Mathematical Modeling of the Floating Sleeper Phenomenon Supported by Field Measurements
Abstract
1. Introduction
2. Methods and Field Measurements
2.1. Basic Idea and Methods Used
2.2. Assumptions, Equations, and Simplified SDOF Dynamic Model
2.2.1. Basic Assumptions
- The passage of the axle of the train composition over the observed location in the idealized simplified mathematical model represents a special case of short-term pulse loading.
- In the model, a single spring is considered between the axle of the train composition, which causes the load, and the track, which carries this load.
- In the case of short-term pulse loadings, due to their relatively short-term action, the damping in the basic equation of motion can be neglected, because it has little effect on the response. Such an approach at the same time greatly simplifies the solution of the problem.
- Since we are interested in the change of influence and the effects at the location of short-term pulse loading, we neglect the influence of adjacent structural elements in the SDOF model. In this way, the absolute values of the response are somewhat imprecisely determined. However, the qualitatively calculated response still realistically describes the actual situation, especially in the case when the stiffness characteristics of the SDOF model are calibrated with actual measurements and findings from the literature.
- Since observations in the field (Figure 1 and Figure 2) unequivocally show that the floating sleeper is a non-linear phenomenon, it should also be modeled mathematically. This would not be a problem to analyze on a simple SDOF system; a bigger problem is to predict in advance the material characteristics of the track at the considered location. For the sake of simplification and easier physical interpretation of the results, the various most probable loadings for the entire range of real values of the oscillation times of the considered structure and duration of pulse loadings were analyzed.
- The observed phenomenon is non-linear; regardless, it was treated as a linear system in discrete time windows with known (i.e., assumed) values of stiffness and mass. In most cases, stiffness and mass values change between individual discrete time points.
2.2.2. Equations of Motion
2.2.3. Dynamic Factor of the SDOF System
2.2.4. Different Pulse Loadings of the SDOF System
2.3. Performed Measurements
2.3.1. Measurement of Vertical Loads by Train Crossings
- Dynamic or quasi-static vertical loads transmitted by each wheel/axle of the train.
- Each axle speed of the train in transit.
- The distance between two consecutive axles of the train in transit.
- Evaluation of an eventual excessive load on an axle compared to a set threshold value.
- Evaluation of an unbalanced load between the two wheels of the same axle, relative to a set threshold.
2.3.2. Measurements of the Displacement of Sleepers
2.3.3. Measurements of Strain in the Rails
3. Results
3.1. Measured Loadings—Results of Load Analysis and Responses of the Rail Track
3.1.1. Stresses in the Rail Due to the Passage of Locomotives
3.1.2. Stresses in the Rail Due to Passage of Carriages
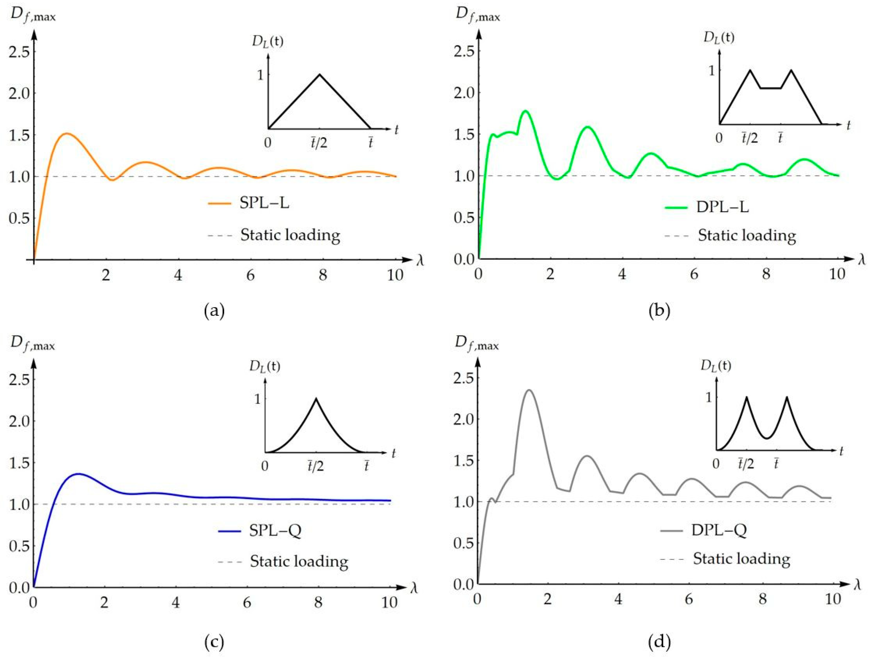
3.2. Simulated Loadings and Corresponding Deformation Response Factors
- SPL-L: single-pulse loading of linearly distributed load that decreases symmetrically concerning the geometric center of the wheel.
- DPL-L: double-pulse loading of linearly distributed load that decreases symmetrically for the geometric center of the wheel.
- SPL-Q: single-pulse loading of quadratically distributed load that decreases symmetrically concerning the geometric center of the wheel.
- DPL-Q: double-pulse loading of quadratically distributed load that decreases symmetrically to the geometric center of the wheel.
3.3. Results for the Maximal Dynamic Factor (Df,max) Obtained by a Simplified SDOF System
4. Discussion
4.1. Discussion of the Results Obtained by Field Measurement
4.2. Discussion of the Results Obtained with the Simplified SDOF Model
5. Conclusions
- A simplified SDOF mathematical model for the quantification of the influences on the floating sleeper phenomenon has been developed.
- For mathematical modeling of the phenomenon, extensive field measurements were carried out, which yielded interesting results, enabled the identification of interesting phenomena and findings, and enabled the simplification of mathematical modeling.
- Based on the actual field measurements and some recommendations from the recent scientific literature, the loading was modeled as a pulse loading of different shapes/types.
- Calculating the maximal dynamic factor reveals that the floating sleeper phenomenon is highly non-linear. The initial response of the sleepers is elastic, but with a reduction in stiffness due to different phenomena, the maximal dynamic factor can significantly increase, which again influences a response in the form of damaged tracks. The final damaged state corresponds to the floating sleeper phenomenon, which aligns with lower values of maximal dynamic factors and relates to the dynamic collision of a rail with the hardened surface of fouled ballast, with a low value for the dynamic factor.
- The accuracy of the applied pulse loadings should be evaluated and compared/discussed with state-of-the-art mathematical models.
- The rate of wear of the ballast and its critical threshold should be identified. Given that this sub-phenomenon is related to dynamic stability—that is, an abrupt change in the ballast’s behavior, which relates to approaching the bifurcation point in the accompanying mathematical model—this could be an extremely challenging undertaking.
- As ballast wear contributes significantly to a reduction in track stiffness, the long-term implications of this wear on the safety and performance of railway tracks should be carefully addressed.
- The assumptions of the SDOF model, particularly those that ignore damping and the impact of adjacent structural elements, should be checked.
- In general, additional research (theoretical and experimental) is needed, which will confirm the obtained results and improve the explanation of the entire phenomenon of floating sleepers.
Author Contributions
Funding
Data Availability Statement
Conflicts of Interest
References
- Ramadan, A.N.; Jing, P.; Zhang, J.; El-Din Zohny, H.N. Numerical Analysis of Additional Stresses in Railway Track Elements due to Subgrade Settlement Using FEM Simulation. Appl. Sci. 2021, 11, 8501. [Google Scholar] [CrossRef]
- Feng, H. 3D models of Railway Track for Dynamic Analysis. Master’s Thesis, Royal Institute of Technology, Stockholm, Sweden, 2011. [Google Scholar]
- Winkler, E. Vorträge über Eisenbahnbau, Heft 1, 2, Verlag H; Dominicus: Prag, Czech Republic, 1867. [Google Scholar]
- Winkler, E. Die Lehre von der Elasticitaet und Festigkeit—Mit Besonderer Rücksicht auf ihre Anwendung in der Technik, für Polytechnische Schulen, Bauakademien, Ingenieure, Maschinenbauer, Architekten, etc.; Verlag H. Dominicus: Prag, Czech Republic, 1867. [Google Scholar]
- El Moueddeb, M.; Louf, F.; Boucard, P.A.; Dadie, F.; Saussine, G.; Sorrentino, D. An Efficient Numerical Model to Predict the Mechanical Response of a Railway Track in the Low-Frequency range. Vibration 2022, 5, 326–343. [Google Scholar] [CrossRef]
- Zhai, W.M.; Sun, X. A detailed model for investigating vertical interaction between railway vehicle and track. Veh. Syst. Dyn. 1994, 23, 603–615. [Google Scholar] [CrossRef]
- Rodrigues, A.F.S.; Dimitrovova, Z. Applicability of a Three-Layer Model for the Dynamic Analysis of Ballasted Railway Tracks. Vibration 2021, 4, 151–174. [Google Scholar] [CrossRef]
- Hurtado-Hurtado, G.; Morales-Velazquez, L.; Valtierra-Rodríguez, M.; Otremba, F.; Jáuregui-Correa, J.C. Frequency Analysis of the Railway Track under Loads Caused by the Hunting Phenomenon. Mathematics 2022, 10, 2286. [Google Scholar] [CrossRef]
- Kurhan, D.; Kurhan, M.; Horváth, B.; Fischer, S. Determining the Deformation Characteristics of Railway Ballast by Mathematical Modeling of Elastic Wave Propagation. Appl. Mech. 2023, 4, 803–815. [Google Scholar] [CrossRef]
- Yao, S.; Xie, W.; Geng, J.; Xu, X.; Zheng, S. A Numerical Analysis of the Non-Uniform Layered Ground Vibration Caused by a Moving Railway Load Using an Efficient Frequency–Wave-Number Method. Mathematics 2024, 12, 1750. [Google Scholar] [CrossRef]
- Cai, C.; Tian, S.; Shi, Y.; Chen, Y.; Li, X. Influencing Factors Analysis in Railway Engineering Technological Innovation under Complex and Difficult Areas: A System Dynamics Approach. Mathematics 2024, 12, 2040. [Google Scholar] [CrossRef]
- Liu, H.; Rahman, M.; Rahimi, M.; Starr, A.; Durazo-Cardenas, I.; Ruiz-Carcel, C.; Ompusunggu, A.; Hall, A.; Anderson, R. An autonomous rail-road amphibious robotic system for railway maintenance using sensor fusion and mobile manipulator. Comput. Electr. Eng. 2023, 110, 108874. [Google Scholar] [CrossRef]
- Yang, C.; Sun, Y.; Ladubec, C.; Liu, Y. Developing Machine Learning-Based Models for Railway Inspection. Appl. Sci. 2021, 11, 13. [Google Scholar] [CrossRef]
- Offenbacher, S.; Neuhold, J.; Veit, P.; Landgraf, M. Analyzing Major Track Quality Indices and Introducing a Universally Applicable TQI. Appl. Sci. 2020, 10, 8490. [Google Scholar] [CrossRef]
- Park, B.; Choi, Y.-T.; Hwang, S.H. Ballasted Track Status Evaluation Based on Apparent Track Stiffness Index. Appl. Sci. 2020, 10, 4729. [Google Scholar] [CrossRef]
- Uranjek, M.; Štrukelj, A.; Lenart, S.; Peruš, I. Analysis of influential parameters for accelerated degradation of ballast railway track. Constr. Build. Mater. 2020, 261, 119938. [Google Scholar] [CrossRef]
- Esveld, C. Modern Railway Track, 2nd ed.; MRT-Productions: Delft, The Netherlands, 2001. [Google Scholar]
- Chopra, A.K. Dynamics of Structures: Theory and Applications to Earthquake Engineering; Pearson/Prentice Hall: Old Bridgem, NJ, USA, 2007. [Google Scholar]
- Mezeh, R.; Mroueh, H.; Hosseingholian, M.; Sadek, M. New approach for the assessment of train/track/foundation dynamics using in-situ measurements of high-speed train induced vibrations. Soil Dyn. Earthq. Eng. 2019, 116, 50–59. [Google Scholar] [CrossRef]













Disclaimer/Publisher’s Note: The statements, opinions and data contained in all publications are solely those of the individual author(s) and contributor(s) and not of MDPI and/or the editor(s). MDPI and/or the editor(s) disclaim responsibility for any injury to people or property resulting from any ideas, methods, instructions or products referred to in the content. |
© 2024 by the authors. Licensee MDPI, Basel, Switzerland. This article is an open access article distributed under the terms and conditions of the Creative Commons Attribution (CC BY) license (https://creativecommons.org/licenses/by/4.0/).
Share and Cite
Uranjek, M.; Imamović, D.; Peruš, I. Mathematical Modeling of the Floating Sleeper Phenomenon Supported by Field Measurements. Mathematics 2024, 12, 3142. https://doi.org/10.3390/math12193142
Uranjek M, Imamović D, Peruš I. Mathematical Modeling of the Floating Sleeper Phenomenon Supported by Field Measurements. Mathematics. 2024; 12(19):3142. https://doi.org/10.3390/math12193142
Chicago/Turabian StyleUranjek, Mojmir, Denis Imamović, and Iztok Peruš. 2024. "Mathematical Modeling of the Floating Sleeper Phenomenon Supported by Field Measurements" Mathematics 12, no. 19: 3142. https://doi.org/10.3390/math12193142
APA StyleUranjek, M., Imamović, D., & Peruš, I. (2024). Mathematical Modeling of the Floating Sleeper Phenomenon Supported by Field Measurements. Mathematics, 12(19), 3142. https://doi.org/10.3390/math12193142

