Abstract
The consensus problem of a multi-agent system with nonlinear second-order underactuated agents is addressed. The essence of the approach can be outlined as follows: the output is redesigned first so that the agents attain the minimum-phase property. The second step is to apply the exact feedback linearization to the agents. This transformation divides their dynamics into a linear observable part and a non-observable part. It is shown that consensus of the linearizable parts of the agents implies consensus of the entire multi-agent system. To achieve the consensus of the original system, the inverse transformation of the exact feedback linearization is applied. However, its application causes changes in the dynamics of the multi-agent system; a way to mitigate this effect is proposed. Two examples are presented to illustrate the efficiency of the proposed synchronization algorithm. These examples demonstrate that the synchronization error decreases faster when the proposed method is applied. This holds not only for the states constituting the linearizable dynamics but also for the hidden internal dynamics.
MSC:
93A16; 93C10
1. Introduction
1.1. State of the Art
A multi-agent system is a system composed of several autonomous units, so-called agents, that are controlled to achieve a common goal (usually reaching synchronization). To accomplish this goal, the agents can communicate; nonetheless, inter-agent communication is restricted. To be specific, one agent can communicate with a limited number of other agents only; for details, see, e.g., [1,2]. This theoretical setting has numerous applications in biology, technology, physics, etc. This is why this problem belongs to the central problems of recent control theory.
There are two basic tasks to be accomplished by the multi-agent system: leader-following synchronization and consensus synchronization. The leader-following synchronization problem is characterized by the presence of an agent (so-called leader agent) that does not receive any information from other agents while the other agents should replicate the behavior of the leader agent. (Another term for this kind of synchronization is master-slave synchronization [3]). In the consensus synchronization problem, all agents can receive information; the goal is to force the agents to converge to a common trajectory, usually described by the average dynamics of all agents [4]. This paper focuses on the consensus problem.
The synchronization of linear multi-agent systems has been studied in numerous papers. This applies even to systems with delays in the communication channels, uncertainties, etc. On the other hand, there are significantly fewer results concerning nonlinear multi-agent systems, despite the practical importance of these systems. Several approaches have been developed to handle nonlinearities in the agents. The Young inequality was used to estimate the nonlinear terms in [5,6], among others. Similarly, in [7], Qian designed the synchronizing control based on the Jacobians of the nonlinear terms. Nonetheless, these approaches do not allow for precise matching of nonlinearity, inevitably leading to rather conservative results. Another method is based on game theory [8], yielding an iterative algorithm, while backstepping is also often used to design a synchronizing control for nonlinear multi-agent systems (see, e.g., [9,10,11,12,13], among others). This algorithm leads to a control law that is robust against disturbances. However, the design process is rather cumbersome. A passivity-based approach to the synchronization problem with delayed control signals was adopted in [14]; its application for synchronizing a group of mobile robots was also described.
Recently, exact feedback linearization-based algorithms for synchronizing nonlinear multi-agent systems have emerged. Synchronization algorithms using this nonlinear transformation can handle nonlinearity more precisely than those based on its linear approximation, leading to less conservative results. Moreover, many nonlinear systems encountered in practice exhibit nontrivial zero dynamics. Thus, the proposed algorithms have to effectively deal with such systems. The synchronization problem for nonlinear multi-agent systems was solved for systems with exponentially stable zero dynamics (minimum-phase) in [15]; these results were extended to multi-agent systems with delayed control signals in [16]. The requirement for the agents to be minimum-phase systems is reiterated in this paper. The design method described in these papers can be briefly outlined as follows: the exact feedback linearization is applied to all agents first; after this transformation, one finds the synchronizing control for the linearized agents. The control is then transformed into the original coordinates in the next step, yielding a nonlinear synchronizing control law. If hidden dynamics are present, it is shown that they are also synchronized by this control law, provided that these dynamics are exponentially stable. As shown in [17], this approach can be extended to systems with output feedback.
Underactuated systems are systems with fewer actuators than degrees of freedom. These systems constitute a very practically important class of nonlinear systems (see, e.g., [18,19,20], among others. Let us mention that the two-link manipulator [21], three-link manipulator [22], the pendulum on a cart, robot manipulators [23], the translational oscillator with a rotating actuator (TORA) [24], quadrotors [25], and several kinds of underwater [26] and water-surface vehicles [27] fall within this category, among other systems. On the other hand, these systems can generate rather complex behavior. Hence, their control is rather challenging [28]. A common feature of these systems is the presence of nontrivial zero dynamics, which often fail to be exponentially stable. Several approaches to their control have been proposed, including sliding-mode control [29], backstepping [30], and adaptive control [31]. Fuzzy control for fractional-order underactuated systems was adopted in [32], where stability and resilient control strategies were designed for this class of systems.
From the (inevitably incomplete) list of applications of underactuated systems, it follows that the synchronization problem of a group of underactuated systems also has strong practical importance, namely that this problem naturally arises, e.g., in the coordination or formation control of water-surface vehicles (see [33,34] or [35], among others). Let us also note that synchronizing a group of unmanned autonomous surface vehicles under cyber attacks was investigated in [36]. The synchronization problem of underwater autonomous vehicles, which also falls within this category, has been studied in numerous papers, such as in [37], and generalized in [38,39]. The control of swarms of unmanned underwater vehicles was presented in detail in [40], together with a presentation of neural-based control algorithms for these systems. Moreover, a thorough presentation of issues encountered when controlling swarms of underwater vehicles can also be found in [41]. The area of controlling underactuated robotics is rapidly developing (see [42] or [19], to name a few).
To find an effective way to control design for underactuated systems, the so-called collocated feedback method described in [43] seems to be a suitable approach. To apply this method, the procedure presented in [18] and [44] for the redefinition of the output is conducted (the so-called collocated output is designed). This ensures that the zero dynamics become asymptotically stable with this new output. As shown in [45], the stabilization of the linearized part of the system suffices for the stabilization of the entire system for minimum-phase systems. Hence, it seems that this method can be combined with the algorithms for synchronizing nonlinear multi-agent systems based on exact feedback linearization.
1.2. Purpose of This Paper
The purpose of this paper is to present a synchronization algorithm for a multi-agent system composed of underactuated agents with two degrees of freedom, based on collocated output design and the subsequent application of exact feedback linearization. The problem is studied in detail, including recovering the original average dynamics (the average dynamics are equivalent to the dynamics of a single agent). The solution to the problem of synchronization of underactuated systems via exact feedback linearization without affecting the average dynamics is the main contribution of this paper. To the best of our knowledge, this problem has not been investigated so far.
The advantage of the proposed approach is that it matches the nonlinearity precisely through the application of exact feedback linearization, which, consequently, leads to faster synchronization. A comparison with an existing method is given in Section 8. The method proposed here has numerous practical applications, e.g., more efficient synchronization of robotic arms and swarms of surface, underwater, or aerial vehicles, among others, as these systems fall into the category of underactuated systems.
In other words, this paper aims to present how the combination of output design, exact feedback linearization, the linear synchronization algorithm, and, finally, inverse exact feedback linearization yields an efficient method for nonlinear agents’ synchronization.
1.3. Outline of This Paper
The necessary terms from graph theory are summarized in the next section. Then, the problem investigated in this paper is presented. The following sections contain the necessary material to deal with multi-agent systems with underactuated agents, namely the output redesign method and the problem of synchronizing a linear uncertain multi-agent system. As these sections contain previously obtained results, they are rather brief. Then, the synchronization of the internal dynamics is proved. As the control designed so far changes the average dynamics of the multi-agent system, a modification of this control law is proposed so that the average dynamics become equivalent to the dynamics of a single agent. The illustrative examples and the conclusions follow.
1.4. Notations
The notations used in this paper include the following:
- The symbol 0 denotes the zero matrix; the symbol denotes the -dimensional identity matrix (the dimension of the zero matrix is always clear from the context).
- The symbol stands for the quadratic norm.
- The blocks below the diagonal are replaced with an asterisk for symmetric matrices:
- The symbol ⊗ denotes the Kronecker product.
- If P is a symmetric matrix, then the matrix inequality means that the matrix P is positive definite.
- The time dependence of functions is not explicitly expressed: if v is a function of time, then is abbreviated as v.
2. Graph Theory
Graph theory is a common tool for describing the information exchange between agents in the entire multi-agent system. Since the required notions of graph theory can be found in the literature (such as [2] or others), only the most important facts are presented here.
The agents are denoted by integers from the set . Then, define the set as follows: let if and only if the agent i sends information to the agent j. The directed graph describing the topology of the agent network is then defined as . If for all such that holds , then we say the graph is undirected.
The -dimensional adjacency matrix is defined as if ; otherwise, .
Assumption 1.
The following are assumed:
- i
- The interconnection topology contains no loops. This implies that and, consequently, for every .
- ii
- The communication topology is undirected; hence, for all such that , it also holds that .
Generalizing the proposed results to directed communication topologies is rather technical; hence, we focus on multi-agent systems with topologies described by undirected graphs.
The graph is said to contain a spanning tree if the following condition holds: for every , we can find a path from node i to node j.
Let us introduce the Laplacian matrix by for and , .
The paper [2] and others show that if the interconnection topology is described by the graph containing a spanning tree, then the matrix L has one simple zero eigenvalue that corresponds to the eigenvector , while the other eigenvalues are real and negative. Let us denote the nonzero eigenvalues as . Let be the nonzero eigenvalue with the largest absolute value and be the nonzero eigenvalue with the smallest absolute value of the matrix L.
Assumption 2.
The interconnection topology of the multi-agent system studied in the following section is described by a graph that contains a spanning tree.
3. Problem Setting
The multi-agent system considered here comprises N identical agents of the fourth order; each agent is an underactuated system. The generalized coordinates and velocities of the ith agent are denoted as . Also, let
The matrix M is called the mass matrix. The ith agent is defined as
(For a more detailed treatment of underactuated systems, see [18]).
Define the average of the state of all agents
The multi-agent system composed of agents in (2) is said to achieve consensus if
The goal is to design a smooth function so that the control law given as
guarantees consensus of the multi-agent system described in (2) under the assumption that all agents have initial conditions , where is some neighborhood of the origin in .
4. Collocated Feedback and Output Redesign
As shown in [16], if the agents are not exactly linearizable systems, their synchronization can still be achieved, provided that the internal dynamics are asymptotically stable. This condition is not satisfied in many real-world systems. However, [18] presented a method for recovering this property through a suitable output redesign for nonminimum-phase systems. For the sake of clarity, this method is briefly described here.
In line with [18] and [43], the agents are assumed to admit partial feedback linearization. To be precise, we make the assumptions listed below.
Assumption 3.
The following are assumed:
- i
- For every , the matrix function M is symmetric, and .
- ii
- Let us divide matrix M as with , and . Then, we assume that for any .
First, divide the vector as follows: with , . Next, choose as the output. Then, after some manipulations, one can infer (see [43,44]) that there exist functions , , and a neighborhood of zero such that
and, with the transformed input defined as
one has
Remark 1.
The above formulas were obtained by defining the fictitious output as and conducting exact feedback linearization on the system (2).
The design of the synchronization algorithm that follows requires exponential stability of the zero dynamics, which is defined as the following autonomous system:
However, in many cases, the zero dynamics of underactuated systems are not exponentially stable if .
A remedy can be found in [18] or [44], where a procedure to modify the output to ensure the desired stability of the zero dynamics is presented.
The authors of [18] thoroughly described the construction of the output. In [44], a simplified version for systems with two degrees of freedom was presented. For the sake of completeness, the algorithm is summarized here:
- Choose the output and determine the functions and as mentioned above.
- Determine the zero dynamics of the system with the output .
- If the zero dynamics are not asymptotically stable, choose a sufficiently smooth function and redefine the output as .
- As the choice of the new output alters the internal dynamics, redefine the function and find the new zero dynamics using (10).
- If the zero dynamics are exponentially asymptotically stable, stop.
- Go to Step 3.
To select the function , a specific description of the controlled system is necessary. Hence, no specific advice can be given here. Nevertheless, [44] illustrated this procedure through several practical examples.
As noted above, the resulting output is defined as
for a suitable function so that the zero dynamics are asymptotically stable—this feature will be useful in the sequel. The function is identical for all agents.
5. Synchronization of the Linearized External Dynamics
The problem of synchronizing the linear parts of the agents is briefly presented in this section. Since one can use various methods to robustly synchronize linearized multi-agent systems, the method used in this paper, based on the results in [46], can be freely replaced with another method. The important requirement is to guarantee the validity of inequality (20) (see below). In the context of this paper, this section presents rather technical material and should be understood as an indication of a possible way to derive this quality.
In this section and the subsequent section, the following assumption is made.
Assumption 4.
The output of the agents has been redesigned so that the system has exponentially stable zero dynamics.
Let
and
as
The control signal is assumed to attain the form (with the matrix to be determined)
Then, one can rewrite Equation (12) as
As demonstrated in [47] and others, system (14) is asymptotically stable if the matrices
are Hurwitz (scalars are defined in Section 2).
Remark 2.
The method to determine the matrix K is described in [47,48] and others. The main idea is to introduce the so-called disagreement vector e as follows: let , , and finally, . Then, the synchronization of the system (12) is equivalent to the problem of stabilizing the disagreement dynamics (). Moreover, it can be shown that the convergence of the disagreement dynamics is exponential.
The generalization of the multi-agent system (14) to systems with Lipschitz-type uncertainty, introduced in [46], will be useful in the subsequent sections; hence, it is mentioned here. The version presented in this section is tailored to the application of the synchronization of the observable part of underactuated systems. Specifically, we present a result concerning the synchronization of the system (14) with an additional uncertain term.
For the case of the multi-agent system with external inputs , , one can derive the lemma given below (see [46]).
Lemma 1.
Let us consider that Assumptions 1, 2, and 4 hold, and suppose there exists a function that satisfies the following Lipschitz condition: there exist scalars , such that for all , the following holds:
Let , , , and
Moreover, let , and the multi-agent system be defined as
with . Let there exist a -dimensional matrix , , and a scalar such that the following LMI holds
Let
Then, there exist positive constants such that, with and , the following holds:
Having conducted the design of the control gain matrix K, one can see that (7) and (13) imply
which is how the function in (5) is expressed.
It is important to realize that the control signals may also depend on the state of the internal dynamics since the functions and depend on the entire state and its derivative.
6. Synchronization of the Internal Dynamics
First, for the sake of conciseness of the notations, define vectors , , , and let , where the function is defined in (13).
As a consequence of Assumption 4, there exist the matrix U and a function satisfying
and
Note that the function vanishes at the origin together with its derivatives.
The exponential stability of the zero dynamics implies that for any , there exists a positive definite matrix such that
Let us define the functions as
In the sequel, we will investigate the differences for :
With the help of the function , one can reformulate expression (25) as
which, with (24), yields
Then, the Young inequality implies the validity of the following estimate for every :
Moreover, observe that
Let us suppose that . Then, there exists a neighborhood of the origin such that if , then
Hence,
As the function contains only higher-order terms, a choice of constants such that
is always possible (at the cost of taking a smaller set ). Choosing these parameters such that (30) is satisfied allows us to infer the following expression from (27)
Define the Lyapunov function as
Using (31), one can see that there exists a constant satisfying
Due to the results from the previous section, the application of the control signal implies that . This, in turn, yields synchronization of the functions by the same control , for . Hence,
Theorem 1.
Consider the multi-agent system (2) with an interconnection topology satisfying Assumptions 1 and 2. Let Assumptions 3 and 4 hold. Suppose the linearized part is synchronized, condition (30) is valid, and the trajectories of all agents lie in the set . Then, the consensus of the system (2) is guaranteed by the control law (5).
Proof.
Assume the external dynamics are synchronized. This also implies synchronization of the control signals . Thanks to the Vanishing Perturbation Theorem (see [45]), relation (32) guarantees . □
Since exact feedback linearization is a diffeomorphism between two descriptions of one system, we immediately arrive at the corollary given below.
Corollary 1.
Under the assumptions of Theorem 1, the control law (21) guarantees synchronization of the multi-agent system (2).
7. Recovery of Dynamical Properties
The control law (21) guarantees achieving the consensus of the multi-agent system, at the cost of changing the dynamics of the agents caused by the application of exact feedback linearization. Specifically, the average dynamics (the dynamics that govern the evolution of ) are equivalent to the linearized dynamics (8), (9). A change in the average dynamics is a rather undesirable feature—in many cases, it is required that the average external dynamics obey the equations describing one agent (with zero external input). Hence, the control law (21) must be modified to restore this property. In this section, such a control law is proposed with the help of robust control theory.
If consensus is achieved, then , and for the transformed control signals, we have . Then, (7) implies that, after reaching consensus, the control signal fed to every agent is equal to (with a slight abuse of notation)
This control input acts upon all agents, even after reaching the consensus state, and modifies their dynamical properties since it does not (in general) equal to zero.
On the other hand, subtracting (34) from the control signal (21) is not possible since the quantity is not known to the agents (unless in the special case when the complete graph describes the interconnection topology). Still, for future purposes, consider the (practically non-realizable) case when the control of all agents is defined for some matrix K as
Remark 3.
Since is independent of i, adding this term to all agents’ inputs does not modify the synchronization of the multi-agent system.
In other words, when consensus is established, the control input (35) guarantees that the average dynamics are governed by the same law as the dynamics of a single agent.
To design a practically realizable control law, the term will be replaced with its approximation obtained only from values directly available to agent i; this procedure is described in the subsequent text. As will be seen, some uncertainty appears in this process; thus, the matrix K must be designed with this feature in mind.
Denote by the number of nodes that send information directly to the ith agent (meaning ). Moreover, define
The quantity is realizable as it is an average of the values of from those agents that send information directly to agent i. Thus, can be regarded as the approximation of the first component of based on the information available to agent i. First, define the function as
where and were defined in the previous sections. We also introduce the vectors , .
Assumption 5.
There exist scalars and such that, for any , the function satisfies inequality (16).
The function can be regarded as the realizable approximation of the term . With the function , one can modify the control signal defined in (35) so that the following physically realizable control signal is fed into the ith agent:
Note that if and , then .
Adding the term is equivalent to adding the same term to the transformed control . Hence, this control is replaced with
Let , , and
Then, the linearized part of the multi-agent system can be compactly expressed in the form
Hence, replacing the non-realizable term with the term in (35) corresponds to the appearance of the uncertain term and thus introduces an additional requirement for the robustness of the synchronizing control.
Let , , and define the function V as
Since the last term in (40) is equal for all agents, it does not affect the disagreement vectors. Assume the control gain K was designed using the method described in Corollary 1. Then, (20) and (32) yield
Theorem 2.
Consider the multi-agent system (2) with an interconnection topology satisfying Assumptions 1 and 2. Assume the agents are systems with two degrees of freedom and an underactuation degree of one such that Assumptions 3 and 4 hold. Moreover, suppose their outputs are chosen so that the agents are minimum-phase systems. Let the assumptions of Lemma 1 hold so that the positive constants , , , μ, and β satisfy
Let the control signal be equal to (37). Assume that the trajectories of all agents lie in the set . Then, the consensus of the system (2) is guaranteed, and the vector obeys the dynamics described by (2) with zero input.
Proof.
Conditions (43) imply that on ; hence, synchronization is achieved. Moreover, as noted above, the average dynamics are equivalent to the dynamics of a single uncontrolled agent. □
Remark 4.
The method for output redesign might be difficult to apply, as it requires an in-depth knowledge of the controlled system. In contrast, the application of exact feedback linearization is quite straightforward. On the other hand, the zero dynamics must be asymptotically stable; if matrix R is such that the constant α is too small, then one may experience difficulties in satisfying inequality (30). However, such limitations are often encountered in control theory; thus, their presence is not perceived as a serious drawback.
8. Examples
8.1. Coupled Inverted Pendulums on a Cart
For the agents, the inverted pendulums on the cart are chosen. The system is thoroughly described in [18], and its synchronization is briefly described in [49]. As the agents are equal, we omit the subscript i in the following.
The single inverted pendulum on a cart is described by the equations
where the meanings of the variables are as follows: x is the cart’s position and is the pendulum’s angle. The other constants are as follows: l is the length of the pendulum, g is the gravitational acceleration, m is the mass of the cart, and M is the mass of the pendulum (). The variable u is the external force acting upon the cart, which is the control input. The application of exact feedback linearization (with output first) yields
for
where the fraction is negligibly small.
As the zero dynamics are not stable for this choice of output, [18] suggested redefining the output as follows:
with suitably chosen constants and . In this example, and were chosen.
With the help of (47), one can design a stabilizing control law , which is a function of y and . Let the signal be given by (for some real constants , )
As shown in [18], the control signal fed into the transformed system and the designed control input are related by
This equation, together with (46), yields the relation between u and .
For simulations, we set m. The values of m and M are not required. The algorithm described in Section 5 yields and . If used for only one system, this control stabilizes not only the pendulum’s vertical position but also the cart’s position.
Remark 5.
Note that [18] derived a slightly different control action, as the authors aimed to enlarge the region of attraction. However, for the sake of simplicity, the linear controller in the form was used here.
The multi-agent system composed of six identical agents described above, along with the control presented here, was interconnected into the loop (see Figure 1). Moreover, a sinusoidal disturbance was added to agent 1.
Figure 1.
Interconnection of the agents.
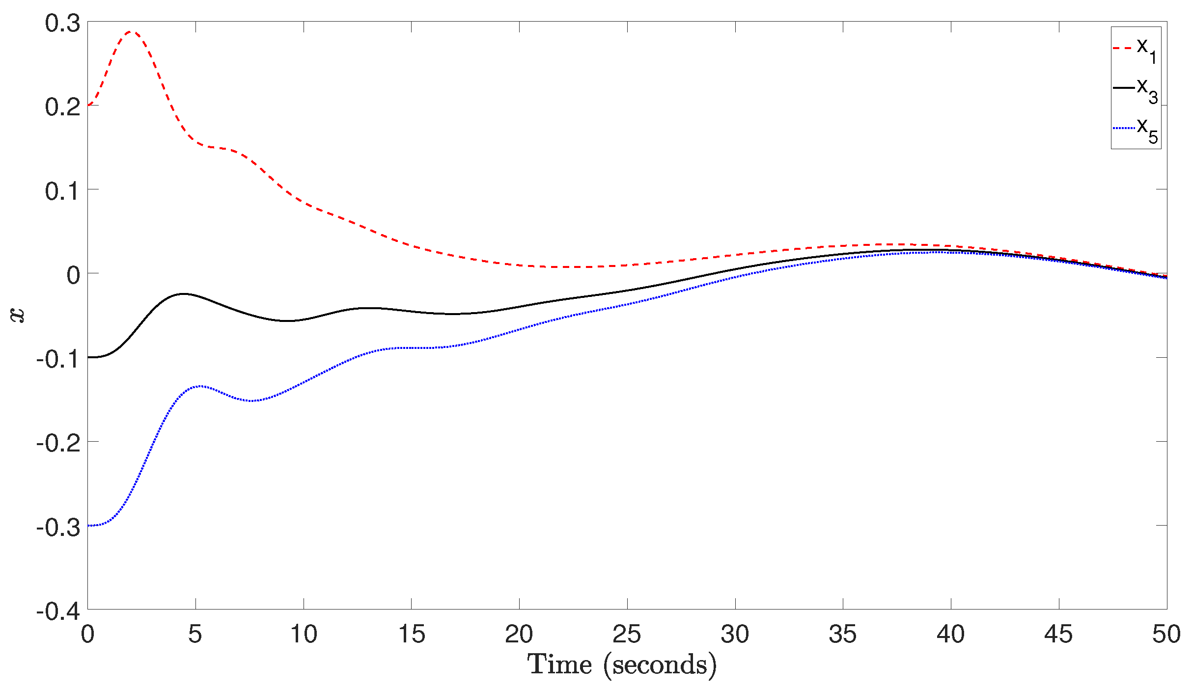
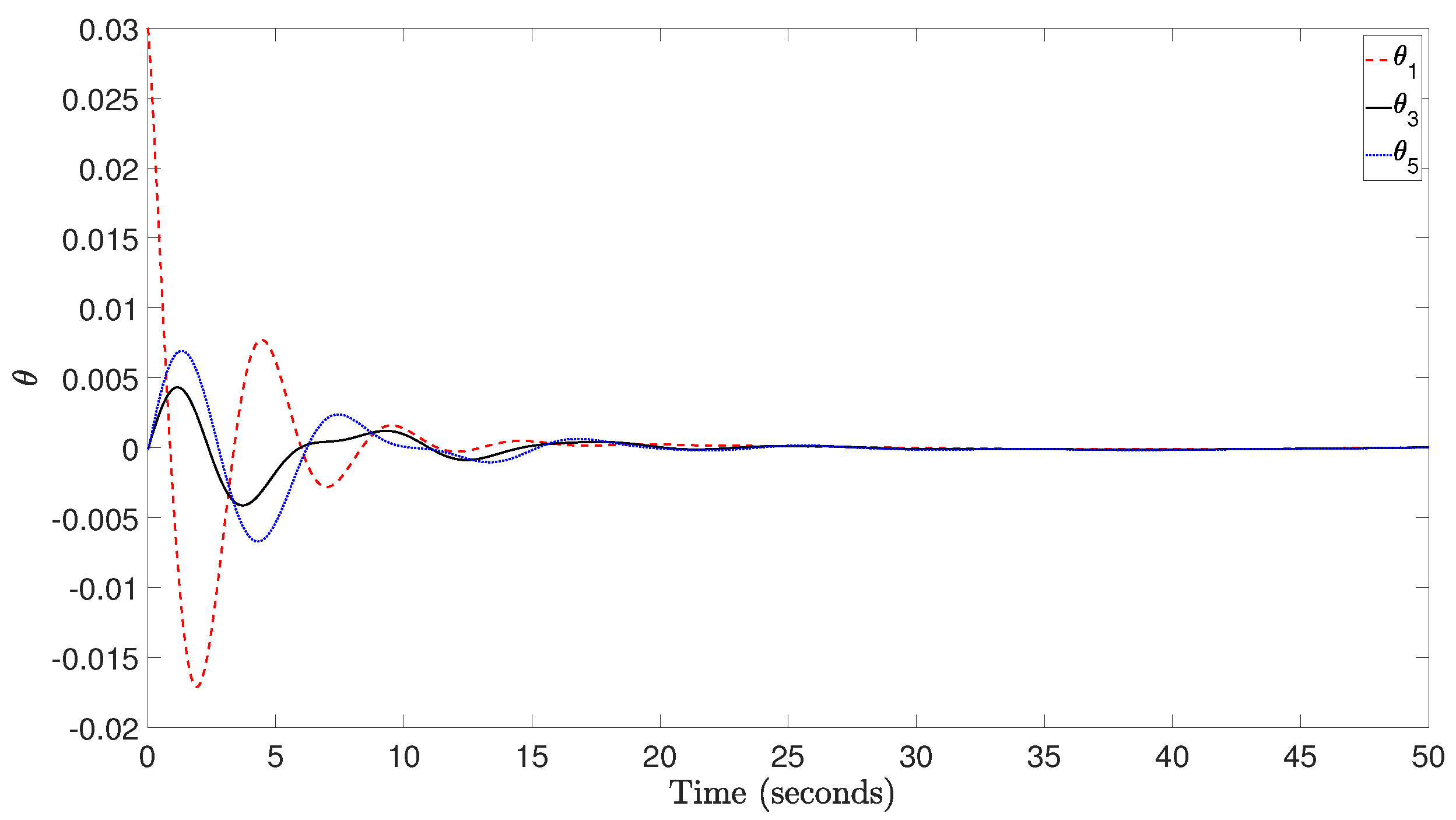
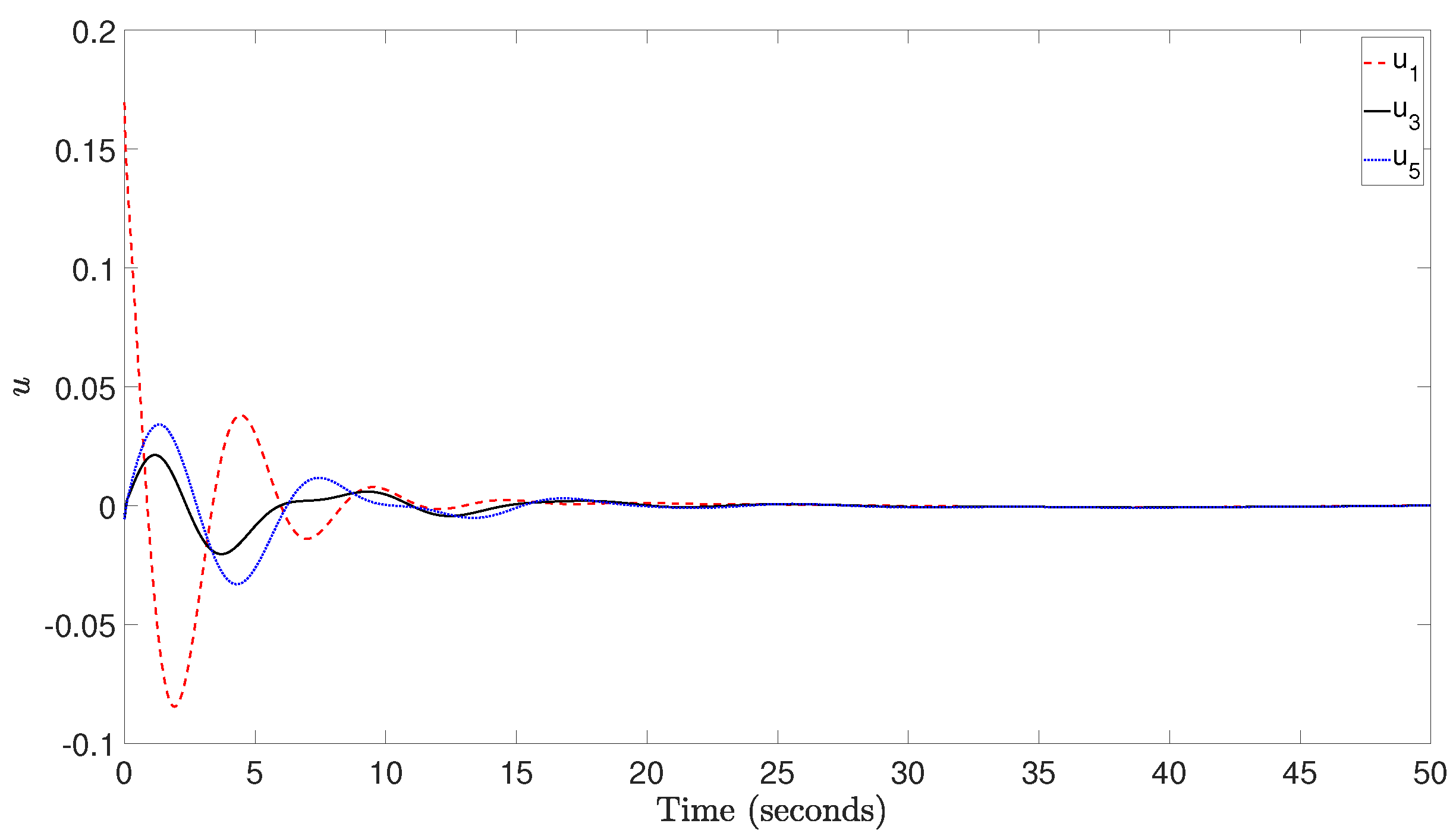
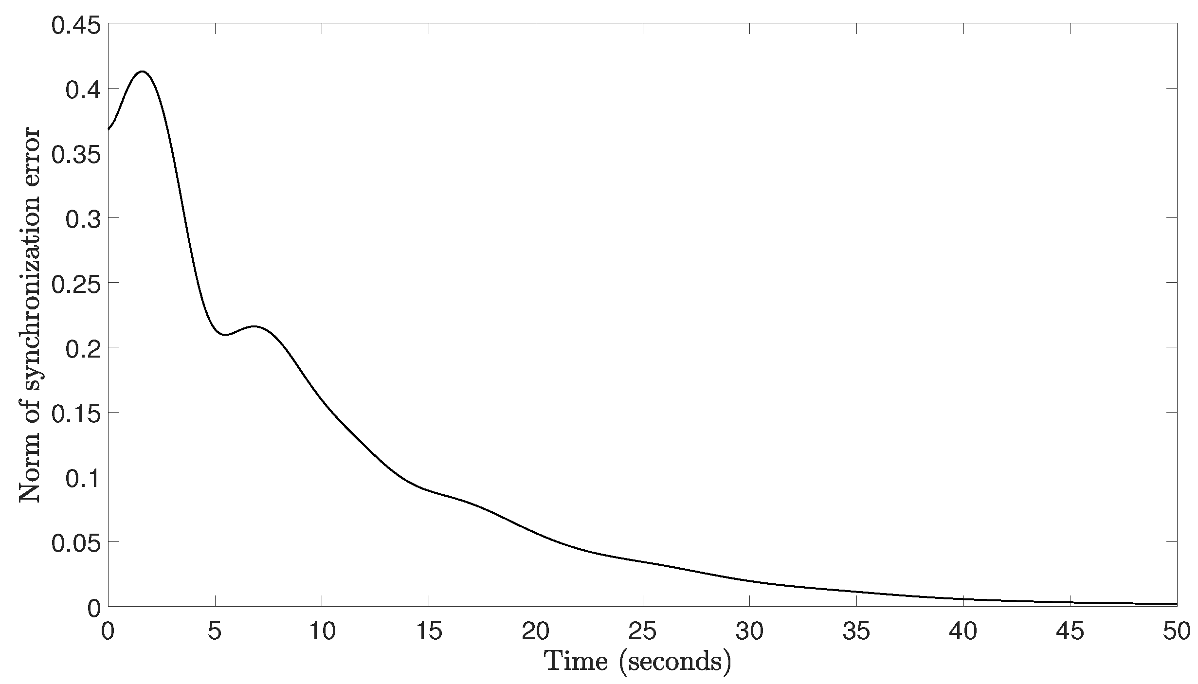
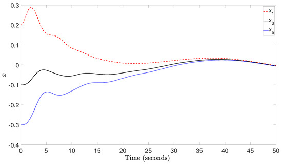
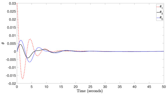
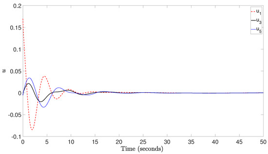
The dashed red line illustrates the position of the first cart in Figure 2. The solid black line shows the position of the cart of the third agent, while the dotted blue line represents the fifth agent. The meanings of the lines are the same in Figure 3, where the angle is depicted. Similarly, the control signals of these agents are shown in Figure 4. The norm of the synchronization error for the entire network is depicted in Figure 5, which shows the norm of the synchronization error for the entire multi-agent system. One can see that the collocated feedback stabilizes the zero dynamics (in the case of the inverted pendulum, the angle ), while the variable x of all agents is synchronized.
Figure 2.
The position of the cart of agents 1, 3, and 5.
Figure 3.
The angle of the pendulum of agents 1, 3, and 5.
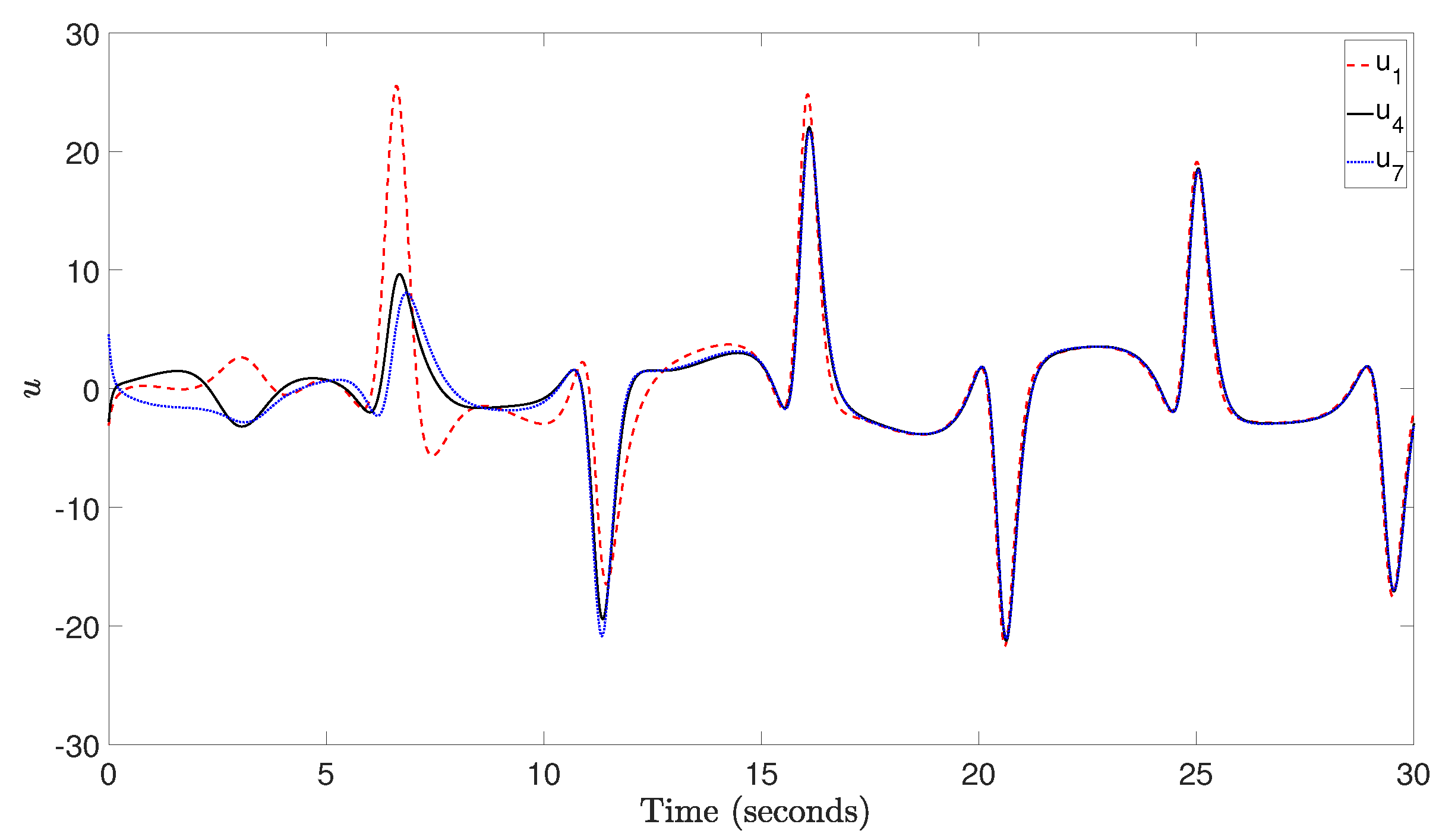
Figure 4.
The control of agents 1, 3, and 5.
Figure 5.
Norm of the synchronization error.
The choice of the output ensures that not only the agent’s state x—the positions—are synchronized, but it also naturally stabilizes the angle at —that is, the upright position of the pendulum—if no interactions between agents are active. This, in turn, guarantees synchronization of the angle of the pendulums.
8.2. Coupled van der Pol and Linear Oscillators
In this example, the multi-agent system composed of nine interconnected van der Pol and linear oscillators is considered. The interconnection topology is again circular.
One agent is described by the equations
with .
Proceeding as in [18], taking as the output does not lead to asymptotically stable zero dynamics. Thus, we modify the output as
where k is a constant that will be determined later. Using , , , , and , the agent’s description can then be transformed into
Thus, the zero dynamics read
Proposition 1.
Assume that . The origin is an asymptotically stable equilibrium, and the set is a subset of its domain of attraction.
Proof.
Taking the Lyapunov function , one can infer that . Since the set D is positively invariant and the set is the only invariant subset of , the origin is asymptotically stable due to LaSalle’s invariance principle. □
Consider a multi-agent system composed of nine systems (49), (50), with and . Then, , and the eigenvalues of the closed loop are .
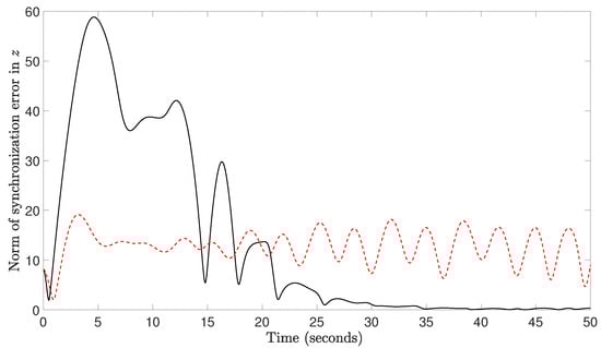
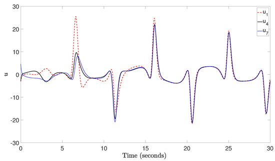
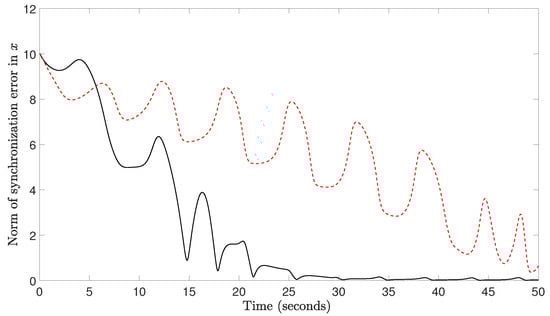
Figure 6 shows the state x of the first agent (dashed red line), fourth agent (solid black line), and seventh agent (dotted blue line). Similarly, the control signals of these agents are shown in Figure 7. The norms of the synchronization error are depicted in Figure 8 and Figure 9. To clearly illustrate the potential of the method, the magnitude of the initial conditions was increased, and the time interval of the simulation was extended. Moreover, these figures present a comparison with the same system controlled by a linear controller with the same gain matrix K. Specifically, the time evolution of the norm of the synchronization error is depicted in Figure 8. Analogously, the norm is shown in Figure 9. In both figures, the solid black line represents the norm of the synchronization error for a proposed nonlinear controller, and the red dashed line stands for the norm of the synchronization error when the multi-agent system was synchronized by the linear controller. One can see that the synchronization error converged to zero faster when the synchronization algorithm proposed here was applied. This is due to the fact that the nonlinearity was matched more precisely. Specifically, when the effect of the nonlinear terms was large, the control was less conservative compared to the control obtained by estimating the nonlinearities using the Lipschitz inequality combined with robust control methods.
Figure 6.
States , , and .
Figure 7.
The control of agents 1, 4, and 7.
Figure 8.
Norm of the synchronization error in x. The solid black line represents the norm of the synchronization error for the proposed nonlinear controller, while the red dashed line represents the norm of the synchronization error for the linear controller.
Figure 9.
Norm of the synchronization error in z. The solid black line represents the norm of the synchronization error for the proposed nonlinear controller, while the red dashed line represents the norm of the synchronization error for the linear controller.
9. Conclusions and Future Work
The synchronization of nonlinear agents was investigated. The agents were not fully linearizable, but it was shown that synchronization of all states can be achieved. This was accomplished by finding an auxiliary output in which the agents’ systems are minimum-phase. Then, one group of states can be synchronized while the minimum-phase property ensures the synchronization of the remaining states. Two examples illustrated the potential of the proposed method: the synchronization error converges faster for a multi-agent system synchronized by the proposed controller compared to the case when the synchronizing controller is linear.
In the future, research will include systems with uncertainties, leading to a robust control law. Moreover, as the control of multi-agent systems is often subject to time delays, the effects of these time delays will also be studied, which will require the application of suitable Lyapunov–Krasovskii functionals. Last but not least, more general topologies will be investigated.
Author Contributions
Conceptualization, B.R. and V.L.; methodology, B.R., A.L. and V.L.; software, B.R., A.L. and V.L.; validation, B.R. and A.L.; formal analysis, B.R., A.L. and V.L.; writing—original draft preparation, B.R., A.L. and V.L.; writing—review and editing, B.R. and V.L.; visualization, B.R., A.L. and V.L.; supervision, B.R. and V.L. All authors have read and agreed to the published version of the manuscript.
Funding
This research received no external funding.
Data Availability Statement
The original contributions presented in the study are included in the article. Further inquiries can be directed to the corresponding author.
Acknowledgments
We are grateful to the anonymous referees for providing helpful comments.
Conflicts of Interest
The authors declare no conflicts of interest.
References
- Wen, G.; Duan, Z.; Yu, W.; Chen, G. Consensus of multi-agent systems with nonlinear dynamics and sampled-data information: A delayed-input approach. Int. J. Robust Nonlinear Control. 2013, 23, 602–619. [Google Scholar] [CrossRef]
- Li, Z.; Duan, Z.; Chen, G.; Huang, L. Consensus of multiagent systems and synchronization of complex networks: A unified viewpoint. IEEE Trans. Circuits Syst. I Regul. Pap. 2010, 57, 213–224. [Google Scholar]
- Kekha Javan, A.A.; Shoeibi, A.; Zare, A.; Hosseini Izadi, N.; Jafari, M.; Alizadehsani, R.; Moridian, P.; Mosavi, A.; Acharya, U.R.; Nahavandi, S. Design of Adaptive-Robust Controller for Multi-State Synchronization of Chaotic Systems with Unknown and Time-Varying Delays and Its Application in Secure Communication. Sensors 2021, 21, 254. [Google Scholar] [CrossRef] [PubMed]
- Wang, Q.; Hu, J. Modeling and Control of Wide-Area Networks. Mathematics 2023, 11, 3984. [Google Scholar] [CrossRef]
- Cao, Y.Y.; Sun, Y.X.; Lam, J. Delay-dependent robust H∞ control for uncertain systems with time delays. IEE Proc.-Control. Theory Appl. 1998, 3, 338–344. [Google Scholar] [CrossRef]
- Xu, W.; Cao, J.; Yu, W.; Lu, J. Leader-following consensus of non-linear multi-agent systems with jointly connected topology. IET Control. Theory Appl. 2014, 8, 432–440. [Google Scholar] [CrossRef]
- Qian, W.; Gao, Y.; Wang, L.; Fei, S. Consensus of multiagent systems with nonlinear dynamics and time-varying communication delays. Int. J. Robust Nonlinear Control. 2019, 29, 1926–1940. [Google Scholar] [CrossRef]
- An, N.; Zhao, X.; Wang, Q.; Wang, Q. Model-Free distributed optimal consensus control of nonlinear multi-agent systems: A graphical game approach. J. Frankl. Inst. 2023, 360, 8753–8771. [Google Scholar] [CrossRef]
- Wang, C.; Wen, C.; Wang, W.; Hu, Q. Output-feedback adaptive consensus tracking control for a class of high-order nonlinear multi-agent systems. Int. J. Robust Nonlinear Control. 2017, 27, 4931–4948. [Google Scholar] [CrossRef]
- Lu, J.; Guo, X.; Huang, T.; Wang, Z. Consensus of signed networked multi-agent systems with nonlinear coupling and communication delays. Appl. Math. Comput. 2019, 350, 153–162. [Google Scholar] [CrossRef]
- Ni, X.; Yi, K.; Jiang, Y.; Zhang, A.; Yang, C. Consensus Control of Leaderless and Leader-Following Coupled PDE-ODEs Modeled Multi-Agent Systems. Mathematics 2022, 10, 201. [Google Scholar] [CrossRef]
- Zhuang, J.; Li, Z.; Hou, Z.; Yang, C. Event-Triggered Consensus Control of Nonlinear Strict Feedback Multi-Agent Systems. Mathematics 2022, 10, 1596. [Google Scholar] [CrossRef]
- Yang, Y.; Qi, Q.; Hu, J.; Dai, J.; Yang, C. Adaptive Fault-Tolerant Control for Consensus of Nonlinear Fractional-Order Multi-Agent Systems with Diffusion. Fractal Fract. 2023, 7, 760. [Google Scholar] [CrossRef]
- Yamauchi, J.; Atman, M.W.S.; Hatanaka, T.; Chopra, N.; Fujita, M. Passivity-based control of human-robotic networks with inter-robot communication delays and experimental verification. In Proceedings of the 2017 IEEE International Conference on Advanced Intelligent Mechatronics (AIM), Munich, Germany, 3–7 July 2017; pp. 628–633. [Google Scholar]
- Rehák, B.; Lynnyk, V.; Čelikovský, S. Consensus of homogeneous nonlinear minimum-phase multi-agent systems. IFAC-PapersOnLine 2018, 51, 223–228. [Google Scholar] [CrossRef]
- Rehák, B.; Lynnyk, V. Approximate Synchronization of Complex Network Consisting of Nodes With Minimum-Phase Zero Dynamics and Uncertainties. IEEE Access 2022, 10, 35352–35362. [Google Scholar] [CrossRef]
- Rehák, B.; Lynnyk, V. Consensus of a nonlinear multi-agent system with output measurements. IFAC-PapersOnLine 2021, 54, 400–405. [Google Scholar] [CrossRef]
- Acosta, J.A.; Lopez-Martinez, M. Constructive feedback linearization of underactuated mechanical systems with 2-DOF. In Proceedings of the 44th IEEE Conference on Decision and Control, Seville, Spain, 15 December 2005; pp. 4909–4914. [Google Scholar]
- Anderle, M.; Čelikovský, S.; Henrion, D.; Zikmund, J. Advanced LMI based analysis and design for Acrobot walking. Int. J. Control. 2010, 83, 1641–1652. [Google Scholar] [CrossRef]
- Čelikovský, S.; Anderle, M. Feedback equivalence of the chained mechanical system to the almost linear form and its use for the sustainable multi-step walking design. J. Frankl. Inst. 2024, 361, 107086. [Google Scholar] [CrossRef]
- Zhang, A.; She, J.; Li, Z.; Pang, G.; Liu, Z.; Qiu, J. Nonlinear Dynamics Analysis and Global Stabilization of Underactuated Horizontal Spring-Coupled Two-Link Manipulator. Complexity 2020, 2020, 9096073. [Google Scholar] [CrossRef]
- Zhang, A.; Fan, L.; Gong, S.; Pan, G.; Wu, Y. Stabilization Control of Underactuated Spring-Coupled Three-Link Horizontal Manipulator Based on Energy Absorption Idea. Mathematics 2022, 10, 1832. [Google Scholar] [CrossRef]
- Seyed Alinezhad, H.; Mahboobi Esfanjani, R. Nonlinear H∞ control for synchronization of networked manipulators subject to delayed communication. J. Frankl. Inst. 2022, 359, 999–1017. [Google Scholar] [CrossRef]
- Gutiérrez-Oribio, D.; Mercado-Uribe, J.A.; Moreno, J.A.; Fridman, L. Robust global stabilization of a class of underactuated mechanical systems of two degrees of freedom. Int. J. Robust Nonlinear Control. 2020, 31, 3908–3928. [Google Scholar] [CrossRef]
- Li, G.; Huang, J.; Gnezdilov, S. Dynamics and control of dual-quadrotors slung a slender beam with attitude-pendulum coupling effects. J. Vib. Control. 2024, 30, 1995–2005. [Google Scholar] [CrossRef]
- Zhou, Z.; Liu, J.; Yu, J. A Survey of Underwater Multi-Robot Systems. IEEE/CAA J. Autom. Sin. 2022, 9, 1–18. [Google Scholar] [CrossRef]
- Huang, J.; Wen, C.; Wang, W.; Song, Y. Global stable tracking control of underactuated ships with input saturation. Syst. Control. Lett. 2015, 85, 1–7. [Google Scholar] [CrossRef]
- Colombo, L.; Martin de Diego, D.; Zuccalli, M. Optimal control of underactuated mechanical systems: A geometric approach. J. Math. Phys. 2010, 51, 083519. [Google Scholar] [CrossRef]
- Khan, Q.; Akmeliawati, R.; Bhatti, A.I.; Khan, M.A. Robust stabilization of underactuated nonlinear systems: A fast terminal sliding mode approach. ISA Trans. 2017, 66, 241–248. [Google Scholar] [CrossRef]
- He, W.; Yuan, L. Global finite-time control for image-based visual servoing of quadrotor using backstepping method. J. Vib. Control. 2023, 29, 4015–4035. [Google Scholar] [CrossRef]
- Gnucci, M.; Marino, R. Adaptive tracking control for underactuated mechanical systems with relative degree two. Automatica 2021, 129, 109633. [Google Scholar] [CrossRef]
- Yan, Y.; Zhang, H.; Mu, Y.; Sun, J. Fault-Tolerant Fuzzy-Resilient Control for Fractional-Order Stochastic Underactuated System with Unmodeled Dynamics and Actuator Saturation. IEEE Trans. Cybern. 2024, 54, 988–998. [Google Scholar] [CrossRef]
- Liang, X.; Qu, X.; Wang, N.; Li, Y.; Zhang, R. Swarm control with collision avoidance for multiple underactuated surface vehicles. Ocean Eng. 2019, 191, 106516. [Google Scholar] [CrossRef]
- Huang, C.; Xu, H.; Batista, P.; Zhang, X.; Guedes Soares, C. Fixed-time leader-follower formation control of underactuated unmanned surface vehicles with unknown dynamics and ocean disturbances. Eur. J. Control. 2023, 70, 100784. [Google Scholar] [CrossRef]
- Huang, Z.; Li, J.; Huang, B. Adaptive formation control for autonomous surface vessels with prescribed-time convergence. Int. J. Adv. Robot. Syst. 2022, 19, 17298806221105722. [Google Scholar] [CrossRef]
- Gu, N.; Wang, D.; Peng, Z.; Liu, L. Adaptive bounded neural network control for coordinated path-following of networked underactuated autonomous surface vehicles under time-varying state-dependent cyber-attack. ISA Trans. 2020, 104, 212–221. [Google Scholar] [CrossRef]
- Cui, R.; Sam Ge, S.; Voon Ee How, B.; Sang Choo, Y. Leader–follower formation control of underactuated autonomous underwater vehicles. Ocean Eng. 2010, 37, 1491–1502. [Google Scholar] [CrossRef]
- Park, M.J.; Kwon, O.M.; Park, J.H.; Lee, S.M.; Cha, E.J. Stability of time-delay systems via Wirtinger-based double integral inequality. Automatica 2015, 55, 204–208. [Google Scholar] [CrossRef]
- Peng, Z.; Wang, D.; Shi, Y.; Wang, H.; Wang, W. Containment control of networked autonomous underwater vehicles with model uncertainty and ocean disturbances guided by multiple leaders. Inf. Sci. 2015, 316, 163–179. [Google Scholar] [CrossRef]
- Praczyk, T. Neural control system for a swarm of autonomous underwater vehicles. Knowl.-Based Syst. 2023, 276, 110783. [Google Scholar] [CrossRef]
- Liu, G.; Chen, L.; Liu, K.; Luo, Y. A swarm of unmanned vehicles in the shallow ocean: A survey. Neurocomputing 2023, 531, 74–86. [Google Scholar] [CrossRef]
- He, B.; Wang, S.; Liu, Y. Underactuated robotics: A review. Int. J. Adv. Robot. Syst. 2019, 16, 1729881419862164. [Google Scholar] [CrossRef]
- Spong, M.W. Underactuated mechanical systems. In Control Problems in Robotics and Automation; Springer: Berlin/Heidelberg, Germany, 1998; pp. 135–150. [Google Scholar]
- Acosta, J.A.; López-Martínez, M. Constructive feedback linearization of mechanical systems with friction and underactuation degree one. In Proceedings of the 2007 European Control Conference (ECC), Kos, Greece, 2–5 July 2007; pp. 4255–4260. [Google Scholar]
- Khalil, H. Nonlinear Systems; Prentice Hall: Upper Saddle River, NJ, USA, 2001. [Google Scholar]
- Li, Z.; Xiangdong, L.; Fu, M.; Xie, L. Global H∞ consensus of multi-agent systems with Lipschitz non-linear dynamics. Control. Theory Appl. IET 2012, 6, 2041–2048. [Google Scholar] [CrossRef]
- Rehák, B.; Lynnyk, V. Consensus of a multi-agent system with heterogeneous delays. Kybernetika 2020, 56, 363–381. [Google Scholar] [CrossRef]
- Rehák, B.; Lynnyk, V. Synchronization of nonlinear complex networks with input delays and minimum-phase zero dynamics. In Proceedings of the 2019 19th International Conference on Control, Automation and Systems (ICCAS), Jeju, Republic of Korea, 15–18 October 2019; Volume 57, pp. 759–764. [Google Scholar]
- Rehák, B.; Lynnyk, V. Consensus synchronization of underactuated systems. IFAC-PapersOnLine 2021, 54, 275–280. [Google Scholar] [CrossRef]
Disclaimer/Publisher’s Note: The statements, opinions and data contained in all publications are solely those of the individual author(s) and contributor(s) and not of MDPI and/or the editor(s). MDPI and/or the editor(s) disclaim responsibility for any injury to people or property resulting from any ideas, methods, instructions or products referred to in the content. |
© 2024 by the authors. Licensee MDPI, Basel, Switzerland. This article is an open access article distributed under the terms and conditions of the Creative Commons Attribution (CC BY) license (https://creativecommons.org/licenses/by/4.0/).








