Location and Size Planning of Charging Parking Lots Based on EV Charging Demand Prediction and Fuzzy Bi-Objective Optimization
Abstract
1. Introduction
2. Literature Review
2.1. EV Charging Demand Prediction
2.2. Charging Facility Planning
3. EV Charging Demand Prediction
3.1. Data Feature Extraction
3.2. Travel Behavior Modeling
3.2.1. The Departure Time of the First Trip
3.2.2. Travel Speed
3.2.3. Parking Duration
3.3. Charging Behavior Modeling
3.3.1. Energy Consumption
3.3.2. Charging Decision-Making
3.4. Spatial–Temporal Distribution of Charging Demand
4. Location and Size Planning of Charging Parking Lots
4.1. Problem Description and Model Assumption
- All charging demand points and alternative public parking lots are located at the nodes of the road network;
- Each charging demand point will be charged at its nearest CPL;
- Drivers shall follow the shortest path in the road network from the point where the charging demand is generated to the nearest CPL;
- Drivers are driving at a constant speed v regardless of the road traffic conditions;
- Considering the capacity of CPLs, when the number of charging vehicles is greater than the number of charging piles in a CPL, the vehicles will have to wait until a charging pile is free to use.
4.2. The Objective Functions
4.3. The Fuzzy Genetic Algorithm
5. A Case Study
5.1. The Simulation Scenario
5.2. Results
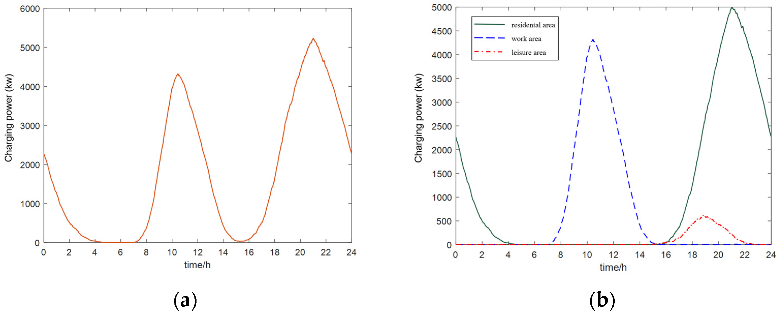
5.2.1. Spatial–Temporal Distribution of EV Charging Demand
5.2.2. Sensitivity Analysis of EV Charging Demand
5.2.3. Fuzzy Bi-Objective Optimization
6. Discussion and Conclusions
- This paper proposes a transformation scheme of adding charging piles to some existing public parking lots, so as to curtail the construction period, reduce the construction cost and lower the waiting time for charging;
- A charging demand prediction model considering user travel behavior is constructed by using EV travel data of large sample size to predict charging demand spatial–temporal distribution that accurately considers the road network nodes;
- According to the influencing factors of EV charging and historical charging data, a fuzzy inference system for elastic charging decision is proposed, which can truly reflect the charging decision-making process under the influence of different residual power and external factors;
- The optimization model considers both drivers time cost and charging station profit. According to the calculation method of vehicle queuing delay, a method is proposed to calculate the waiting time of charging queuing vehicles;
- The model proposed in this study considers the location and size planning of charging facilities at the same time, and the fuzzy bi-objective membership is used as the individual fitness function to speed up the solution.
Author Contributions
Funding
Data Availability Statement
Conflicts of Interest
References
- Zhang, X.; Zhang, Z.; Liu, Y.; Xu, Z.; Qu, X. A review of machine learning approaches for electric vehicle energy consumption modelling in urban transportation. Renew. Energy 2024, 234, 121243. [Google Scholar] [CrossRef]
- Ji, W.; Tal, G. Scenarios for transitioning cars from ICEV to BEVs and PHEVs using household level GPS travel data. Transp. Res. Part D Transp. Environ. 2020, 88, 102555. [Google Scholar] [CrossRef]
- Peiseler, L.; Cabrera Serrenho, A. How can current German and EU policies be improved to enhance the reduction of CO2 emissions of road transport? Revising policies on EVs informed by stakeholder and technical assessments. Energy Policy 2022, 168, 113124. [Google Scholar] [CrossRef]
- Shang, W.; Zhang, J.; Wang, K.; Yang, H.; Ochieng, W. Can financial subsidy increase electric vehicle (EV) penetration—Evidence from a quasi-natural experiment. Renew. Sustain. Energy Rev. 2024, 190, 114021. [Google Scholar] [CrossRef]
- Xiao, L.; Zhang, J.; Wang, C.; Han, R. Optimal fleet replacement management under cap-and-trade system with government subsidy uncertainty. Multimodal Transp. 2023, 2, 100077. [Google Scholar] [CrossRef]
- Javad Mirzaei, M.; Siano, P. Dynamic long-term expansion planning of EV parking lots considering lost opportunity cost and energy saving. Int. J. Electr. Power Energy Syst. 2022, 140, 108066. [Google Scholar] [CrossRef]
- Chu, W.; Im, M.; Song, M.; Park, J. Psychological and behavioral factors affecting EV adoption and satisfaction: A comparative study of early adopters in China and Korea. Transp. Res. Part D Transp. Environ. 2019, 76, 1–18. [Google Scholar] [CrossRef]
- Wang, Z.; Zhang, J.; Liu, P.; Zhang, Z. Overview of Planning of Electric Vehicle Charging Stations. China J. Highw. Transp. 2022, 35, 230–252. [Google Scholar]
- Ashtari, A.; Bibeau, E.; Shahidinejad, S.; Molinski, T. PEV charging profile prediction and analysis based on vehicle usage data. IEEE Trans. Smart Grid. 2012, 3, 341–350. [Google Scholar] [CrossRef]
- Amini, M.H.; Moghaddam, M.P. Probabilistic modelling of EVs’ parking lots charging demand. In Proceedings of the 2013 21st Iranian Conference on Electrical Engineering (ICEE), Mashhad, Iran, 14–16 May 2013; pp. 1–4. [Google Scholar]
- Haji-Aghajani, E.; Hasanzadeh, S.; Heydarian-Forushani, E. A novel framework for planning of EV parking lots in distribution networks with high PV penetration. Electr. Pow. Syst. Res. 2023, 217, 109156. [Google Scholar] [CrossRef]
- Chen, R.; Qian, X.; Miao, L.; Ukkusuri, S.V. Optimal charging facility location and capacity for electric vehicles considering route choice and charging time equilibrium. Comput. Oper. Res. 2020, 113, 104776. [Google Scholar] [CrossRef]
- Zhao, D.; Liu, Y.; Chen, H. Are Mini and full-size electric vehicle adopters satisfied? An application of the regression with dummy variables. Travel. Behav. Soc. 2024, 35, 100744. [Google Scholar] [CrossRef]
- Gopalakrishnan, R.; Biswas, A.; Lightwala, A.; Vasudevan, S.; Dutta, P.; Tripathi, A. Demand prediction and placement optimization for EV charging stations. arXiv 2016, arXiv:1604.05472. [Google Scholar]
- Dong, G.; Ma, J.; Wei, R.; Haycox, J.R. EV charging point placement optimization by exploiting spatial statistics and maximal coverage location models. Transp. Res. Part D Transp. Environ. 2019, 67, 77–88. [Google Scholar] [CrossRef]
- Shuai, C.; Zhang, X.; Xin, O.; Liu, K.; Yang, Y. Research on charging demands of commercial electric vehicles based on Voronoi diagram and spatial econometrics model: An empirical study in Chongqing China. Sustain. Cities Soc. 2024, 105, 105335. [Google Scholar] [CrossRef]
- Tian, Z.; Jung, T.; Wang, Y.; Zhang, F.; Tu, L.; Xu, C.; Tian, C.; Li, X. Real-time charging station recommendation system for EV taxis. IEEE Trans. Intell. Transp. Syst. 2016, 17, 3098–3109. [Google Scholar] [CrossRef]
- Jiang, Q.; Zhang, N.; Yueshuai He, B.; Lee, C.; Ma, J. Large-scale public charging demand prediction with a scenario- and activity-based approach. Transp. Res. Part A Policy Pract. 2024, 179, 103935. [Google Scholar] [CrossRef]
- Kuang, H.; Qu, H.; Deng, K.; Li, J. A physics-informed graph learning approach for citywide electric vehicle charging demand prediction and pricing. Appl. Energy 2024, 363, 123059. [Google Scholar] [CrossRef]
- Ge, X.; Shi, L.; Fu, Y.; Muyeen, S.M.; Zhang, Z.; He, H. Data-driven spatial-temporal prediction of electric vehicle load profile considering charging behavior. Electr. Power Syst. Res. 2020, 187, 106469. [Google Scholar] [CrossRef]
- Luo, X.; Kuby, M.J.; Honma, Y.; Kchaou-Boujelben, M.; Zhou, X. Innovation diffusion in EV charging location decisions: Integrating demand & supply through market dynamics. Transp. Res. Part C Emerg. Technol. 2024, 165, 104733. [Google Scholar]
- Ip, A.; Fong, S.; Liu, E. Optimization for allocating BEV recharging stations in urban areas by using hierarchical clustering. In Proceedings of the 2010 6th International Conference on Advanced Information Management and Service (IMS 2010), Seoul, Republic of Korea, 30 November–2 December 2010; pp. 460–465. [Google Scholar]
- Xi, X.; Sioshansi, R.; Marano, V. Simulation–optimization model for location of a public EV charging infrastructure. Transp. Res. Part D Transp. Environ. 2013, 22, 60–69. [Google Scholar] [CrossRef]
- Wang, C.; He, F.; Lin, X.; Shen, Z.M.; Li, M. Designing locations and capacities for charging stations to support intercity travel of EVs: An expanded network approach. Transp. Res. Part C Emerg. Technol. 2019, 102, 210–232. [Google Scholar] [CrossRef]
- Zeng, X.; Xie, C. A comparative analysis of modeling and solution methods for the en-route charging station location problems within uncongested and congested highway networks. Multimodal Transp. 2024, 3, 100150. [Google Scholar] [CrossRef]
- Yin, L.; Zhang, Y. Particle swarm optimization based on data driven for EV charging station siting. Energy 2024, 310, 133197. [Google Scholar] [CrossRef]
- Yang, J.; Dong, J.; Zhang, Q.; Liu, Z.; Wang, W. An investigation of battery EV driving and charging behaviors using vehicle usage data collected in Shanghai, China. Transp. Res. Rec. J. Transp. Res. Board 2018, 2672, 20–30. [Google Scholar] [CrossRef]
- Guo, D.; Liu, R.; Li, M.; Tan, X.; Ma, P.; Zhang, H. An approach to optimizing the layout of charging stations considering differences in user range anxiety. Sustain. Energy Grids 2024, 38, 101292. [Google Scholar] [CrossRef]













| Vehicle ID | Acquisition Time | Accumulated Mileage | SOC | Longitude | Latitude | Status Start Time | Vehicle Status |
|---|---|---|---|---|---|---|---|
| 1 | 5 December 2015 22:11:59 | 748 | 4 | 121.2073 | 31.2901 | 5 December 2015 22:11:46 | 3 |
| 1 | 5 December 2015 22:13:42 | 748 | 5 | 121.2073 | 31.2902 | 5 December 2015 22:11:46 | 3 |
| … | … | … | … | … | … | … | … |
| 1 | 6 December 2015 7:27:32 | 748 | 100 | 121.2073 | 31.2902 | 5 December 2015 22:11:46 | 3 |
| 1 | 6 December 2015 7:28:35 | 748 | 100 | 121.2073 | 31.2902 | 5 December 2015 22:11:46 | 3 |
| 1 | 6 December 2015 7:29:20 | 748 | 100 | 121.2118 | 31.2883 | 6 December 2015 7:28:47 | 1 |
| 1 | 6 December 2015 7:29:53 | 748 | 100 | 121.2154 | 31.2862 | 6 December 2015 7:28:47 | 1 |
| ID | Rule |
|---|---|
| Rule 1 | THEN charging probability == very |
| Rule 2 | THEN charging probability == high |
| Rule 3 | THEN charging probability == high |
| Rule 4 | THEN charging probability == medium |
| Rule 5 | THEN charging probability == low |
| Rule 6 | THEN charging probability == very low |
| Travel ID | Vehicle ID | Departure Time | Travel Duration (min) | Driving Mileage (km) | Power Consumption (%) |
|---|---|---|---|---|---|
| 630 | 2 | 25 July 2015 06:38:23 | 15.87 | 4 | 3 |
| 631 | 2 | 25 July 2015 12:46:45 | 89.40 | 55 | 58 |
| 632 | 2 | 25 July 2015 17:18:39 | 56.30 | 38 | 39 |
| Charging ID | Vehicle ID | Charging Start Time | Charging Duration (h) | SOC before Charging (%) | SOC after Charging (%) |
|---|---|---|---|---|---|
| 300 | 3 | 31 August 2015 08:22:13 | 1.06 | 57 | 67 |
| 301 | 3 | 11 September 2015 08:58:06 | 6.64 | 18 | 97 |
| 302 | 3 | 14 September 2015 09:09:03 | 6.07 | 34 | 64 |
| Road Section | Node | Distance (km) | Road Section | Node | Distance (km) |
|---|---|---|---|---|---|
| 1 | 1–5 | 11.2 | 11 | 6–7 | 8 |
| 2 | 1–12 | 13.6 | 12 | 6–10 | 20.8 |
| 3 | 2–8 | 14.4 | 13 | 6–12 | 11.2 |
| 4 | 2–11 | 14.4 | 14 | 7–8 | 8 |
| 5 | 3–11 | 12.8 | 15 | 7–11 | 14.4 |
| 6 | 3–13 | 17.6 | 16 | 8–12 | 22.4 |
| 7 | 4–5 | 14.4 | 17 | 9–10 | 10 |
| 8 | 4–9 | 19.2 | 18 | 9–13 | 14.4 |
| 9 | 5–6 | 4.8 | 19 | 10–11 | 10 |
| 10 | 5–9 | 14.4 |
| Non-Residential Area | Total Demand (MWh) | Amplitude of Change % | Peak Time | Variation (min) | Peak Power (kw) | Amplitude of Change % | |
|---|---|---|---|---|---|---|---|
| Original parameter | 17.081 | 10:27 | 4316.8 | ||||
| User scale | +10% | 18.713 | 9.554 ** | 10:27 | 0 | 4743.8 | 9.892 ** |
| −10% | 15.455 | −9.519 ** | 10:27 | 0 | 3906.4 | −9.507 ** | |
| Departure time of the first trip | +10% | 17.122 | 0.240 | 10:46 | +19 * | 4031.8 | −6.602 ** |
| −10% | 16.772 | −1.809 * | 9:59 | −28 ** | 4297.8 | −0.440 | |
| Travel speed | +10% | 17.067 | −0.082 | 10:21 | −6 | 4301.6 | −0.352 |
| −10% | 17.060 | −0.123 | 10:50 | +23 ** | 4199.0 | −2.729 * | |
| Parking duration | +10% | 17.306 | 1.317 * | 10:22 | −5 | 4290.2 | −0.616 |
| −10% | 16.972 | −0.638 | 10:28 | +1 | 4373.8 | 1.320 * | |
| Battery capacity | +10% | 15.508 | −9.209 ** | 10:26 | −1 | 3959.6 | −8.275 ** |
| −10% | 18.422 | 7.851 ** | 10:26 | −1 | 4727.2 | 9.507 ** | |
| Charging power | +10% | 15.745 | −7.822 ** | 10:26 | −1 | 4145.8 | −3.961 * |
| −10% | 18.654 | 9.209 ** | 10:32 | +5 | 4434.6 | 2.729 * | |
| Power consumption per 100 km | +10% | 19.876 | 16.363 *** | 10:36 | +9 | 4791.8 | 11.004 *** |
| −10% | 13.998 | −18.049 *** | 10:26 | −1 | 3750.6 | −13.116 *** | |
Disclaimer/Publisher’s Note: The statements, opinions and data contained in all publications are solely those of the individual author(s) and contributor(s) and not of MDPI and/or the editor(s). MDPI and/or the editor(s) disclaim responsibility for any injury to people or property resulting from any ideas, methods, instructions or products referred to in the content. |
© 2024 by the authors. Licensee MDPI, Basel, Switzerland. This article is an open access article distributed under the terms and conditions of the Creative Commons Attribution (CC BY) license (https://creativecommons.org/licenses/by/4.0/).
Share and Cite
Bao, Q.; Gao, M.; Chen, J.; Tan, X. Location and Size Planning of Charging Parking Lots Based on EV Charging Demand Prediction and Fuzzy Bi-Objective Optimization. Mathematics 2024, 12, 3143. https://doi.org/10.3390/math12193143
Bao Q, Gao M, Chen J, Tan X. Location and Size Planning of Charging Parking Lots Based on EV Charging Demand Prediction and Fuzzy Bi-Objective Optimization. Mathematics. 2024; 12(19):3143. https://doi.org/10.3390/math12193143
Chicago/Turabian StyleBao, Qiong, Minghao Gao, Jianming Chen, and Xu Tan. 2024. "Location and Size Planning of Charging Parking Lots Based on EV Charging Demand Prediction and Fuzzy Bi-Objective Optimization" Mathematics 12, no. 19: 3143. https://doi.org/10.3390/math12193143
APA StyleBao, Q., Gao, M., Chen, J., & Tan, X. (2024). Location and Size Planning of Charging Parking Lots Based on EV Charging Demand Prediction and Fuzzy Bi-Objective Optimization. Mathematics, 12(19), 3143. https://doi.org/10.3390/math12193143

