KOC_Net: Impact of the Synthetic Minority Over-Sampling Technique with Deep Learning Models for Classification of Knee Osteoarthritis Using Kellgren–Lawrence X-Ray Grade
Abstract
1. Introduction
- The novel KOC_Net model is developed to classify the five different types of KOA, i.e., Healthy, Doubtful, Minimal, Moderate, and Severe using X-rays of the KL severity grading system. Additionally, the KOC_Net extracts the dominant features from the X-rays of KOA which makes the model significant in classifying the KOA based on knee severity.
- The proposed KOC_Net model reduces the complexity of the model by limiting the number of trainable parameters.
- For this work, the SMOTE Tomek method is used to resolve the problem of the imbalance number of KOA images.
- The proposed model also highlights the part of the knee affected by KOA using Grad-CAM heat-map methodology.
- The performance of the KOC_Net model was compared with four baseline classifiers such as Vgg-19, DenseNet 169, Xception, and Inception-V3. The proposed model achieves the highest classification accuracy of 96.51% which is superior to the other four baseline models.
- In addition, the outcomes of the KOC_Net model surpassed modern state-of-the-art classifiers.
2. Related Work
| Ref | Year | Models | Image Type | Dataset | Accuracy | |
|---|---|---|---|---|---|---|
| X-Rays | KL Severity | |||||
| Touahema et al. [43] | 2024 | DCNN | ✓ | × | Medical Expert-II | 94.94% |
| Ahmed et al. [44] | 2023 | CNN | ✓ | × | OAI 2022 | 99.10% |
| Messaoudene et al. [45] | 2024 | DCNN | ✓ | × | OAI | 77.24% |
| Kumar et al. [46] | 2023 | CNN | ✓ | × | OAI | 91.03% |
| Feng et al. [47] | 2020 | CBAM | ✓ | × | OAI | 70.23% |
| Chan et al. [48] | 2022 | Vgg-19 | ✓ | × | Knee Joint space | 91.70% |
| Tayyaba et al. [49] | 2023 | ResNet-34 | ✓ | × | OAI | 98.00% |
| Mononen et al. [50] | 2024 | CNN | ✓ | × | GLCM | 72.00% |
| Chen et al. [13] | 2019 | InceptionV3 | ✓ | × | OAI | 69.70% |
| Thomas et al. [11] | 2020 | CNN | × | × | OAI | 66.00% |
| Zhang et al. [51] | 2020 | CBAM | ✓ | × | OAI | 78.41% |
| Yong et al. [26] | 2021 | ORM | ✓ | × | OAI | 88.09% |
| Von et al. [27] | 2020 | Graph CNN | ✓ | × | OAI | 64.66% |
| Abedin et al. [52] | 2019 | CNN | ✓ | × | OAI | 69.70% |
| Patil et al. [53] | 2023 | CNN | ✓ | ✓ | OAI 2021 | 81.00% |
3. Materials and Methods
3.1. Description of Datasets
3.2. KOA Image Data Preprocessing
3.3. Implementation of SMOTE Tomek
| Algorithm 1: Balancing knee images of the KOA dataset using the SMOTE Tomek algorithm |
| Input: = Set for training, instances of minority set, No of nearest neighbors, The number of synthetic examples required to compensate for the number of original KOA images in the specified class. |
| Output: A group of synthetic samples from the minority: |
| 1. is a collection of samples that are considered as Smote Tomek |
| 2. for all in do |
| 3. ← nearest neighbors of in |
| 4. ← The number of samples in and not in O |
| 5. if then is a borderline sample |
| 6. add |
| 7. end if |
| 8. end for |
| 9. is a set containing synthetic samples |
| 10. for all in do |
| 11. ← nearest neighbors of in |
| 12. do |
| 13. ← choose a random sample from |
| 14. ← + j * ( // is a random number in (0, 1), is a synthetic sample |
| 15. add to |
| 16. end for |
| 17. end for |
| 18. is the union of minority samples and synthetic samples |
| 19. return |
3.4. Proposed KOC_Net Model
3.4.1. Convolutional Blocks of KOC_Net
3.4.2. Flatten Layer
3.4.3. Dropout Layer of KOC_Net Model
3.4.4. Dense Block of the KOC_Net
- ReLU Function
- Dense Layer
3.5. Model Evaluations
3.5.1. Accuracy (ACC)
3.5.2. Precision (PRE)
3.5.3. Recall (REC)
3.5.4. F1-Score
3.6. Proposed Algorithm
| Algorithm 2: Classification of KOA diseases using KL severity grading X-rays | |
| Input: | = X-Rays |
| Output: | KOA Diseases Classification |
| Pre-Processing: H1 | |
| 1 | |
| 2 | See Equation (1) |
| 3 | See Equations (2)–(4) |
| 4 | See Equation (5) |
| 5 | See Equation (6) |
| Generating Synthetic Images Using Smote Tomek: H2 | |
| 6 | S1 See Algorithm (1) |
| Proposed KOC_Net Model: H3 | |
| 7 | See Equations (7)–(9) |
| 8 | See Equation (10) See Equations (11) and (12) See Equation (13) |
| Training & Validation Split of Models: H4 | |
| 9 | Training set: , Validation set: |
| 10 | For i = 1: | on S1 //S1 represents enhanced data obtained in H2 |
| 11 | Training Image: |
| 12 | : training image in epoch (e) |
| 13 | |
| 14 | End |
| 15 | |
| Performance Evaluation of KOC_NET: H5 | |
| 16 | For V = 1: 4% V is the performance evaluation indicator of KOC_Net See Equations (14)–(17) End |
| 17 | Select Best Model V(c) in terms of V |
| 18 | End |
4. Experimental Results and Discussions
4.1. Experimental Setup and Hyperparameters
4.2. Results Analysis
4.2.1. Results of KOC_Net Model in Terms of Accuracy
4.2.2. Results of the KOC_Net Model in Terms of AUC
4.2.3. Results of the KOC_Net Model in Terms of Precision
4.2.4. Results of the KOC_Net Model in Terms of Recall
4.2.5. Results of the KOC_Net Model in Terms of F1-Score
4.2.6. Results of the KOC_Net Model in Terms of Loss
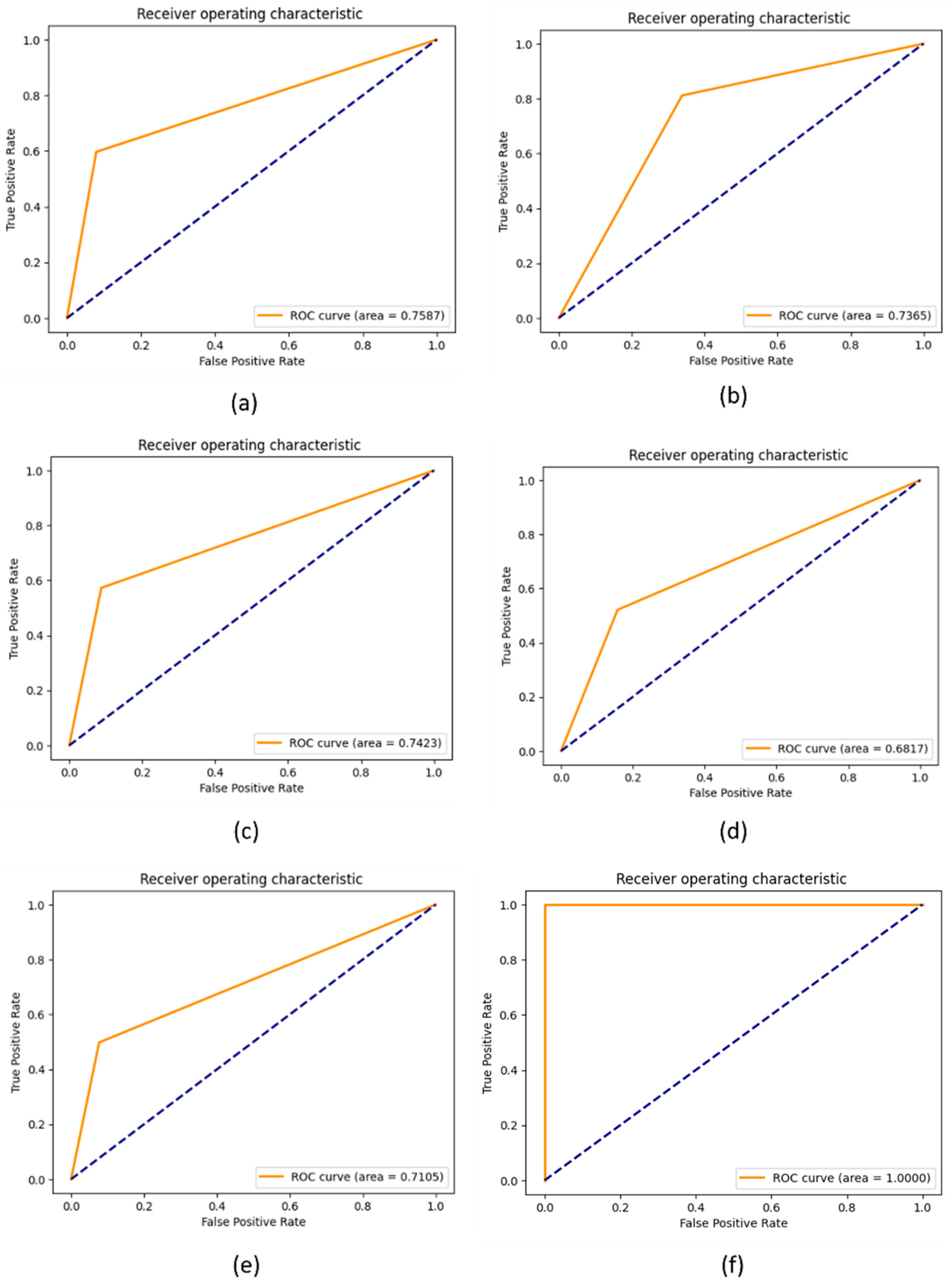
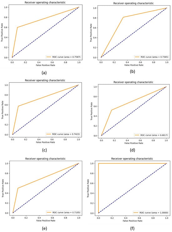
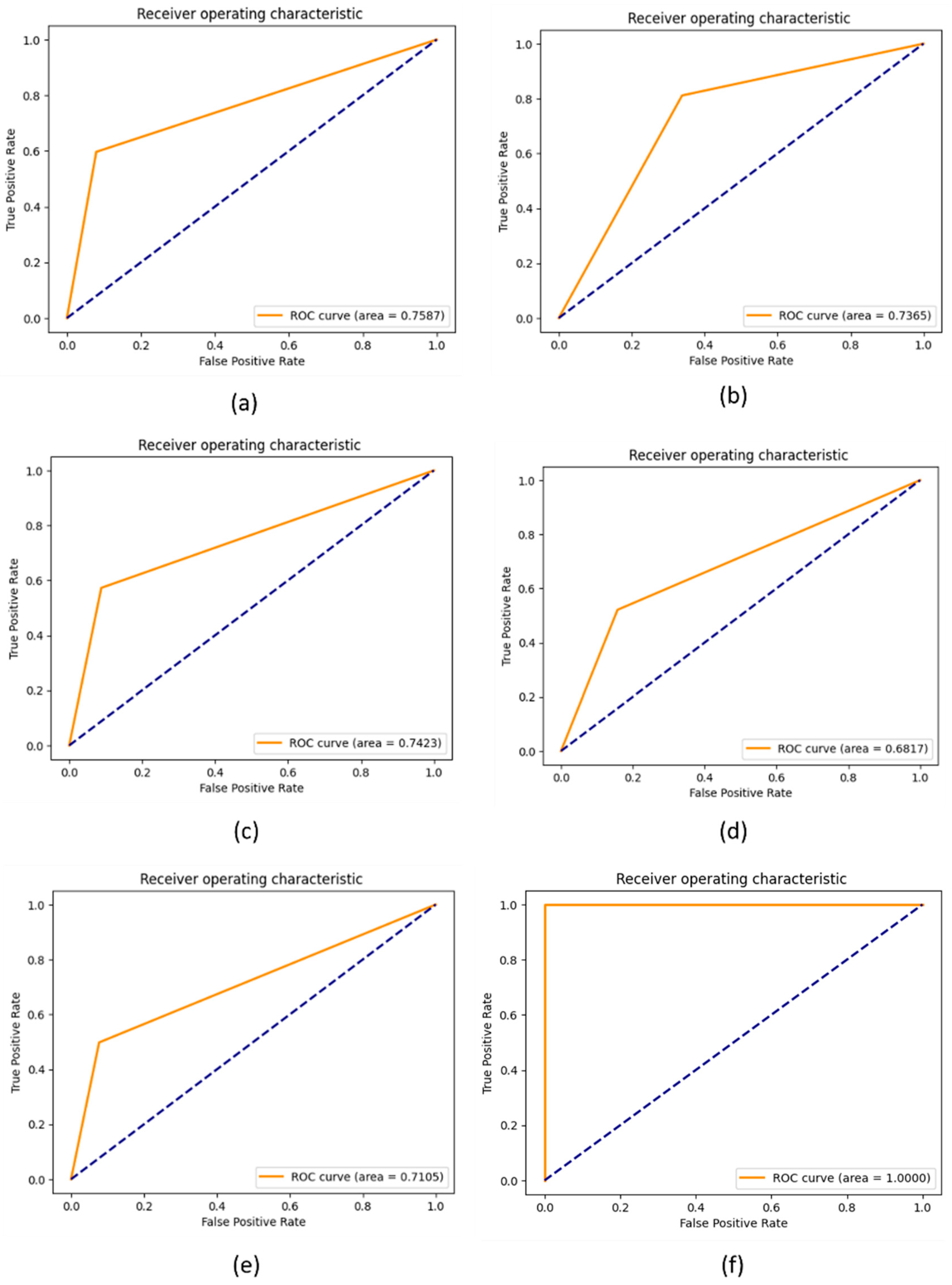
4.2.7. Results of the KOC_Net Model in Terms of ROC
4.2.8. AU(ROC) for Multi-Class Evaluation Using Proposed KOC_Net Model
4.3. Comparison of Proposed KOC_Net Model with State-of-the-Arts
4.4. Discussions
5. Conclusions and Future Work
Author Contributions
Funding
Data Availability Statement
Conflicts of Interest
References
- Conaghan, P.G.; Porcheret, M.; Kingsbury, S.R.; Gammon, A.; Soni, A.; Hurley, M.; Rayman, M.P.; Barlow, J.; Hull, R.G.; Cumming, J.; et al. Impact and therapy of osteoarthritis: The Arthritis Care OA Nation 2012 survey. Clin. Rheumatol. 2015, 34, 1581–1588. [Google Scholar] [CrossRef] [PubMed]
- Vriezekolk, J.; Peters, Y.A.S.; Steegers, M.A.H.; Davidson, E.N.B.; Ende, C.H.M.V.D. Pain descriptors and determinants of pain sensitivity in knee osteoarthritis: A community-based cross-sectional study. Rheumatol. Adv. Pract. 2022, 6, rkac016. [Google Scholar] [CrossRef] [PubMed]
- Ortman, J.M.; Velkoff, V.A.; Hogan, H. An Aging Nation: The Older Population in the United States; P25-1140; United States Census Bureau: Suitland, MD, USA, 2014. [Google Scholar]
- Kellgren, J.H.; Lawrence, J.S. Radiological assessment of osteo-arthrosis. Ann. Rheum. Dis. 1957, 16, 494–502. [Google Scholar] [CrossRef]
- Culvenor, A.G.; Engen, C.N.; Øiestad, B.E.; Engebretsen, L.; Risberg, M.A. Defining the presence of radiographic knee osteoarthritis: A comparison between the Kellgren and Lawrence system and OARSI atlas criteria. Knee Surg. Sports Traumatol. Arthrosc. 2015, 23, 3532–3539. [Google Scholar] [CrossRef]
- Ilahi, O.A. International Knee Documentation Committee Radiographic Knee Joint Grading More Reliable Than Kellgren-Lawrence Grading and Other Grading Systems. Arthroscopy: J. Arthrosc. Relat. Surg. 2024, 40, 1716–1719. [Google Scholar] [CrossRef]
- Niu, Z.; Zhou, M.; Wang, L.; Gao, X.; Hua, G. Ordinal regression with multiple output CNN for age estimation. In Proceedings of the 2016 IEEE Conference on Computer Vision and Pattern Recognition (CVPR), Las Vegas, NV, USA, 27–30 June 2016; pp. 4920–4928. [Google Scholar]
- Shamir, L.; Ling, S.M.; Scott, W.W.; Bos, A.; Orlov, N.; Macura, T.J.; Eckley, D.M.; Ferrucci, L.; Goldberg, I.G. Knee X-Ray Image Analysis Method for Automated Detection of Osteoarthritis. IEEE Trans. Biomed. Eng. 2009, 56, 407–415. [Google Scholar] [CrossRef]
- Liu, W.; Ge, T.; Luo, L.; Peng, H.; Xu, X.; Chen, Y.; Zhuang, Z. A Novel Focal Ordinal Loss for Assessment of Knee Osteoarthritis Severity. Neural Process. Lett. 2022, 54, 5199–5224. [Google Scholar] [CrossRef]
- Antony, J.; McGuinness, K.; O’Connor, N.E.; Moran, K. Quantifying radiographic knee osteoarthritis severity using deep convolutional neural networks. In Proceedings of the 2016 23rd International Conference on Pattern Recognition (ICPR), Cancun, Mexico, 4–8 December 2016; pp. 1195–1200. [Google Scholar]
- Thomas, K.A.; Kidzin’ski, L.; Halilaj, E.; Fleming, S.L.; Venkataraman, G.R.; Oei, E.H.G.; Gold, G.E.; Delp, S.L. Automated Classification of Radiographic Knee Osteoarthritis Severity Using Deep Neural Networks. Radiol. Artif. Intell. 2020, 2, e190065. [Google Scholar] [CrossRef] [PubMed]
- Messaoudene, K.; Harrar, K. A Hybrid LBP-HOG Model and Naive Bayes Classifier for Knee Osteoarthritis Detection: Data from the Osteoarthritis Initiative. In International Conference on Artificial Intelligence and Its Applications; Springer International Publishing: Cham, Switzerland, 2021; pp. 458–467. [Google Scholar]
- Chen, P.; Gao, L.; Shi, X.; Allen, K.; Yang, L. Fully Automatic Knee Osteoarthritis Severity Grading Using Deep Neural Networks with a Novel Ordinal Loss. Comput. Med. Imaging Graph. 2019, 75, 84. [Google Scholar] [CrossRef]
- Abdullah, S.S.; Rajasekaran, M.P. Automatic detection and classification of knee osteoarthritis using deep learning approach. Radiol. Med. 2022, 127, 398–406. [Google Scholar] [CrossRef]
- Antony, J.; McGuinness, K.; Moran, K.; O’Connor, N.E. Automatic Detection of Knee Joints and Quantification of Knee Osteoarthritis Severity using Convolutional Neural Networks. In Machine Learning and Data Mining in Pattern Recognition; Lecture Notes in Computer Science; Springer: Cham, Switzerland, 2017; Volume 10358, pp. 376–390. [Google Scholar]
- Mori, Y.; Oichi, T.; Enomoto-Iwamoto, M.; Saito, T. Automatic detection of medial and lateral compartments from histological sections of mouse knee joints using the single-shot multibox detector algorithm. Cartilage 2022, 13, 19476035221074009. [Google Scholar] [CrossRef] [PubMed]
- Roth, H.R.; Oda, H.; Zhou, X.; Shimizu, N.; Yang, Y.; Hayashi, Y.; Oda, M.; Fujiwara, M.; Misawa, K.; Mori, K. An application of cascaded 3D fully convolutional networks for medical image segmentation. Comput. Med. Imaging Graph. 2018, 66, 90–99. [Google Scholar] [CrossRef] [PubMed]
- Zhang, Y.; Kortylewski, A.; Liu, Q.; Park, S.; Green, B.; Engle, E.; Yuille, A. A Light-weight Interpretable Compositional Network for Nuclei Detection and Weakly-supervised Segmentation. arXiv 2021, arXiv:2110.13846. [Google Scholar]
- Tiulpin, A.; Thevenot, J.; Rahtu, E.; Saarakkala, S. A novel method for automatic localization of joint area on knee plain radiographs. In Image Analysis; Lecture Notes in Computer Science; Springer: Cham, Switzerland, 2017; Volume 10270, pp. 290–301. [Google Scholar]
- Lakshmanan, B.; Priyadharsini, S.; Selvakumar, B. Computer assisted mitotic figure detection in histopathology images based on DenseNetPCA framework. Mater. Today Proc. 2022, 62, 4936–4939. [Google Scholar] [CrossRef]
- Xie, Y.; Zhan, N.; Zhu, J.; Xu, B.; Chen, H.; Mao, W.; Luo, X.; Hu, Y. Landslide extraction from aerial imagery considering context association characteristics. Int. J. Appl. Earth Obs. Geoinf. 2024, 131, 103950. [Google Scholar] [CrossRef]
- Xu, W.; Feng, Z.; Wan, Q.; Xie, Y.; Feng, D.; Zhu, J.; Liu, Y. Building Height Extraction From High-Resolution Single-View Remote Sensing Images Using Shadow and Side Information. IEEE J. Sel. Top. Appl. Earth Obs. Remote Sens. 2024, 17, 6514–6528. [Google Scholar] [CrossRef]
- Cao, S.; Feng, D.; Liu, S.; Xu, W.; Chen, H.; Xie, Y.; Zhang, H.; Pirasteh, S.; Zhu, J. BEMRF-Net: Boundary enhancement and multiscale refinement fusion for building extraction from remote sensing imagery. IEEE J. Sel. Top. Appl. Earth Obs. Remote Sens. 2024, 17, 16342–16358. [Google Scholar] [CrossRef]
- Zhu, J.; Zhang, J.; Chen, H.; Xie, Y.; Gu, H.; Lian, H. A cross-view intelligent person search method based on multi-feature constraints. Int. J. Digit. Earth 2024, 17, 2346259. [Google Scholar] [CrossRef]
- Jiang, Z.; Zhang, H.; Wang, Y.; Ko, S.B. Retinal blood vessel segmentation using fully convolutional network with transfer learning. Comput. Med. Imaging Graph. 2018, 68, 1–15. [Google Scholar] [CrossRef]
- Yong, C.W.; Teo, K.; Murphy, B.P.; Hum, Y.C.; Tee, Y.K.; Xia, K.; Lai, K.W. Knee osteoarthritis severity classification with ordinal regression module. Multimed. Tools Appl. 2021, 81, 41497–41509. [Google Scholar] [CrossRef]
- Von Tycowicz, C. Towards shape-based knee osteoarthritis classification using graph convolutional networks. In Proceedings of the 2020 IEEE 17th International Symposium on Biomedical Imaging (ISBI), Iowa City, IA, USA, 3–7 April 2020; pp. 750–753. [Google Scholar]
- Kwon, S.B.; Han, H.S.; Lee, M.C.; Kim, H.C.; Ku, Y. Machine learning-based automatic classification of knee osteoarthritis severity using gait data and radiographic images. IEEE Access 2020, 8, 120597–120603. [Google Scholar] [CrossRef]
- Gornale, S.S.; Patravali, P.U.; Hiremath, P.S. Automatic Detection and Classification of Knee Osteoarthritis Using Hu’s Invariant Moments. Front. Robot. AI 2020, 7, 591827. [Google Scholar] [CrossRef] [PubMed]
- Kokkotis, C.; Moustakidis, S.; Papageorgiou, E.; Giakas, G.; Tsaopoulos, D.E. Machine learning in knee osteoarthritis: A review. Osteoarthr. Cartil. Open 2020, 2, 100069. [Google Scholar] [CrossRef] [PubMed]
- Saleem, M.; Farid, M.S.; Saleem, S.; Khan, M.H. X-ray image analysis for automated knee osteoarthritis detection. Signal Image Video Process. 2020, 14, 1079–1087. [Google Scholar] [CrossRef]
- Nasser, Y.; Jennane, R.; Chetouani, A.; Lespessailles, E.; El Hassouni, M. Discriminative Regularized Auto-Encoder for early detection of knee osteoarthritis: Data from the osteoarthritis initiative. IEEE Trans. Med. Imaging 2020, 39, 2976–2984. [Google Scholar] [CrossRef]
- Brahim, A.; Jennane, R.; Riad, R.; Janvier, T.; Khedher, L.; Toumi, H.; Lespessailles, E. A decision support tool for early detection of knee OsteoArthritis using X-ray imaging and machine learning: Data from the OsteoArthritis Initiative. Comput. Med. Imaging Graph. 2019, 73, 11–18. [Google Scholar] [CrossRef]
- Jakaite, L.; Schetinin, V.; Hladůvka, J.; Minaev, S.; Ambia, A.; Krzanowski, W. Deep learning for early detection of pathological changes in X-ray bone microstructures: Case of osteoarthritis. Sci. Rep. 2021, 11, 2294. [Google Scholar] [CrossRef] [PubMed]
- Lim, J.; Kim, J.; Cheon, S. A deep neural network-based method for early detection of osteoarthritis using statistical data. Int. J. Environ. Res. Public Health 2019, 16, 1281. [Google Scholar] [CrossRef]
- Kundu, S.; Ashinsky, B.G.; Bouhrara, M.; Dam, E.B.; Demehri, S.; Shifat-E-Rabbi, M.; Rohde, G.K. Enabling early detection of osteoarthritis from presymptomatic cartilage texture maps via transport-based learning. Proc. Natl. Acad. Sci. USA 2020, 117, 24709–24719. [Google Scholar] [CrossRef]
- Yunus, U.; Amin, J.; Sharif, M.; Yasmin, M.; Kadry, S.; Krishnamoorthy, S. Recognition of Knee Osteoarthritis (KOA) Using YOLOv2 and Classification Based on Convolutional Neural Network. Life 2022, 12, 1126. [Google Scholar] [CrossRef]
- Wang, Y.; Li, S.; Zhao, B.; Zhang, J.; Yang, Y.; Li, B. A ResNet-based approach for accurate radiographic diagnosis of knee osteoarthritis. CAAI Trans. Intell. Technol. 2022, 7, 512–521. [Google Scholar] [CrossRef]
- Leung, K.; Zhang, B.; Tan, J.; Shen, Y.; Geras, K.J.; Babb, J.S.; Deniz, C.M. Prediction of total knee replacement and diagnosis of osteoarthritis by using deep learning on knee radiographs: Data from the osteoarthritis initiative. Radiology 2020, 296, 584. [Google Scholar] [CrossRef] [PubMed]
- Guan, B.; Liu, F.; Mizaian, A.H.; Demehri, S.; Samsonov, A.; Guermazi, A.; Kijowski, R. Deep learning approach to predict pain progression in knee osteoarthritis. Skelet. Radiol. 2022, 51, 363–373. [Google Scholar] [CrossRef]
- Tiulpin, A.; Thevenot, J.; Rahtu, E.; Lehenkari, P.; Saarakkala, S. Automatic knee osteoarthritis diagnosis from plain radiographs: A deep learning-based approach. Sci. Rep. 2018, 8, 1727. [Google Scholar] [CrossRef]
- Nelson, A.E.; Fang, F.; Arbeeva, L.; Cleveland, R.J.; Schwartz, T.A.; Callahan, L.F.; Loeser, R.F. A machine learning approach to knee osteoarthritis phenotyping: Data from the FNIH Biomarkers Consortium. Osteoarthr. Cartil. 2019, 27, 994–1001. [Google Scholar] [CrossRef]
- Touahema, S.; Zaimi, I.; Zrira, N.; Ngote, M.N.; Doulhousne, H.; Aouial, M. MedKnee: A New Deep Learning-Based Software for Automated Prediction of Radiographic Knee Osteoarthritis. Diagnostics 2024, 14, 993. [Google Scholar] [CrossRef]
- Khalid, A.; Senan, E.M.; Al-Wagih, K.; Ali Al-Azzam, M.M.; Alkhraisha, Z.M. Hybrid Techniques of X-ray Analysis to Predict Knee Osteoarthritis Grades Based on Fusion Features of CNN and Handcrafted. Diagnostics 2023, 13, 1609. [Google Scholar] [CrossRef] [PubMed]
- Messaoudene, K.; Harrar, K. Computerized diagnosis of knee osteoarthritis from X-ray images using combined texture features: Data from the osteoarthritis initiative. Int. J. Imaging Syst. Technol. 2024, 34, e23063. [Google Scholar] [CrossRef]
- Goswami, A.D. Automatic classification of the severity of knee osteoarthritis using enhanced image sharpening and CNN. Appl. Sci. 2023, 13, 1658. [Google Scholar] [CrossRef]
- Feng, Y.; Liu, J.; Zhang, H.; Qiu, D. Automated grading of knee osteoarthritis X-ray images based on attention mechanism. In Proceedings of the 2021 IEEE International Conference on Bioinformatics and Biomedicine (BIBM), Houston, TX, USA, 9–12 December 2021; pp. 1927–1932. [Google Scholar]
- Chan, S.; Dittakan, K.; El Salhi, S. Osteoarthritis detection by applying quadtree analysis to human joint knee X-ray imagery. Int. J. Comput. Appl. 2022, 44, 571–578. [Google Scholar] [CrossRef]
- Tariq, T.; Suhail, Z.; Nawaz, Z. Knee Osteoarthritis Detection and Classification using X-rays. IEEE Access 2023, 11, 48292–48303. [Google Scholar] [CrossRef]
- Mononen, M.E.; Liukkonen, M.K.; Turunen, M.J. X-ray with finite element analysis is a viable alternative for MRI to predict knee osteoarthritis: Data from the Osteoarthritis Initiative. J. Orthop. Res.® 2024, 42, 1964–1973. [Google Scholar] [CrossRef] [PubMed]
- Zhang, B.; Tan, J.; Cho, K.; Chang, G.; Deniz, C.M. Attention-based cnn for kl grade classification: Data from the osteoarthritis initiative. In Proceedings of the 2020 IEEE 17th International Symposium on Biomedical Imaging (ISBI), Iowa City, IA, USA, 3–7 April 2020; pp. 731–735. [Google Scholar]
- Abedin, J.; Antony, J.; McGuinness, K.; Moran, K.; O’Connor, N.E.; Rebholz-Schuhmann, D.; Newell, J. Predicting knee osteoarthritis severity: Comparative modeling based on patient’s data and plain X-ray images. Sci. Rep. 2019, 9, 5761. [Google Scholar] [CrossRef] [PubMed]
- Patil, P.; Gala, R.; Shah, M.; Salvi, P. ARTHRO—Knee Osteoarthritis Detection Using Deep Learning. In International Conference on Data Science and Applications; Springer Nature: Singapore, 2023; pp. 183–194. [Google Scholar]
- Bayramoglu, N.; Nieminen, M.T.; Saarakkala, S. Machine learning based texture analysis of patella from X-rays for detecting patellofemoral osteoarthritis. Int. J. Med. Inform. 2022, 157, 104627. [Google Scholar] [CrossRef]
- Tri Wahyuningrum, R.; Yasid, A.; Jacob Verkerke, G. Deep neural networks for automatic classification of knee osteoarthritis severity based on X-ray images. In Proceedings of the 2020 8th International Conference on Information Technology: IoT and Smart City, Xi’an, China, 25–27 December 2020; pp. 110–114. [Google Scholar]
- Anifah, L.; Purnama, I.K.E.; Hariadi, M.; Purnomo, M.H. Osteoarthritis classification using self organizing map based on gabor kernel and contrast-limited adaptive histogram equalization. Open Biomed. Eng. J. 2013, 7, 18. [Google Scholar] [CrossRef]
- Awan, M.J.; Rahim, M.S.M.; Salim, N.; Rehman, A.; Nobanee, H.; Shabir, H. Improved deep convolutional neural network to classify osteoarthritis from anterior cruciate ligament tear using magnetic resonance imaging. J. Pers. Med. 2021, 11, 1163. [Google Scholar] [CrossRef]
- Sen, W.; Xing, Y.; Zhang, L.; Gao, H.; Zhang, H. Deep convolutional neural network for ulcer recognition in wireless capsule endoscopy: Experimental feasibility and optimization. Comput. Math. Methods Med. 2019, 2019, 7546215. [Google Scholar]
- Naeem, A.; Anees, T.; Khalil, M.; Zahra, K.; Naqvi, R.A.; Lee, S.W. SNC_Net: Skin Cancer Detection by Integrating Handcrafted and Deep Learning-Based Features Using Dermoscopy Images. Mathematics 2024, 12, 1030. [Google Scholar] [CrossRef]
- Wen, F.; David, A.K. A genetic algorithm based method for bidding strategy coordination in energy and spinning reserve markets. Artif. Intell. Eng. 2001, 15, 71–79. [Google Scholar] [CrossRef]
- Malik, H.; Naeem, A.; Naqvi, R.A.; Loh, W.K. DMFL_Net: A federated learning-based framework for the classification of COVID-19 from multiple chest diseases using X-rays. Sensors 2023, 23, 743. [Google Scholar] [CrossRef]
- Felson, D.T.; Naimark, A.; Anderson, J.; Kazis, L.; Castelli, W.; Meenan, R.F. The prevalence of knee osteoarthritis in the elderly. The Framingham Osteoarthritis Study. Arthritis Rheum. 1987, 30, 914–918. [Google Scholar] [CrossRef] [PubMed]
- Li, W.; Xiao, Z.; Liu, J.; Feng, J.; Zhu, D.; Liao, J.; Yu, W.; Qian, B.; Chen, X.; Fang, Y.; et al. Deep learning-assisted knee osteoarthritis automatic grading on plain radiographs: The value of multiview X-ray images and prior knowledge. Quant. Imaging Med. Surg. 2023, 13, 3587. [Google Scholar] [CrossRef] [PubMed]
- Mohammed, A.S.; Hasanaath, A.A.; Latif, G.; Bashar, A. Knee Osteoarthritis Detection and Severity Classification Using Residual Neural Networks on Preprocessed X-ray Images. Diagnostics 2023, 13, 1380. [Google Scholar] [CrossRef]
- Cueva, J.H.; Castillo, D.; Espinós-Morató, H.; Durán, D.; Díaz, P.; Lakshminarayanan, V. Detection and classification of knee osteoarthritis. Diagnostics 2022, 12, 2362. [Google Scholar] [CrossRef] [PubMed]
- Hengaju, U. Classification of Knee Osteoarthritis using CNN. Adv. Image Process. Pattern Recognit. 2022, 5, 25–38. [Google Scholar]
- Chawla, N.V.; Bowyer, K.W.; Hall, L.O.; Kegelmeyer, W.P. SMOTE: Synthetic minority over-sampling technique. J. Artif. Intell. Res. 2002, 16, 321–357. [Google Scholar] [CrossRef]
- Naeem, A.; Anees, T. DVFNet: A deep feature fusion-based model for the multiclassification of skin cancer utilizing dermoscopy images. PLoS ONE 2024, 19, e0297667. [Google Scholar] [CrossRef]
- Hui, H.; Wang, W.-Y.; Mao, B.-H. Borderline-SMOTE: A new over-sampling method in imbalanced data sets learning. In Proceedings of the Advances in Intelligent Computing: International Conference on Intelligent Computing, ICIC 2005, Hefei, China, 23–26 August 2005; pp. 878–887. [Google Scholar]
- Malik, H.; Bashir, U.; Ahmad, A. Multi-classification neural network model for detection of abnormal heartbeat audio signals. Biomed. Eng. Adv. 2022, 4, 100048. [Google Scholar] [CrossRef]
- Tahir, M.; Naeem, A.; Malik, H.; Tanveer, J.; Naqvi, R.A.; Lee, S.W. DSCC_Net: Multi-Classification Deep Learning Models for Diagnosing of Skin Cancer Using Dermoscopic Images. Cancers 2023, 15, 2179. [Google Scholar] [CrossRef]
- Hassaan, M.; Farooq, M.S.; Khelifi, A.; Abid, A.; Qureshi, J.N.; Hussain, M. A comparison of transfer learning performance versus health experts in disease diagnosis from medical imaging. IEEE Access 2020, 8, 139367–139386. [Google Scholar]
- Riaz, S.; Naeem, A.; Malik, H.; Naqvi, R.A.; Loh, W.K. Federated and Transfer Learning Methods for the Classification of Melanoma and Nonmelanoma Skin Cancers: A Prospective Study. Sensors 2023, 23, 8457. [Google Scholar] [CrossRef] [PubMed]
- Moustakidis, S.; Papandrianos, N.I.; Christodolou, E.; Papageorgiou, E.; Tsaopoulos, D. Dense Neural Networks in Knee Osteoarthritis Classification: A Study on Accuracy and Fairness. Neural Comput. Appl. 2020, 5, 21–33. [Google Scholar] [CrossRef]
- Lee, L.S.; Chan, P.K.; Wen, C.; Fung, W.C.; Cheung, A.; Chan, V.W.K.; Chiu, K.Y. Artificial intelligence in diagnosis of knee osteoarthritis and prediction of arthroplasty outcomes: A review. Arthroplasty 2022, 4, 16. [Google Scholar] [CrossRef] [PubMed]
- Wang, Y.; Wang, X.; Gao, T.; Du, L.; Liu, W. An Automatic Knee Osteoarthritis Diagnosis Method Based on Deep Learning: Data from the Osteoarthritis Initiative. J. Healthc. Eng. 2021, 2021, 5586529. [Google Scholar] [CrossRef]




















| No. of Classes | Class Name | Datasets | Total | |
|---|---|---|---|---|
| Dataset-1 [14] | Dataset-2 [66] | |||
| 0 | Healthy | 639 | 514 | 1153 |
| 1 | Doubtful | 269 | 477 | 746 |
| 2 | Minimal | 447 | 232 | 679 |
| 3 | Moderate | 223 | 221 | 444 |
| 4 | Severe | 51 | 206 | 257 |
| Total | 1629 | 1650 | 3279 | |
| Process | Symbol | W | H | C | Size (Per Image in Bytes) | Storage (Per Image in Bytes) |
|---|---|---|---|---|---|---|
| Original | 512 | 512 | 3 | 2,034,617 | 10,456,121 | |
| Grayscale | 512 | 512 | 3 | 1,037,465 | 3,124,564 | |
| CLAHE | 512 | 512 | 1 | 1,037,465 | 3,124,564 | |
| Cropped | 256 | 256 | 1 | 413,065 | 096,704 | |
| DS | 150 | 150 | 1 | 31,256 | 62,011 |
| No. of Classes | Class Name | No. of Images After SMOTE | Data Splitting | ||
|---|---|---|---|---|---|
| Training (70%) | Validation (20%) | Testing (10%) | |||
| 0 | Healthy | 2520 | 1764 | 504 | 252 |
| 1 | Doubtful | 2314 | 1621 | 462 | 231 |
| 2 | Minimal | 2900 | 2030 | 580 | 290 |
| 3 | Moderate | 2372 | 1661 | 474 | 237 |
| 4 | Severe | 2565 | 1797 | 512 | 256 |
| Total | 12,671 | 8873 | 2532 | 1266 | |
| Classifiers | ACC | PRE | REC | F1-Score | AUC |
|---|---|---|---|---|---|
| Vgg-19 | 81.08% | 88.91% | 82.66% | 81.46% | 84.24% |
| DenseNet-169 | 84.97% | 89.17% | 89.93% | 88.73% | 85.21% |
| Xception | 87.06% | 88.73% | 85.41% | 81.11% | 85.58% |
| Inception-V3 | 83.62% | 89.60% | 81.96% | 83.37% | 80.53% |
| KOC_Net without SMOTE Tomek) | 79.89% | 77.85% | 79.47% | 72.28% | 77.99% |
| KOC_Net with SMOTE Tomek | 96.51% | 90.25% | 91.95% | 96.70% | 95.71% |
| Ref | Year | Model | KOA Classes | Datasets | ACC (%) | REC (%) | F1-Score (%) |
|---|---|---|---|---|---|---|---|
| [43] | 2024 | DCNN | 03 | OAI | 94.94 | × | 89.75 |
| [45] | 2024 | DCNN | 05 | OAI | 77.24 | 76.12 | 78.45 |
| [46] | 2023 | CNN | 05 | OAI | 91.03 | 90.89 | 90.35 |
| [64] | 2023 | DNN | 03 | OAI | 89.00 | 88.00 | 89.00 |
| [65] | 2022 | CNN | 05 | OAI | 61.00 | 59.95 | × |
| [14] | 2022 | CNN | 03 | OAI | 95.12 | 95.31 | × |
| [66] | 2022 | CNN | 05 | OAI | 57.00 | × | 56.95 |
| [12] | 2021 | Deep CNN | 05 | OAI | 66.68 | × | 59.60 |
| Proposed KOC_Net with SMOTE Tomek | 05 | KL grading + OAI | 96.51 | 91.95 | 96.70 | ||
Disclaimer/Publisher’s Note: The statements, opinions and data contained in all publications are solely those of the individual author(s) and contributor(s) and not of MDPI and/or the editor(s). MDPI and/or the editor(s) disclaim responsibility for any injury to people or property resulting from any ideas, methods, instructions or products referred to in the content. |
© 2024 by the authors. Licensee MDPI, Basel, Switzerland. This article is an open access article distributed under the terms and conditions of the Creative Commons Attribution (CC BY) license (https://creativecommons.org/licenses/by/4.0/).
Share and Cite
Hassan, S.N.; Khalil, M.; Salahuddin, H.; Naqvi, R.A.; Jeong, D.; Lee, S.-W. KOC_Net: Impact of the Synthetic Minority Over-Sampling Technique with Deep Learning Models for Classification of Knee Osteoarthritis Using Kellgren–Lawrence X-Ray Grade. Mathematics 2024, 12, 3534. https://doi.org/10.3390/math12223534
Hassan SN, Khalil M, Salahuddin H, Naqvi RA, Jeong D, Lee S-W. KOC_Net: Impact of the Synthetic Minority Over-Sampling Technique with Deep Learning Models for Classification of Knee Osteoarthritis Using Kellgren–Lawrence X-Ray Grade. Mathematics. 2024; 12(22):3534. https://doi.org/10.3390/math12223534
Chicago/Turabian StyleHassan, Syeda Nida, Mudassir Khalil, Humayun Salahuddin, Rizwan Ali Naqvi, Daesik Jeong, and Seung-Won Lee. 2024. "KOC_Net: Impact of the Synthetic Minority Over-Sampling Technique with Deep Learning Models for Classification of Knee Osteoarthritis Using Kellgren–Lawrence X-Ray Grade" Mathematics 12, no. 22: 3534. https://doi.org/10.3390/math12223534
APA StyleHassan, S. N., Khalil, M., Salahuddin, H., Naqvi, R. A., Jeong, D., & Lee, S.-W. (2024). KOC_Net: Impact of the Synthetic Minority Over-Sampling Technique with Deep Learning Models for Classification of Knee Osteoarthritis Using Kellgren–Lawrence X-Ray Grade. Mathematics, 12(22), 3534. https://doi.org/10.3390/math12223534

