the LSTM model consists of the previous polysilicon material price data and the previous influencing factor data, while the output value represents the predicted polysilicon price at time .
- (4)
- In the LSTM, optimization parameters are set, including the number of sparrows in the population and boundary conditions for the parameters to be optimized (learning rate , number of hidden layer nodes , and regularization coefficient ). In the Sparrow Search Algorithm (SSA), a corresponding sparrow population is constructed based on the information passed from the LSTM, and the optimal fitness value and optimal position of the sparrow population are calculated.
- (5)
- Analyze the parameter information transmitted by SSA to derive the three optimal network parameters for the LSTM model. Based on these optimal parameters, reconstruct the LSTM prediction model and train it using the training set of modal components. Subsequently, perform denormalization on the predicted polysilicon price data for each trading day and output the prediction curve.
3.3. Evaluation of the Prediction Model
4. Analysis of Polysilicon Price Prediction in China Based on the VMD–SSA–LSTM Combination Model
4.1. Descriptive Statistical Analysis
4.2. Variational Mode Decomposition
4.3. SSA–LSTM Combination Model Algorithm
5. Conclusions
Author Contributions
Funding
Data Availability Statement
Acknowledgments
Conflicts of Interest
References
- Wang, Z.; Liu, Y.; Gao, F.; Sun, B.; Gong, X.; Nie, Z. Environmental impact assessment of the manufacture and use of N-type and P-type photovoltaic modules in China. J. Clean. Prod. 2024, 470, 143187. [Google Scholar] [CrossRef]
- Xiang, F. Topological analysis, endogenous mechanisms, and supply risk propagation in the polycrystalline silicon trade dependency network. J. Clean. Prod. 2024, 439, 140657. [Google Scholar]
- Hochreiter, S. Long Short-term Memory. Neural Comput. 1997, 9, 1735–1780. [Google Scholar] [CrossRef]
- Aggarwal, V.; Ranjan, A.; Shaurya, S.; Garg, S.K. To determine the futures pricing of metal commodities using deep learning. Evergreen 2023, 10, 1027–1033. [Google Scholar] [CrossRef]
- Jailani, N.L.M.; Dhanasegaran, J.K.; Alkawsi, G.; Alkahtani, A.A.; Phing, C.C.; Baashar, Y.; Capretz, L.F.; Al-Shetwi, A.Q.; Tiong, S.K. Investigating the power of LSTM-based models in solar energy forecasting. Processes 2023, 11, 1382. [Google Scholar] [CrossRef]
- Guo, F.; Deng, S.; Zheng, W.; Wen, A.; Du, J.; Huang, G.; Wang, R. Short-Term Electricity Price Forecasting Based on the Two-Layer VMD Decomposition Technique and SSA-LSTM. Energies 2022, 15, 8445. [Google Scholar] [CrossRef]
- Ding, G.; Qin, L. Study on the prediction of stock price based on the associated network model of LSTM. Int. J. Mach. Learn. Cybern. 2020, 11, 1307–1317. [Google Scholar] [CrossRef]
- Usmani, S.; Shamsi, J.A. LSTM based stock prediction using weighted and categorized financial news. PLoS ONE 2023, 18, e0282234. [Google Scholar] [CrossRef] [PubMed]
- Jin, Z.; Yang, Y.; Liu, Y. Stock closing price prediction based on sentiment analysis and LSTM. Neural Comput. Appl. 2020, 32, 9713–9729. [Google Scholar] [CrossRef]
- Huang, Y.; Deng, Y. A new crude oil price forecasting model based on variational mode decomposition. Knowl.-Based Syst. 2021, 213, 106669. [Google Scholar] [CrossRef]
- Han, M.; Zhong, J.; Sang, P.; Liao, H.; Tan, A. A combined model incorporating improved SSA and LSTM algorithms for short-term load forecasting. Electronics 2022, 11, 1835. [Google Scholar] [CrossRef]
- Liu, F.; Qin, P.; You, J.; Fu, Y. Sparrow Search Algorithm-Optimized Long Short-Term Memory Model for Stock Trend Prediction. Comput. Intell. Neurosci. 2022, 2022, 3680419. [Google Scholar] [CrossRef] [PubMed]
- Wu, J.; Hu, Y.; Wu, D.; Yang, Z. An aquatic product price forecast model using VMD-IBES-LSTM hybrid approach. Agriculture 2022, 12, 1185. [Google Scholar] [CrossRef]
- Liu, W.; Bai, Y.; Yue, X.; Wang, R.; Song, Q. A wind speed forcasting model based on rime optimization based VMD and multi-headed self-attention-LSTM. Energy 2024, 294, 130726. [Google Scholar] [CrossRef]
- Zhang, D.; Wang, Y.Q.; Chen, W.B. Prediction and Early Warning Methods for Agricultural Commodity Price Based on SSA-LSTM. J. Comput. 2023, 34, 357–370. [Google Scholar] [CrossRef]
- Lei, L.; Shao, S.; Liang, L. An evolutionary deep learning model based on EWKM, random forest algorithm, SSA and BiLSTM for building energy consumption prediction. Energy 2024, 288, 129795. [Google Scholar] [CrossRef]
- Wu, H.; Chen, S.; Ding, Y. Comparison of ARIMA and LSTM for Stock Price Prediction. Financ. Eng. Risk Manag. 2023, 6, 1–7. [Google Scholar]
- Li, Z.; Yang, Y.; Chen, Y.; Huang, J. A Novel Non-Ferrous Metals Price Forecast Model Based on LSTM and Multivariate Mode Decomposition. Axioms 2023, 12, 670. [Google Scholar] [CrossRef]
- Yang, S.; Jin, A.; Nie, W.; Liu, C.; Li, Y. Research on SSA-LSTM-based slope monitoring and early warning model. Sustainability 2022, 14, 10246. [Google Scholar] [CrossRef]
- Zhang, J.; Liu, H.; Bai, W.; Li, X. A hybrid approach of wavelet transform, ARIMA and LSTM model for the share price index futures forecasting. N. Am. J. Econ. Financ. 2024, 69, 102022. [Google Scholar] [CrossRef]
- Tian, L.H.; Tan, D.K. Financialization and Americanization of Bulk commodities’ pricing: A study of the relation between stock indices and spot commodities. China Ind. Econ. 2014, 10, 72–84. [Google Scholar]
- Mu, G.; Gao, N.; Wang, Y.; Dai, L. A stock price prediction model based on investor sentiment and optimized deep learning. IEEE Access 2023, 11, 51353–51367. [Google Scholar] [CrossRef]
- Chen, H.; Lu, T.; Huang, J.; He, X.; Sun, X. An Improved VMD–EEMD–LSTM Time Series Hybrid Prediction Model for Sea Surface Height Derived from Satellite Altimetry Data. J. Mar. Sci. Eng. 2023, 11, 2386. [Google Scholar] [CrossRef]
- Liu, H.; Li, D.; Yuan, Y.; Zhang, S.; Zhao, H.; Deng, W. Fault diagnosis for a bearing rolling element using improved VMD and HT. Appl. Sci. 2019, 9, 1439. [Google Scholar] [CrossRef]
- Zhang, X. Exploring the Synergy: Combining Improved Sparrow Search Optimization with Long Short-Term Memory For Enhanced Stock Price Prediction. Highlights Bus. Econ. Manag. 2024, 38, 141–149. [Google Scholar] [CrossRef]






| Indicator | Indicator Variables | Data Sources |
|---|---|---|
| Related Product Prices | Reprocessed material Price | Antaike |
| Aluminum Alloy Price | Ministry of Commerce | |
| Tempered Glass Price | Choice Data | |
| Thin-film Photovoltaic Module Price | Energy Trend | |
| Macroeconomic Indicators | CSI 300 Index | China Securities Index |
| VarName | Obs | Mean | SD | Min | Max | Skewness | Kurtosis |
|---|---|---|---|---|---|---|---|
| Reprocessed Material Price | 1222 | 14.04 | 8.89 | 4.51 | 36.55 | 0.91 | 2.40 |
| Aluminum Alloy Price | 1222 | 1722.73 | 450.49 | 941.58 | 3164.60 | 0.70 | 3.17 |
| Tempered Glass Price | 1222 | 0.71 | 0.08 | 0.57 | 0.85 | −0.02 | 1.77 |
| Thin-film Photovoltaic Module Price | 1222 | 53.08 | 6.12 | 42.33 | 63.44 | −0.06 | 1.79 |
| CSI 300 Index | 1222 | 4162.79 | 574.81 | 2964.84 | 5807.72 | 0.62 | 2.55 |
| Polysilicon Price | 1222 | 13.79 | 8.79 | 4.65 | 36.53 | 0.88 | 2.32 |
| Optimal Number of Hidden Units | Optimal Maximum Iteration Period | Optimal Initial Learning Rate |
|---|---|---|
| 150 | 300 | 0.0057 |
| Training Set | Testing Set | |||||||
|---|---|---|---|---|---|---|---|---|
| Model | MAE | RMSE | MAPE% | R2 | MAE | RMSE | MAPE% | R2 |
| LSTM | 1.5702 | 2.2204 | 11.6653 | 0.9340 | 1.7703 | 2.5930 | 12.9486 | 0.9200 |
| VMD–LSTM | 0.7481 | 1.0234 | 5.0609 | 0.9854 | 1.1542 | 1.4495 | 6.8125 | 0.9730 |
| VMD–SSA–LSTM | 0.6260 | 0.8995 | 4.5036 | 0.9887 | 0.9542 | 1.2769 | 6.0823 | 0.9790 |
Disclaimer/Publisher’s Note: The statements, opinions and data contained in all publications are solely those of the individual author(s) and contributor(s) and not of MDPI and/or the editor(s). MDPI and/or the editor(s) disclaim responsibility for any injury to people or property resulting from any ideas, methods, instructions or products referred to in the content. |
© 2024 by the authors. Licensee MDPI, Basel, Switzerland. This article is an open access article distributed under the terms and conditions of the Creative Commons Attribution (CC BY) license (https://creativecommons.org/licenses/by/4.0/).
Share and Cite
Wang, J.; Jiang, L.; Wang, L. Prediction of China’s Polysilicon Prices: A Combination Model Based on Variational Mode Decomposition, Sparrow Search Algorithm and Long Short-Term Memory. Mathematics 2024, 12, 3690. https://doi.org/10.3390/math12233690
Wang J, Jiang L, Wang L. Prediction of China’s Polysilicon Prices: A Combination Model Based on Variational Mode Decomposition, Sparrow Search Algorithm and Long Short-Term Memory. Mathematics. 2024; 12(23):3690. https://doi.org/10.3390/math12233690
Chicago/Turabian StyleWang, Jining, Lin Jiang, and Lei Wang. 2024. "Prediction of China’s Polysilicon Prices: A Combination Model Based on Variational Mode Decomposition, Sparrow Search Algorithm and Long Short-Term Memory" Mathematics 12, no. 23: 3690. https://doi.org/10.3390/math12233690
APA StyleWang, J., Jiang, L., & Wang, L. (2024). Prediction of China’s Polysilicon Prices: A Combination Model Based on Variational Mode Decomposition, Sparrow Search Algorithm and Long Short-Term Memory. Mathematics, 12(23), 3690. https://doi.org/10.3390/math12233690

