Abstract
The aim of this study was to develop a multi-objective mathematical programming model for the trade-off of time, cost, and quality in the project-scheduling problem (PSP) by taking priorities and resource constraints as well as activity preemption into account. First, a small-sized problem instance that was a sub-project of an oil and gas construction project was used for te validation of the proposed model and algorithm. Subsequently, considering the sensitivity, complexity, and importance of oil and gas projects, the proposed model was implemented in a large-sized oil and gas construction project. Considering the NP-hardness of this problem, the NSGA-II metaheuristic algorithm was used to deal with the time, cost, and quality trade-off problem. Finally, a sensitivity analysis was implemented on the three main parameters of time, cost, and quality to investigate the effects of changes on the results. The findings show that the proposed model is more sensitive to cost changes, so an increase in project costs leads to a drastic change in the values of other objective functions.
Keywords:
multi-objective optimization model; project planning; time, cost, and quality trade-off; activity preemption; customer satisfaction; NSGA-II; sensitivity analysis MSC:
90B50; 90C29; 90C31; 90C90
1. Introduction
In many construction projects, the time factor is significant. To reduce the project completion time, the duration of some activities is often reduced in the project schedule, which leads to increased costs. Projects that are awarded through tenders are pre-planned for the completion time of the project. However, several problems may occur during the execution of project activities that deviate from the project schedule from the schedule baseline. In this case, the duration of some activities must be shortened to meet the project deadline. In other words, more resources are needed to accelerate the implementation of the activity, which leads to the project-scheduling problem (PSP) of time and cost trade-off.
In real-world construction projects, activities could typically be implemented in different ways with varying duration, cost, and quality. Also, each activity execution mode has a different quality level that affects the overall quality of projects. The problem of minimizing the time and cost of projects and maximizing the quality of projects, which are called time, cost, and quality trade-offs of projects, has become one of the challenges facing project managers and employees. Additionally, activities in projects may be interrupted several times during implementation and resumed later with no additional cost. In preemptive project-planning problems, it is assumed that an activity can be divided into several sub-activities [1]. Babu and Suresh stated that all quality in a project could be affected by the project momentum [2]. El-Rayes and Kandil investigated the discrete trade-off of the time, cost, and quality problem for the first time [3].
Despite the importance of oil and gas projects in the development of the country, many projects have not been completed, which forced us to conduct this research. Although various studies have investigated time–cost trade-off problems in project construction, little research has been carried out on the trade-off of the time, cost, and quality problem in project construction. Also, the current research considers activity preemption, which increases the complexity of the model and computing time significantly. In addition to filling this research gap, the current research tries to maximize customer satisfaction by considering various variables. The aim of this research is to present a multi-objective optimization approach for the PSP of time, cost, and quality trade-off considering preemptive activities. The proposed model finds activity start durations and execution styles to achieve the optimal solution considering activity preemption and customer satisfaction for multiple project goals and objectives.
- In time–cost trade-off problems, the quality is neglected, and the quality effects of several execution types of activities are not considered. In addition to cost and time factors, another project factor that is essential to the project stakeholders is the quality of work. The important goal of the trade-off of time, cost, and quality problem is to achieve the best ideal combination of these three objectives so that the project is accomplished within the shortest possible time and cost together with the maximum quality. Oil and gas companies need to check and carefully balance time, cost, and quality to successfully implement their projects. For this reason, this research is carried out on a project related to oil and gas, and mentioned above are the main contributions of this research.
The rest of this article Is as follows: The next section briefly reviews related studies. Section 3 proposes the multi-objective mathematical programming model (MOMPM) and explains the research method. The case study that was carried out is outlined in Section 4, and the results and discussions are presented in Section 5. And finally, the research concludes in Section 6.
2. Literature Review
One of the main concerns of projects managers is to complete projects on time with the highest level of quality and at the lowest cost. Therefore, it is important to balance the three conflicting objectives of time, cost, and quality. To reduce project completion time, activity time is usually reduced as the project budget increases, which is known as the time–cost trade-off problem. Alavipour and Arditi presented an integrated mathematical model which performs cost and time analysis and optimization [4]. Tareghian and Taheri proposed a solution method to study the trade-off between cost, time, and quality in managing a project [5]. The planning phase for the project begins after the project is properly defined and approved, during which the project is divided into several manageable activities. Khatami Firouzabadi et al. modeled a trade-off of the time–cost PSP considering resource classification and solved it using a simulation technique and a metaheuristic algorithm [6].
Creemers proposed the preemptive resource-constrained project-scheduling problem (RCPSP) [7]. Maghsoudlou et al. proposed a methodology for the active multi-skill PSP [8]. Vanhoucke and Coelho presented a new solution algorithm to solve the RCPSP by splitting activity and startup time [9]. Afshar-Nadjafi studied the multi-state resource-constrained preemptive project-planning problem to minimize project length with respect to post-preemptive state change [10]. Khalilzadeh presented an optimization model for construction PSPs with the aim of resource leveling, considering preventive and multi-mode activities and renewable and non-renewable resources [11].
Sarkar and Singh proposed an integrated method for a complex infrastructure project [12]. Roghanian et al. demonstrated a scheduling method for project planning under uncertainty [13]. Ammar and Abd investigated a method for measuring criticality in a project network [14]. Antucheviciene et al. optimized the flow of materials in project supply chains and determined the location of facilities [15].
Quality is the most important goal in projects, which is clearly stated in the knowledge base of project management [2]. In this regard, the triangle of time, cost, and quality, which is demonstrated as the iron triangle in projects, is continuously followed by the project managers during the project life cycle. According to the triangle of time, cost, and quality, any change in the time of the activity leads to a change in cost and quality [16], because project quality, as one of the basic measures of the success of the project, is affected by time compression and additional cost [17]. Diehlmann et al. extended the concept of social cost of humanitarian procurement to a preference-based dual-objective approach [18]. Alavipour and Arditi presented a model that minimizes financing costs by considering different financing options and work timing with a normal duration of activities [19].
Successful management in projects is related to the organization’s understanding that a project is considered successful only if it can meet the customer’s needs [20]. Kristensen et al. introduced the idea of the European customer satisfaction index [21]. Aluko et al. investigated the relationship between service quality and customer satisfaction indicators by referring to engineering consulting services in construction projects [22]. Also, Aluko et al. investigated the service domains responsible for determining customer satisfaction [23]. Ogbu and Imafidon reduced the selection criteria for construction consultants [24].
Monghasemi et al. used a proof-of-concept reasoning approach in project planning to specify a solution for the discrete trade-off of the time, cost, and quality problems [25]. Farughi et al. minimized the project completion time and maximized the net present value and flexibility of a project considering resource constraints and activity precedence relationships [26]. Ghasemi et al. extended a new model to production planning with execution modes [27]. Banihashemi et al. evaluated the environmental impact of project activities in several aspects of construction projects [28]. Sajedi et al. investigated Iran’s special conditions and optimized time and cost in a temporary housing construction project [29]. Research on project scheduling has been carried out previously, which can be mentioned [30].
Various models have been proposed for the trade-off of time and cost problems, and several methods and algorithms have been used to solve these types of PSPs. Linear programming models [31] and integer programming models [32,33] are examples of mathematical programming models that have been proposed by various researchers to deal with time and cost issues. Kim et al. proposed a linear programming model that considers the potential cost of quality loss for excessive failure activities [34]. A comparison of the cost and time performance of construction projects was carried out in public and private universities in Nigeria [35].
Hu and He proposed a time, cost, and quality optimization model that enables managers to optimize multiple objectives [36]. Wood also developed a memetic algorithm for a constrained stochastic trade-off of the time, cost, and quality problems, which consists of ten metaheuristics configured to combine local exploitation of the feasible solution space with time and cost [37]. Kebriyaii et al. developed a MOMPM for the trade-off of the time, cost, and quality scheduling problems in construction projects considering the time value of money, which is decreased over a long period and is a very important matter [38]. Research on optimization in this area has been carried out previously, which can be mentioned [39,40].
Juan and Lin proposed a trade-off of the cost and quality model using a genetic algorithm [40]. Eirgash et al. identified a model using a multi-objective learning-based optimization algorithm for project-scheduling optimization [41]. Moniri et al. proposed a model for risk assessment in projects [42].
Demir et al. addressed the research gap in the sensitivity analysis of optimization models through bibliometric analysis while examining 1374 articles published between January 2000 and March 2023 from the Scopus database. This research mentions that the most cited authors in the analyzed field are Pamučar, Kahraman, and Zavadskas [43]. Majumder proposed seven different network models under different uncertain paradigms. In this research, the uncertain programming techniques used to formulate the uncertain network models are (i) an expected value model, (ii) a chance-constrained model, and (iii) dependent chance-constrained model [44]. In another research work, a project time optimization algorithm to optimize project duration in different phases of projects was proposed [45]. The literature review in this research is categorized based on the topics regarding the model proposed in this research, which is shown in Table 1.
Table 1.
Relevant studies on time–cost–quality trade-off problems in oil and gas construction projects.
Based on the literature review, very limited studies have been conducted on the trade-off of time, cost, and quality problems, especially in oil and gas construction projects. In addition, most studies have only focused on project optimization and have neglected other fundamental factors such as customer satisfaction. Considering the customer satisfaction factor, the present research examines the trade-off problem of the time, cost, and quality of project scheduling in oil and gas construction projects, which is one of the innovations of the proposed model.
3. Research Methodology
This study aimed to develop a multi-objective optimization model for oil projects. First, a small-sample problem, i.e., a sub-project of an oil and gas construction project, was used to initially evaluate the proposed model. Next, considering the sensitivity, complexity, and importance of oil and gas projects, the proposed model was implemented in an oil and gas construction project. Due to the NP-hardness of the problem, the non-dominated classification genetic algorithm (NSGA-II) was used to deal with the trade-off of the time, cost, and quality problem. Finally, sensitivity analysis was performed on the three main parameters of time, cost, and quality to investigate the effects of changes in model parameters. Taguchi’s method was used to adjust the parameters of the genetic algorithm operators that were considered in the optimization of this system [46]. Figure 1 shows the method framework flow chart of the research:
Figure 1.
The method framework flow chart.
In this algorithm, each solution identified by index i has two characteristics: the first is the non-defeat rank of the solution in the population, which is the rank in which the related response is located, and the second is the local crowding distance in the population, which is obtained based on the distance between the previous and next points of each front and for each point within that front. The algorithm was developed according to the trend in the main NSGA-II algorithm by Mirjalili and Dong [45].
For coding, the multi-objective genetic algorithm based on the model provided by Coelho (2019) [9] was used. In this research, for the implementation of this algorithm, ready-made codes were used, which are provided on reliable sites, including MATLAB software v.9.2 (MathWorks Corp., Natick, MA, USA), and are considered standard.
3.1. Multi-Objective Mathematical Programming Model (MOMPM)
The MOMPM is proposed for the trade-off of the time, cost, and quality PSP considering activity and customer satisfaction. It is assumed that the precedence relationship between activities is followed in Finish-to-Start (FS). This network is an Activity-On-Node (AON) project. The project consists of n activities, and activity n + 1 is a dummy end activity that represents the completion of the project. Project activities may be interrupted for correct periods during execution. As explained earlier, the three factors of time, cost, and quality are prominent in project management, which may have the following relationships:
- Quality may be affected if the project is completed with less duration and lower cost.
- If the project is completed with less duration and higher quality, the cost will increase.
- If the project is completed with lower quality and cost, time will increase.
- The changes in values of time, quality, and cost were only based on the assumptions and characteristics of the case study in hand. In other words, these changes may be different for each case.
In oil and gas projects, like other construction projects, quality can be measured by the result of implementing a task. For example, the strength of a specific structure should be in a specific range. Since the quality of oil and gas projects is essential and very sensitive, the general assumption was customers will be satisfied with a higher level of quality. This relation is approved in the literature. Therefore, a penalty for a lower range of quality is considered to make sure quality remains in the higher range.
In addition, overhead costs such as venue rent and utility bills should be considered to accurately estimate the total costs. The overhead costs of a project also have a direct relationship with the project delay. According to this assumption, the aim of this study is to present an MOMPM for time, cost, and quality trade-off PSPs considering customer satisfaction. In the model, it is assumed that each project activity has different execution modes (k mode), and the model seeks to choose the optimal execution mode for each activity in terms of cost, time, and quality factors. In addition, the number of project activities performed at a minimum quality level is minimized to ensure customer satisfaction. The sets, indicators, parameters, and decision variables used in the proposed mathematical model are as follows:
Sets:
- Set of all project activities (nodes);
- Set of preemptive activities;
- Set of non-preemptive activities;
- Set of arches.
Indices:
- Activity index;
- Activity mode index;
- Activity predecessor index.
Parameters:
- Number of project activities;
- Maximum allowable time of the project;
- Maximum allowable budget for the project;
- Minimum acceptable quality level of the project;
- Maximum number of allowable delays in performing activity i ;
- Maximum number of sub-activities of activity i (Ui + 1) ;
- Number of execution modes of activity i ;
- Minimum duration of activity i in k execution mode without delay ; ;
- Maximum allowable time for performing activity I (otherwise the activity will be performed again) ;
- Cost of performing activity i in execution mode k -2; ;
- Cost of performing sub-activity p of activity I in execution mode k -1; ;
- Quality of performing activity i in execution mode k -2; ;
- Quality of performing sub-activity p of activity i in execution mode k -1; ; ;
- The lag between activity i and j ; ;
- Duration of activity i in execution mode k ; ;
- P Weighting parameter to the objective function of customer satisfaction.
Decision Variables:
- Start time of activity i ;
- Finish time of activity i ;
- Start time of sub-activity p of activity i ;
- Finished time of sub-activity p of activity i ;
- Binary variable: 1 If activity i is executed in mode k, otherwise 0 ;
- Binary variable: 1 If part p of activity i is executed in state k, otherwise zero ;
- Duration of performing sub-activity p of activity i in mode k.
Multi-Objective Programming Model:
Equations (1)–(4) minimize the time and cost, maximize quality, and minimize the number of activities performed with the minimum quality level (in line with customer satisfaction).
Equation (5) states that only one execution mode should be selected for each non-preemptive activity. Equation (6) states that only one execution mode should be selected for each preemptive activity. Equation (7) dictates that the total project cost must be less than the maximum budget.
Equation (8) shows that the overall quality level of the project should be higher than the minimum acceptable quality level. Equation (9) shows that the end time of the fictitious project end activity must be less than the maximum allowable time of the project (. Equation (10) shows that the start time of preemptive activity j must be after the time delay plus the end time of the previous non-preemptive activity i.
Equation (11) states that the start of non-preemptive activity j must be after the time delay plus the end time of the last sub-activity of activity i. Equation (12) shows that the start of the first sub-activity of preemptive activity j must be after the time delay plus the end time of the previous non-preemptive activity i. Equation (13) shows that the start of the first sub-activity of preemptive activity j must be after the time delay plus the end time of the previous non-preemptive activity i.
Equation (14) shows that the duration of sub-activity p of activity i in mode k must be longer than the minimum duration of activity i in execution mode k without delay and less than the duration of activity i in execution mode k. Equation (15) states that the difference between the start time and the end time of each sub-activity of preemptive activity i is equal to the duration of the same sub-activity of activity i in state k. Equation (16) shows that the difference between the start time and the end time of non-preemptive activity i is equal to the duration of the activity.
Equation (17) shows that the interval between the end and the start of each consecutive sub-activity of the preemptive activity must be less than the specified value. Equation (18) shows that each sub-activity is executed if the previous sub-activity is finished. Equation (19) guarantees that all sub-activities of preemptive activity i are performed. Equation (20) states that the next sub-activity of activity i starts when the previous sub-activity ends.
Equations (21)–(24) express the range and types of decision variables of the model.
3.2. Solution Approach
This study aimed to develop a multi-objective optimization model for oil and gas construction projects. First, a small example of a problem including 6 activities, which is a sub-problem of the oil and gas construction project, was solved with the Epsilon Constraint (EC) method, which is one of the most accurate methods known, in Excel software (2016; Microsoft Corp., Redmond, WA, USA) for the proposed evaluation. The multi-objective model was subsequently implemented in a large-scale oil and gas construction project, and the NSGA-II algorithm was applied to solve the problematic needle.
4. Case Study
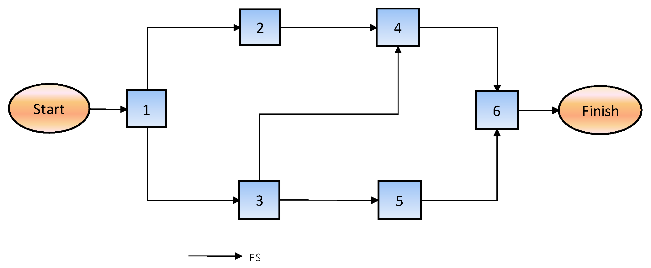
The example case that is investigated in this article is Elfin Bushehr factory. The proposed model of this research was first implemented on a small-sized sample project and solved using the Epsilon Constraint method (EC) and NGA-II algorithm for validating the proposed model and metaheuristic algorithm. Then, the model was implemented on a large-scale real project and solved using the NSGA-II algorithm. The small-scale example includes six activities. The project network is shown in Figure 2.
Figure 2.
An example network of small-scale projects.
Table 2 presents the number of this project’s parameters, including engineering activities, procurement, construction, inspection, transportation, and the final booklet.
Table 2.
Parameters of the small-scale project example.
To implement a real large-scale project, the parameters of the NSGA-II algorithm were set using the Taguchi method to solve a large-scale oil and gas construction project including 3158 activities. Primavera v.6 software was used for planning and scheduling this project. Up to level 3 of the project, the activities can be seen in Figure 3.
Figure 3.
Gant chart of the large-scale real project with Primavera 6.
It should be noted that different methods can be used to set the parameter. But Taguchi’s method is superior to other methods in terms of cost and time. Three-level tests are the most suitable design for this study. According to the Taguchi orthogonal array (OA), the L27 array was chosen as a suitable experimental design to adjust the parameters of the proposed algorithm. To set the optimal parameters, Taguchi considers a statistical performance measure called the signal-to-noise (S/N) ratio [46].
The NSGA-II was implemented for the different main variables proposed in each Taguchi experiment. Subsequently, the S/N ratios were calculated by the Minitab software v.20.1 (Minitab, LLC, State College, PA, USA).
5. Results and Discussions
According to the method of this research, first, a small-scale project example was carried out using the EC method, and then, a real large-scale project was carried out using the NSGA-II algorithm method.
5.1. The Small-Scale Project Example
Each objective function of the model must be considered separately each time to solve the single-objective model using the EC method. Table 3 shows the optimal value of each objective function.
Table 3.
The optimal value of each objective function.
According to the optimal value of each objective function, the optimal solution of the proposed multi-objective model was obtained using the EC method, which is given in Table 4. Also, the sample problem was solved by using the NSGA-II algorithm to show the validity of the algorithm shown in Table 5.
Table 4.
The optimal solution of the proposed multi-objective model obtained by the EC method.
Table 5.
The optimal solution of the proposed multi-objective model obtained by the NSGA-II algorithm.
5.2. The Large-Scale Real Project
Several studies were conducted to estimate the best parameter values of the NSGA-II algorithm for various problems. We refer to Mirjalili and Dong [45] for more detailed information. The initial values of the parameters and their levels for the Taguchi experimental tests are shown in Table 6.
Table 6.
Parameters of the algorithm.
Figure 4 shows a plot of S/N values for the four parameters of mutation, crossover, initial population, and multiple replicates, denoted by A, B, C, and D, respectively. As can be seen in this figure, the maximum S/N values belong to level 2 of all parameters. In other words, the findings of Taguchi’s experiments confirmed the results of studies conducted by Mirjalili and Dong [45]. According to the results of Taguchi’s tests, the optimal values of NSGA-II algorithm parameters are as follows: initial population size, 100; number of iterations, 500; mutation rate, 0.5; and, finally, crossover rate, 0.9.
Figure 4.
S/N graphs for parameter setting [45].
The NSGA-II algorithm method was implemented in an oil and gas construction project as a real case study using MATLAB software. The results of 30 runs of the algorithm are shown in the Pareto chart in Figure 5.
Figure 5.
Results of the Pareto diagrams for the NSGA-II algorithm.
As shown above, the following results were obtained:
- The “Time-Quality” graph shows that the project quality will also increase if the project time increases. Time and quality have a direct relationship.
- The “Cost-Quality” graph indicates that if the project cost increases, the project quality will increase as well. For example, using high-quality materials that are costlier will yield higher project quality.
- The “Time-Last Quality” graph shows that if the project time increases, the lowest quality of the project also increases. This means that the lowest quality, the minimum quality level of the selected activities, will increase if the project time increases. In other words, it verifies that increasing project time will lead to increased project quality.
- The “Cost-Lowest Quality” graph shows that the lowest quality will also increase if the project cost increases. In this sense, increasing the project budget increases the quality of activities that will result in improving the project quality.
- The last graph, “Quality-Lowest Quality”, illustrates that increasing the project quality will result in decreasing the number of activities that have the lowest quality level, which means that if the project quality increases, the quality of activities will increase, so the number of activities that do not have the desired quality level will be reduced.
5.3. Sensitivity Analysis
To perform sensitivity analysis, first, the values of the quality objective function and the minimum quality objective function were divided by the number of related activities to determine the average quality of the activities. Changing the value of the quality objective function is not necessarily the same as changing the value of the quality objective function because the increase in quality logically leads to an increase in the minimum quality level. However, the fourth objective function minimizes the sum of activities with the minimum quality level. Therefore, the changes in this value of the objective function can be in line with or against the changes in the value of the third objective function. Sensitivity analysis was performed on time, cost, and quality factors. As a result, the values of the objective functions were recalculated, the results of which can be seen in Table 7.
Table 7.
Results of the objective function values based on different time, cost, and quality values.
Table 7 shows that reducing the project time from 750 days to 650 days leads to an increase in the values of other objective functions of cost, quality, and lowest quality. An increase in project time from 750 to 850 days (13%) leads to a decrease in project cost, but the quality of the project remains unchanged and the minimum quality increases by 1%. This means that the model is more sensitive to reducing project time; the cost increases by 5%, and quality decreases significantly. However, a 13% increase in project time reduces the cost by 2% and the quality remains unchanged. Table 7 indicates that with a cost reduction of 14%, the time significantly increases, and the quality is considerably reduced. Increasing the project budget from 800 to 900 (14%) yields a decrease in time by 2 days; however, the quality is significantly increased (10% more than expected).
In this research, quality may be affected if the project is completed with less duration and lower cost. If the project is completed with less duration and higher quality, the cost will increase. Also, if the project is completed with lower quality and cost, time will increase. The changes in values of time, quality, and cost were only based on the assumptions of the author, and there were no real-world data to cross-check or compare the results of changes in the value of those variables. Table 7 shows the changes in the values of the objective functions that result from the changes in the value of the quality objective function. If the quality decreases by 10%, the time and cost also decrease slightly. If the quality increases by 10%, the time and cost increase drastically, which means that the model is more sensitive to changes, and the increase in cost leads to a drastic change in the values of other objective functions.
6. Conclusions
This study investigated the trade-off of the time, cost, and quality of the PSP considering activity progress and customer satisfaction. It was assumed that each project activity could be performed in different execution modes. In addition, division was allowed for some activities depending on the characteristics and specifications of the project. First, the proposed multi-objective model was evaluated using the sub-project of the oil and gas construction project. The Epsilon Constraint (EC) method was used to solve the small project example as one of the known exact methods. Then, this model was implemented in a large oil and gas construction project. According to the NP-hardness of the proposed model, the NSGA-II algorithm was used to deal with the problem at hand. The Taguchi method was also used to adjust the parameter. Finally, sensitivity analysis was performed on the three main parameters of time, cost, and quality to investigate the effects of changes in model parameters. The results show that the model is more sensitive to cost changes, so an increase in project cost leads to a drastic change in the values of other objective functions.
Customer satisfaction as an important factor should be paid more attention to in various construction projects by project managers and organizational decision makers. Customer satisfaction is not possible without an increase in time and quality as well as a decrease in cost. This study provides some instruction for project practitioners to incorporate this crucial factor into their planning approaches. On the other hand, the literature review showed that the trade-off of the time, cost, and quality problem has been neglected in relevant studies in oil and gas construction projects.
As some recommendations for further research, the proposed multi-objective model should be implemented in other projects and industries. Also, other metaheuristic algorithms can be applied and the results compared. In addition, the uncertainty of the parameters should be considered in the model. In addition, other aspects of customer satisfaction may also be considered. In addition, sustainability factors that include social and environmental impacts should be considered in the model.
Author Contributions
Conceptualization, M.Z., S.Z. and M.K.; methodology, M.Z., S.Z. and M.K.; software, M.Z., S.Z. and M.K.; validation, M.K., M.A., F.J., E.K.Z. and J.A.; formal analysis, M.Z., S.Z. and M.K.; investigation, M.A., F.J., E.K.Z. and J.A.; resources, M.K., E.K.Z. and J.A.; data curation, M.K., M.A., F.J., E.K.Z. and J.A.; writing—original draft preparation, M.Z. and S.Z.; writing—review and editing, M.K., M.A., F.J., E.K.Z. and J.A.; final revision and layout, M.K., M.A., F.J., E.K.Z. and J.A. All authors have read and agreed to the published version of the manuscript.
Funding
This research received no external funding.
Data Availability Statement
Data are available upon request.
Conflicts of Interest
The authors declare no conflicts of interest.
References
- Tavana, M.; Abtahi, A.R.; Khalili-Damghani, K. A new multi-objective multi-mode model for solving preemptive time–cost–quality trade-off project scheduling problems. Expert Syst. Appl. 2014, 41, 1830–1846. [Google Scholar] [CrossRef]
- Babu, A.J.G.; Suresh, N. Project management with time, cost, and quality considerations. Eur. J. Oper. Res. 1996, 88, 320–327. [Google Scholar] [CrossRef]
- El-Rayes, K.; Kandil, A. Time, cost, and quality trade-off analysis for highway construction. J. Constr. Eng. Manag. 2005, 131, 477–486. [Google Scholar] [CrossRef]
- Alavipour, S.R.; Arditi, D. Time-cost tradeoff analysis with minimized project financing cost. Autom. Constr. 2019, 98, 110–121. [Google Scholar] [CrossRef]
- Tareghian, H.R.; Taheri, S.H. On the discrete time, cost and quality trade-off problem. Appl. Math. Comput. 2006, 181, 1305–1312. [Google Scholar] [CrossRef]
- Khatami Firouzabadi, S.M.A.; Bagheri, M.; Yousefi, S. Scheduling of construction projects using a combination of multi-objective programming and optimization via simulation. J. Prod. Oper. Manag. 2018, 8, 83–98. [Google Scholar]
- Creemers, S. The preemptive stochastic resource-constrained project scheduling problem. Eur. J. Oper. Res. 2019, 277, 238–247. [Google Scholar] [CrossRef]
- Maghsoudlou, H.; Afshar-Nadjafi, B.; Niaki, S.T.A. A framework for preemptive multi-skilled project scheduling problem with time-of-use energy tariffs. Energy Syst. 2020, 12, 431–458. [Google Scholar] [CrossRef]
- Vanhoucke, M.; Coelho, J. Resource-constrained project scheduling with activity splitting and setup times. Comput. Oper. Res. 2019, 109, 230–249. [Google Scholar] [CrossRef]
- Afshar-Nadjafi, B. A solution procedure for preemptive multi-mode project scheduling problem with mode changeability to resumption. Appl. Comput. Inform. 2018, 14, 192–201. [Google Scholar] [CrossRef]
- Khalilzadeh, M. Resource levelling in projects considering different activity execution modes and splitting. J. Eng. Des. Technol. 2021; in press. [Google Scholar] [CrossRef]
- Sarkar, D.; Singh, M. Risk analysis by integrated fuzzy expected value method and fuzzy failure mode and effect analysis for an elevated metro rail project of Ahmedabad, India. Int. J. Constr. Manag. 2020, 22, 1818–1829. [Google Scholar] [CrossRef]
- Roghanian, E.; Alipour, M.; Rezaei, M. An improved fuzzy critical chain approach in order to face uncertainty in project scheduling. Int. J. Constr. Manag. 2018, 18, 1–13. [Google Scholar] [CrossRef]
- Ammar, M.A.; Abd-ElKhalek, S.I. Criticality measurement in fuzzy project scheduling. Int. J. Constr. Manag. 2019, 22, 252–261. [Google Scholar] [CrossRef]
- Antucheviciene, J.; Jafarnejad, A.; Amoozad Mahdiraji, H.; Razavi Hajiagha, S.H.; Kargar, A. Robust multi-objective sustainable reverse supply chain planning: An application in the steel industry. Symmetry 2020, 12, 594. [Google Scholar] [CrossRef]
- Kerzner, H. Project Management: A Systems Approach to Planning, Scheduling, and Controlling; John Wiley & Sons: Hoboken, NJ, USA, 2017. [Google Scholar]
- Khang, D.B.; Myint, Y.M. Time, cost and quality trade-off in project management: A case study. Int. J. Proj. Manag. 1999, 17, 249–256. [Google Scholar] [CrossRef]
- Diehlmann, F.; Hiemsch, P.S.; Wiens, M.; Lüttenberg, M.; Schultmann, F. Including decision-makers preferences in the cost-deprivation trade-off during disaster interventions. J. Eng. Des. Technol. 2021, 20, 543–565. [Google Scholar] [CrossRef]
- Alavipour, S.R.; Arditi, D. Optimizing financing cost in construction projects with fixed project duration. J. Constr. Eng. Manag. 2018, 144, 04018012. [Google Scholar] [CrossRef]
- Pinto, J.K.; Rouhiainen, P.; Trailer, J.W. Project success and customer satisfaction: Toward a formalized linkage mechanism. In Projects as Business Constituents and Guiding Motives; Springer: Boston, MA, USA, 2000; pp. 103–115. [Google Scholar]
- Kristensen, K.; Martensen, A.; Gronholdt, L. Customer satisfaction measurement at post Denmark: Results of application of the European customer satisfaction index methodology. Total Qual. Manag. 2000, 11, 1007–1015. [Google Scholar] [CrossRef]
- Aluko, O.R.; Idoro, G.I.; Mewomo, M.C. Relationship between perceived service quality and client satisfaction indicators of engineering consultancy services in building projects. J. Eng. Des. Technol. 2020, 19, 557–577. [Google Scholar] [CrossRef]
- Aluko, O.R.; Idoro, G.I.; Ajayi, S.O. Perceived service quality of architectural consultancy firms and client satisfaction in building projects in Nigeria. J. Eng. Des. Technol. 2021, 20, 1057–1072. [Google Scholar] [CrossRef]
- Ogbu, C.P.; Imafidon, M.O. Influence of selection criteria on clients’ satisfaction with construction consultancy services in Nigeria. J. Eng. Des. Technol. 2021, 20, 1519–1537. [Google Scholar] [CrossRef]
- Monghasemi, S.; Nikoo, M.R.; Fasaee, M.A.K.; Adamowski, J. A novel multi criteria decision making model for optimizing time–cost–quality trade-off problems in construction projects. Expert Syst. Appl. 2015, 42, 3089–3104. [Google Scholar] [CrossRef]
- Farughi, H.; Amiri, A.; Abdi, F. Project scheduling with simultaneous optimization, time, net present value, and project flexibility for multimode activities with constrained renewable resources. Int. J. Eng. 2018, 31, 780–791. [Google Scholar]
- Ghasemi, M.; Mousavi, S.M.; Aramesh, S.; Shahabi-Shahmiri, R.; Zavadskas, E.K.; Antucheviciene, J. A new approach for production project scheduling with time, cost, and quality trade-off considering multi-mode resource-constraints under interval uncertainty. Int. J. Prod. Res. 2023, 61, 2963–2985. [Google Scholar] [CrossRef]
- Banihashemi, S.A.; Khalilzadeh, M.; Zavadskas, E.K.; Antucheviciene, J. Investigating the environmental impacts of construction projects in time-cost trade-off project scheduling problems with CoCoSo multi-criteria decision-making method. Sustainability 2021, 13, 10922. [Google Scholar] [CrossRef]
- Sajedi, S.F.; Hashemi, S.H.; Kalvandi, S.M. Optimization of Time and Cost in Establishment of Temporary Accommodations after the Crisis. Amirkabir J. Civ. Eng. 2018, 50, 1003–1014. [Google Scholar]
- Cheraghi, E.; Zohrehvandi, S.; Vanhoucke, M.; Mohamadpour Tosarkani, B. A multiproject scheduling and resource management model in projects construction. Eng. Constr. Archit. Manag. 2023, 30, 1578–1600. [Google Scholar] [CrossRef]
- Kelley, J.E., Jr. Critical-path planning and scheduling: Mathematical basis. Oper. Res. 1961, 9, 296–320. [Google Scholar] [CrossRef]
- Meyer, W.L.; Shaffer, L.R. Extensions of the Critical Path Method through the Application of Integer Programming; Department of Civil Engineering, University of Illinois: Champaign, IL, USA, 1963; Volume 2. [Google Scholar]
- Patterson, J.H.; Huber, W.D. A horizon-varying, zero-one approach to project scheduling. Manag. Sci. 1974, 20, 990–998. [Google Scholar] [CrossRef]
- Kim, J.; Kang, C.; Hwang, I. A practical approach to project scheduling: Considering the potential quality loss cost in the time–cost tradeoff problem. Int. J. Proj. Manag. 2012, 30, 264–272. [Google Scholar] [CrossRef]
- Olatunde, N.A.; Alao, O.O. Quantitative appraisal of cost and time performance of construction projects in public and private universities in Osun State, Nigeria. J. Eng. Des. Technol. 2017, 15, 619–634. [Google Scholar] [CrossRef]
- Hu, W.; He, X. An innovative time, cost, and quality tradeoff modeling of building construction project based on resource allocation. Sci. World J. 2014, 2014, 673248. [Google Scholar] [CrossRef]
- Wood, D.A. Gas and oil project time, cost, and quality tradeoff: Integrated stochastic and fuzzy multi-objective optimization applying a memetic, nondominated, sorting algorithm. J. Nat. Gas Sci. Eng. 2017, 45, 143–164. [Google Scholar] [CrossRef]
- Kebriyaii, O.; Heidari, A.; Khalilzadeh, M.; Antucheviciene, J.; Pavlovskis, M. Application of three metaheuristic algorithms to time, cost, and quality trade-off project scheduling problem for construction projects considering time value of money. Symmetry 2021, 13, 2402. [Google Scholar] [CrossRef]
- Banihashemi, S.A.; Khalilzadeh, M. Towards sustainable project scheduling with reducing environmental pollution of projects: Fuzzy multi-objective programming approach to a case study of Eastern Iran. Environ. Dev. Sustain. 2023, 25, 7737–7767. [Google Scholar] [CrossRef]
- Juan, Y.K.; Lin, I. Optimal Cost–Quality Trade-Off Model for Differentiating Presale Housing Quality Strategies. Sustainability 2018, 10, 680. [Google Scholar] [CrossRef]
- Eirgash, M.A.; Toğan, V.; Dede, T. A multi-objective decision-making model based on TLBO for the time–cost trade-off problems. Struct. Eng. Mech. 2019, 71, 139–151. [Google Scholar]
- Moniri, M.R.; Tabriz, A.A.; Ayough, A.; Zandieh, M. Turnaround project risk assessment using hybrid fuzzy SWARA and EDAS method: Case of upstream oil process industries in Iran. J. Eng. Des. Technol. 2020, 19, 966–988. [Google Scholar] [CrossRef]
- Demir, G.; Chatterjee, P.; Pamucar, D. Sensitivity analysis in multi-criteria decision making: A state-of-the-art research perspective using bibliometric analysis. Expert Syst. Appl. 2024, 237, 121660. [Google Scholar] [CrossRef]
- Majumder, S. Some network optimization models under diverse uncertain environments. arXiv 2021, arXiv:2103.08327. [Google Scholar]
- Mirjalili, S.; Dong, J.S. Multi-Objective Optimization Using Artificial Intelligence Techniques; Springer: Berlin/Heidelberg, Germany, 2020. [Google Scholar]
- Taguchi, G. Introduction to Quality Engineering, Asian Productivity Organization; American Supplier Institute Inc.: Dearborn, MI, USA, 1986. [Google Scholar]
Disclaimer/Publisher’s Note: The statements, opinions and data contained in all publications are solely those of the individual author(s) and contributor(s) and not of MDPI and/or the editor(s). MDPI and/or the editor(s) disclaim responsibility for any injury to people or property resulting from any ideas, methods, instructions or products referred to in the content. |
© 2024 by the authors. Licensee MDPI, Basel, Switzerland. This article is an open access article distributed under the terms and conditions of the Creative Commons Attribution (CC BY) license (https://creativecommons.org/licenses/by/4.0/).




